Spectral properties of polymer composites doped with boron difluoride β-ketoiminates
- Authors: Bodyk R.E.1, Khrebtov A.A.1,2, Tretyakova G.O.1,2, Fedorenko E.V.2, Mirochnik A.G.2
-
Affiliations:
- Far Eastern Federal University
- Institute of Chemistry, Far Eastern Branch of the Russian Academy of Sciences
- Issue: Vol 58, No 4 (2024)
- Pages: 259-266
- Section: MOLECULAR PHOTONICS
- URL: https://journals.rcsi.science/0023-1193/article/view/274596
- DOI: https://doi.org/10.31857/S0023119324040042
- EDN: https://elibrary.ru/TQFFET
- ID: 274596
Cite item
Full Text
Abstract
Polymeric luminescent compositions based on polycarbonate and polystyrene doped with β-ketoiminates of boron difluoride were obtained. The luminescent properties of 12 dyes with different substituents were investigated. The influence of the concentration of boron difluoride βketoiminates on the spectral properties of the samples was studied. It was found that the investigated dyes are characterized by monomeric luminescence even at tenfold increase of luminophore concentration (0.05–0.5%). It was found that compositions containing the dyes 3-amino-1-phenyl-2-buten-1-oneate of boron difluoride (1a) and 3-amino-1-phenyl-2-buten-1-oneate of boron difluoride (2a) exhibit exciplex luminescence in polystyrene.
Full Text
ВВЕДЕНИЕ
Люминесцентные полимерные материалы находят широкое применение в науке и технике и являются объектом пристального исследования. Они обладают рядом превосходных свойств, таких как высокая стабильность и технологичность. Высокая жесткость полимерной матрицы может индуцировать длительное послесвечение [1, 2], что может быть использовано для целей сенсорики [3], биовизуализации [4] и скрытого хранения информации [5]. На основе полимерных люминесцентных материалов разрабатываются органические светоизлучающие диоды, фотоэлектрические элементы, транзисторы [6–8]. Также их применяют при создании люминесцентных сенсоров, для целей биомедицинской визуализации [9–11] и в качестве smart-материалов [9].
В качестве красителей в полимерных люминесцентных материалах применяют различные органические люминофоры, например β-дикетонаты дифторида бора [12, 13], спектральные свойства которых изучены достаточно широко [14]. β-кетоиминаты дифторида бора являются структурными и электронными аналогами β-дикетонатов дифторида бора. Благодаря большому коэффициенту молярной экстинкции и высокому квантовому выходу люминесценции в кристаллическом состоянии [15], а также способности к агрегационно- и кристаллизационно-индуцированной эмиссии и механохромизму β-кетоиминаты дифторида бора представляют собой перспективный класс люминофоров [8–10]. В отличие от полимерных композиций с β-дикетонатами дифторида бора, свойства полимерных материалов на основе β-кетоиминатов дифторида бора на сегодняшний день изучены недостаточно: известны лишь несколько работ, посвященных полимерам, функционализированным β-кетоиминатами дифторида бора [18–20]. В связи с этим интерес представляет исследование спектральных свойств полимерных композиций, допированных β-кетоиминатами дифторида бора.
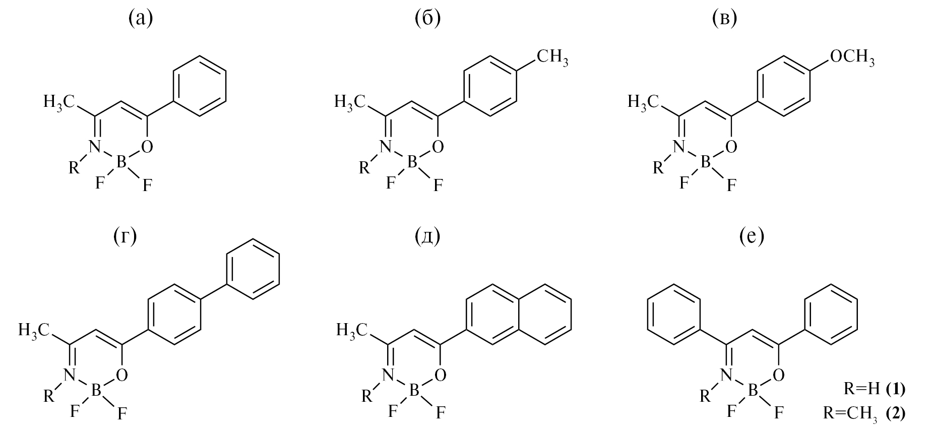
В данной работе получены полимерные люминесцентные композиции (ПЛК) на основе полистирола (ПС) и поликарбоната (ПК), допированные β-кетоиминатами дифторида бора, структурные формулы которых приведены на схеме 1. Исследовано влияние природы полимерной матрицы, а также концентрации люминофора на спектральные свойства ПЛК.
Схема 1. Структурные формулы β-кетоиминатов дифторида бора.
ЭКСПЕРИМЕНТАЛЬНАЯ ЧАСТЬ
Соединения 1a-1f и 2a-2f были получены по следующим методикам: 1a и 2a по [21], 1b-1d и 2b-2d по [22], 1e по [23], 2е по [24]. Данные 1H ЯМР, 13С ЯМР и ИК спектроскопии полученных соединений соответствуют ранее опубликованным.
Синтез 1f
Получение 3-амино-1-(4-метилфенил)бут-2-ен-1-она
Соединение 2,2-дифторо-4-(4-метилфенил)-6-метил-1,3,2-диоксаборин (0.44 г, 1.9 ммоль) растворяли в ацетонитриле (20 мл). После этого к реакционной смеси постепенно добавляли водный раствор аммиака (25%, 1 мл, 6 ммоль). Реакционную смесь перемешивали в течение 5 ч (за ходом реакции следили по ТСХ). Реакционную смесь экстрагировали дихлорметаном и промывали водой. Органический слой осушили сульфатом натрия, растворитель выпаривали. Образовавшийся осадок перекристаллизовывали из изопропанола (выход 0.31 г, 94%).
Спектр ИК (KBr): ν = 3250 (N–H),1633 (C=N), 1612 (C=O), 1510–1573 см-1 (C=C). Спектр ВЭЖХМС: m/z рассчитано для C11H13NO: 175.10; найдено: 174.0 [M-1]; элементный анализ: рассчитано (%) для C11H13NO: C 75.40, H 7.48; N 7.99; найдено: C 74.61, H 7.58, N 7.07.
Получение 3-амино-1-(4-метилфенил)бут-2-ен-1-оната дифторида бора (2f)
Смесь 3-амино-1-(4-метилфенил)бут-2-ен-1-она (0.25 г, 1.4 ммоль) с эфиратом трифторида бора (0.8 мл, 2.8 ммоль) в дихлорметане (10 мл) перемешивали на магнитной мешалке в течение 1 ч. После этого реакционную смесь промывали водой, засыпали осушителем. Растворитель упаривали, образовавшийся осадок перекристаллизовывали из изопропанола (выход 0.21 г, 68%).
1H ЯМР (400 MHz, CDCl3): d = 2.33 (s, 3H; CH3-Сh), 2.42 (s, 3H; CH3-Ph), 6.07 (s, 1H; ChH), 7.25–7.28 (m, 2H; ArH), 7.84–7.86 м.д. (m, 2H; ArH); 13C ЯМР (100 MHz, CDCl3): d = 21.68; 115.99; 127.57; 129.45; 129.71; 171.18; 224.98 м.д. Спектр ИК (KBr): ν = 3327 (N-H), 1620 (C=N), 1543 см-1 (C=C); спектр ВЭЖХМС: m/z рассчитано для C11H13NOBF2: 223.10; найдено: 222.0 [M-1]; элементный анализ: рассчитано (%) для C11H13NOBF2: C 59.24 H 5.42; N 6.28; найдено: C 57.99, H 5.61, N 6.35.
Синтез 2f
Получение 3-метиламино-1-(4-метилфенил)бут-2-ен-1-она
Соединение 2,2-дифторо-4-(4-метилфенил)-6-метил-1,3,2-диоксаборин (0.5 г, 2.2 ммоль) растворяли в ацетонитриле (20 мл). После этого к реакционной смеси добавлял водный раствор метиламина (40%, 0.6 мл, 6.7 ммоль). Реакционную смесь перемешивали на магнитной мешалке в течение 3 ч (за ходом реакции следили по ТСХ). Реакционную смесь экстрагировали дихлорметаном и промывали водой. Органический слой осушили сульфатом натрия, растворитель выпаривали. Образовавшийся осадок светло-желтого цвета перекристаллизовывали из изопропанола (выход 0.35 г, 83%).
Спектр ИК (KBr): ν = 1638 (C=N), 1614 (C=О), 1561 см-1 (C=C); Спектр ВЭЖХМС: m/z рассчитано для C12H15NO: 189.12; найдено: 188.0 [M-1]; элементный анализ: рассчитано (%) для C12H15NO: C 76.16 H 7.99; N 7.40; найдено: C 75.83, H 8.09, N 7.51.
Получение 3-метиламино-1-(4-метилфенил)бут-2-ен-1-оната дифторида бора (2f)
Смесь 3-метиламино-1-(4-метилфенил)бут-2-ен-1-она (0.33 г, 1.7 ммоль) с эфиратом трифторида бора (1.0 мл, 3.5 ммоль) в толуоле (20 мл) перемешивали на магнитной мешалке при нагревании до 80°С в течение 4 ч. После этого реакционную смесь экстрагировали хлористым метиленом, промыли водой, засыпали осушителем. Растворитель упаривали, образовавшийся белый осадок перекристаллизовывали из смеси изопропанола и ацетонитрила (выход 0.21 г, 53%).
1H ЯМР (400 MHz, CDCl3): d = 2.25 (s, 3H; CH3-Сh), 2.40 (s, 3H; CH3-Ph), 6.01 (s, 1H; ChH), 7.22–7.25 (m, 2H; ArH), 7.79–7.82 м.д. (m, 2H; ArH); 13C ЯМР (100 MHz, CDCl3): d = 21.63; 32.78, 95.03, 115.99; 127.15; 129.36; 129.58; 142.75, 171.07; 224.98 м.д. Спектр ИК (KBr): ν = 1628 (C=N), 1551 см-1 (C=C); Спектр ВЭЖХМС: m/z рассчитано для C13H18NOBF2: 253.14; найдено: 236.0 [M-1]; элементный анализ: рассчитано (%) для C13H18NOBF2: C 61.69; H 7.17; N 5.53; найдено: C 61.03, H 7.28, N 5.61.
ПС марки ПСМ-115 (“НеваРеактив”) и ПК (Acros Organics) были предварительно очищены методом переосаждения с помощью гексана (“НеваРеактив”) из раствора в дихлорметане (“НеваРеактив”).
Индивидуальность синтезированных соединений контролировалась методом тонкослойной хроматографии (ТСХ) на пластинах Sorbfil и Silufol, элюирование вели в системах хлороформ, хлороформ-гексан. Растворители производителей “Экос 1” и “НеваРеактив” использовались без дополнительной очистки.
Пленки (толщина 40 ± 5 мкм) на основе ПС и ПК, допированные красителями 1a-1f и 2a-2f (концентрации 0.05 и 0.5%), получены методом формования из раствора. Растворы получены добавлением 0.25 г ПС и ПК и точных навесок 1a-1f и 2a-2f в 5 мл 1,2дихлорэтана (ДХЭ) (“Экос 1”). Для изготовления пленок наносили раствор на стеклянную подложку и высушивали в течение 24 ч в закрытой камере. Затем пленки отделяли от стекол.
Стационарные спектры возбуждения люминесценции и люминесценции пленок регистрировали на спектрофлуориметре Shimadzu RF5301, спектры поглощения записывали на спектрофотометре Shimadzu UV-2550. Спектры флуоресценции с временным разрешением и кинетика затухания люминесценции измерены по технологии времякоррелированного счета одиночных фотонов на лазерном пикосекундном спектрофлуориметре PicoQuant FluoTime 200, источник возбуждения PicoQuant LDH-PC-375 (λ = 370 нм). ИК спектры записывались на спектрометре IRAffinity-1 (Shimadzu) в таблетках KBr. Спектры ВЭЖХ записывались в режиме регистрации положительных и отрицательных ионов, источник ионизации ESI, масс-спектрометрический детектор LСМS-2010EV (Shimadzu), образцы вводили в детектор в системе ацетонитрил–вода– 9 : 1. Спектры ЯМР 1Н (400 МГц) и 13С (100 МГц) были записаны на спектрометре BRUKER WH 400 в дейтерохлороформе с использованием тетраметилсилана в качестве стандарта.
ОБСУЖДЕНИЕ РЕЗУЛЬТАТОВ
Спектральные характеристики композиций на основе 1a-1g и 2a-2g в ПС и ПК матрице с концентрацией люминофора 0.05% сведены в табл. 1, 2. Из полученных данных следует, что для красителей группы 1 спектральные свойства в ПК и ПС матрицах схожи. При сравнении спектральных свойств ПЛК со спектральными свойствами растворов тех же красителей в хлороформе (табл. 1) также не было выявлено значительных различий, кроме образца 1e, для которого наблюдается гипсохромный сдвиг максимума спектра люминесценции в ПК и ПС матрицах (λлюм = 418 нм) относительно раствора (λлюм = 450 нм).
Таблица 1. Спектральные характеристики люминофоров 1a-1f в ПС и ПК матрицах (концентрация 0.05%) и хлороформе (концентрация 1 × 10-5 моль/л)
Люминофор | Полимер, растворитель | λпогл, нм | λлюм, нм | τ1*, нс (A1, %) | τ2*, нс (A2, %) | τср*, нс | χ2 |
1a | ПК | 325 | 431 | 1.34 | — | 1.34 | 0.85 |
ПС | 330 | 413 | 1.21 (84) | 3.17 (16) | 1.52 | 1.07 | |
Хлороформ | 330 | 420 | — | — | — | — | |
1b | ПК | 330 | 411 | 1.69 | — | 1.69 | 1.49 |
ПС | 335 | 415 | 1.63 | — | 1.63 | 1.33 | |
Хлороформ | 336 | 443 | — | — | — | — | |
1c | ПК | 340 | 403 | 1.67 | — | 1.67 | 1.19 |
ПС | 345 | 406 | 1.54 | — | 1.54 | 0.96 | |
Хлороформ | 350 | 390 | — | — | — | — | |
1d | ПК | 340 | 410 | 1.25 | — | 1.25 | 0.95 |
ПС | 345 | 416 | 1.34 | — | 1.34 | 1.01 | |
Хлороформ | 350 | 415 | — | — | — | — | |
1e | ПК | 340 | 418 | 2.49 | — | 2.49 | 1.43 |
ПС | 345 | 418 | 2.96 | — | 2.96 | 1.25 | |
Хлороформ | 330 | 450 | — | — | — | — | |
1f | ПК | 345 | 412 | 1.64 | — | 1.64 | 1.10 |
ПС | 350 | 418 | 1.77 | — | 1.77 | 1.16 | |
Хлороформ | 350 | 420 | — | — | — | — |
*Длина волны регистрации — 440 нм.
τср — среднее время жизни возбужденного состояния, рассчитанное на основе времен жизни τ1 и τ2 и их вкладов А1 и А2.
χ2 — критерий хи-квадрат.
Таблица 2. Спектральные характеристики ПЛК на основе люминофоров 2a-2f (концентрация 0.05 %) и хлороформе (концентрация 1 × 10-5 моль/л)
Люминофор | Полимер, растворитель | λпогл, нм | λлюм, нм | τ1*, нс (A1, %) | τ2*, нс (A2, %) | τср*, нс | χ2 |
2a | ПК | 330 | 415 | 1.64 | – | 1.64 | 0.98 |
ПС | 335 | 413 | 0.99 (88) | 2.76 (12) | 1.2 | 0.96 | |
Хлороформ | 335 | 420 | – | – | – | – | |
2b | ПК | 335 | 406 | 1.66 | – | 1.66 | 0.98 |
ПС | 340 | 412 | 1.57 | – | 1.57 | 0.94 | |
Хлороформ | 338 | 405 | – | – | – | – | |
2c | ПК | 345 | 410 | 1.72 | – | 1.72 | 1.04 |
ПС | 350 | 413 | 1.49 | – | 1.49 | 1.00 | |
Хлороформ | 350 | 430 | – | – | – | – | |
2d | ПК | 345 | 418 | 1.33 | – | 1.33 | 0.97 |
ПС | 350 | 422 | 1.27 | – | 1.27 | 1.00 | |
Хлороформ | 350 | 420 | – | – | – | – | |
2e | ПК | 340 | 420 | 1.62 | – | 1.62 | 0.94 |
ПС | 345 | 416 | 1.54 | – | 1.54 | 0.84 | |
Хлороформ | 350 | 420 | – | – | – | – | |
2f | ПК | 340 | 411 | 1.46 | – | 1.46 | 0.96 |
ПС | 345 | 415 | 1.58 | – | 1.58 | 1.22 | |
Хлороформ | 345 | 425 | – | – | – | – |
*Длина волны регистрации — 440 нм.
Для большинства образцов группы 2, также как для красителей группы 1, при переходе от ПК матрицы к ПС существенных изменений спектрально-люминесцентных свойств не обнаружено. При сравнении спектральных свойств красителей группы 2 в полимерной матрице и в хлороформе (табл. 2) выявлено, что для ПЛК на основе 2c наблюдается гипсохромный сдвиг максимума люминесценции (λлюм = 410 (ПК), λлюм = 413 (ПС)) относительно раствора (λлюм = 430 нм). Для остальных образцов различия спектральных свойств в растворе и полимерной матрице незначительны. Это указывает на схожее спектральное поведение исследуемых люминофоров в растворах и полимерной матрице.
Проведено исследование кинетики затухания люминесценции полученных ПЛК (табл. 1, 2). Обнаружено, что для исследуемых красителей в полимерной матрице кинетика затухания моноэкспоненциальна. Исключение составляют красители 1а и 2а, для которых кинетика затухания люминесценции в ПК является моноэкспоненциальной, а в ПС — биэкспоненциальной.
β-кетоиминаты дифторида бора являются структурными аналогами β-дикетонатов дифторида бора, для которых характерно формирование эксиплексов с ароматическими соединениями [25]. Так, дибензоилметанат дифторида бора и его нитро-замещенные производные формируют эксиплексы с фенильными кольцами в ПС матрице [26, 27], что проявляется в батохромном сдвиге максимума люминесценции и появлении долгоживущей компоненты в кинетике затухания люминесценции. На основании вышесказанного было выдвинуто предположение о наличии эксиплексной люминесценции 1а и 2а в ПС матрице в результате формирования эксиплексов между молекулами красителей и фенильными кольцами ПС. Данное предположение было проверено методом время-разрешенной люминесцентной спектроскопии (рис. 1).
Рис. 1. Время-разрешенные спектры люминесценции 1a в ПС (а), зарегистрированные через 75.5 (1), 76 (2), 77.1 нс (3), и 2a в ПС (а), зарегистрированные через 75.5 (1), 75.6 (2), 75.7 нс (3), с момента импульса лазера.
Исследование кинетики люминесценции 1a в ПС показало наличие двух люминесцентных центров: мономерной эмиссии (τ1 = 1.21 нс) и люминесценции эксиплексов (τ2 = 3.17 нс) (табл. 1). В начальный момент времени наблюдается только коротковолновая полоса (λ = 410 нм), которая относится к короткоживущей (τ1) мономерной люминесценции. В течение 0.5 нс в спектре люминесценции интенсифицируется длинноволновая полоса (λ = 435 нм), которая может быть отнесена к более долгоживущей (τ2) эксиплексной люминесценции. При этом для 1a в ПК регистрируется только один эмиссионный процесс (τ = 1.34 нс), соответствующий мономерной люминесценции.
При исследовании кинетики люминесценции для 2a наблюдается аналогичное поведение. Для 2а в ПС зарегистрирована биэкспоненциальная кинетика затухания (τ1 = 0.99 нс, τ2 = 2.76 нс, табл. 2), в которой долгоживущая компонента (τ2) может быть отнесена к эксиплексной люминесценции, а короткоживущая (τ1) – к мономерной. В матрице ПК для красителя 2а регистрируется только один эмиссионный процесс (τ = 1.64 нс), соответствующий мономерной люминесценции. В то же время эксиплексная люминесценция красителя 2a в ПС менее выражена по сравнению с 1a в ПС: вклад долгоживущего процесса τ2 для 2а меньше, чем для 1а (табл. 1, 2). При этом во время-разрешенных спектрах эксиплексная полоса эмиссии 1а с течением времени становится доминирующей, а для 2а проявляется в виде длинноволнового плеча (рис. 1). Это может быть связано со стерическими затруднениями, обусловленными наличием объемного метильного заместителя у атома азота, при взаимодействии π-систем красителя 2а и фенильного кольца ПС в возбужденном состоянии.
Возможность движения фенильных колец ПС и молекул люминофора способствует формированию красителями 1a и 2a эксиплексов. ПК также имеет фенильные кольца в структуре макромолекул, однако по причине большей жесткости цепей ПК образование эксиплексов с 1a и 2a затруднено.
Из всего вышесказанного можно сделать вывод, что среди исследованных красителей только 1a и 2a способны формировать эксиплексы с фенильными кольцами ПС. Это связано с более выраженными акцепторными свойствами 1a и 2a по сравнению с остальными исследованными красителями, которые характеризуются наличием электронодонорных заместителей (CH3–Oгруппа в 1с и 2с, CH3-группа в 1b и 2b) или более протяженной π-системой. В отличие от кислородного аналога (дибензоилметаната дифторида бора), для которого характерно формирование эксиплексов в ПС матрице [26], красители 1f и 2f являются неплоскими [23], что препятствует эффективному переносу заряда в системе донор-акцептор (фенильное кольцо ПС – краситель) и, следовательно, мешает формированию эксиплексов.
Также было исследовано влияние концентрации красителей на спектральное поведение в ПК матрице. Известно, что для β-дикетонатов дифторида бора в полимерной матрице при увеличении концентрации наблюдается существенное изменение спектральных свойств в результате агрегации красителя, что обычно проявляется в батохромном сдвиге максимумов люминесценции [5, 12]. Для β-дикетонатов дифторида бора в полимерной матрице явления агрегации наблюдаются уже при концентрациях красителя 0.05 % и выше [5]. Для выявления зависимости спектральных свойств ПЛК от концентрации β-кетоиминатов дифторида бора были получены пленки на основе ПК с содержанием исследуемых красителей 0.5% от массы полимера, для которых были зарегистрированы спектральные свойства. На примере красителей 1c и 2c (рис. 2) видно, что даже десятикратное увеличение концентрации красителя (с 0.05 до 0.5 %) не приводит к изменению спектральных характеристик композиций.
Рис. 2. Спектры 1c (а) и 2c (б) в матрице ПК при различных концентрациях люминофора: 1 – спектр поглощения при концентрации 0.05%; 2 – спектр люминесценции при концентрации 0.05%; 3 – спектр поглощения при концентрации 0.5 %; 4 – спектр люминесценции при концентрации 0.5%.
Стерические затруднения, вызванные заместителями у атома азота в хелатном цикле, препятствуют формированию надмолекулярных структур β-кетоиминатов дифторида бора, в результате чего данные соединения даже в кристаллическом состоянии обычно проявляют мономерную люминесценцию [28]. В полимерной матрице красители группы 1 и 2 даже при высокой концентрации также демонстрируют преимущественно мономерную люминесценцию, в отличие от кислородных аналогов (β-дикетонатов дифторида бора) [5].
ВЫВОДЫ
Исследованы спектральные свойства люминесцентных композиций на основе β-кетоиминатов дифторида бора (0.05 и 0.5%) в ПК и ПС матрицах. Установлено, что β-кетоиминаты дифторида бора при низкой концентрации (0.05%) в полимерной матрице проявляют мономерную люминесценцию аналогично растворам красителей. Для образцов 1a и 2a в ПС выявлена эксиплексаная люминесценция с фенильными кольцами полимерной матрицы, подтвержденная методом время-разрешенной люминесцентной спектроскопии.
Изучено влияние концентрации красителя на спектральные свойства образцов ПЛК. Установлено, что для исследованных красителей, в отличие от кислородных аналогов (β-дикетонатов дифторида бора), характерна мономерная люминесценция даже при десятикратном увеличении концентрации люминофора.
ИСТОЧНИК ФИНАНСИРОВАНИЯ
Исследование выполнено за счет гранта Российского научного фонда № 23-23-00463.
About the authors
R. E. Bodyk
Far Eastern Federal University
Author for correspondence.
Email: bodyk.re@dvfu.ru
Russian Federation, Ajax settlement, Russky Island, Vladivostok
A. A. Khrebtov
Far Eastern Federal University; Institute of Chemistry, Far Eastern Branch of the Russian Academy of Sciences
Email: bodyk.re@dvfu.ru
Russian Federation, Ajax settlement, Russky Island, Vladivostok; Vladivostok
G. O. Tretyakova
Far Eastern Federal University; Institute of Chemistry, Far Eastern Branch of the Russian Academy of Sciences
Email: bodyk.re@dvfu.ru
Russian Federation, Ajax settlement, Russky Island, Vladivostok; Vladivostok
E. V. Fedorenko
Institute of Chemistry, Far Eastern Branch of the Russian Academy of Sciences
Email: bodyk.re@dvfu.ru
Russian Federation, Vladivostok
A. G. Mirochnik
Institute of Chemistry, Far Eastern Branch of the Russian Academy of Sciences
Email: bodyk.re@dvfu.ru
Russian Federation, Vladivostok
References
- Gan N., Shi H., An Z., et al. // Advanced Functional Materials. 2018. V. 28. № 51. P. 1802657.
- Gao H., Ma X. // Aggregate. 2021. V. 2. № 4.
- Zhang G., Chen J., Payne S. et al. // Journal of the American Chemical Society. 2007. V. 129. № 29. P. 8942.
- Tavakol D.N., Schwager S.C., Jeffries L.A., et al. // Advances in Skin & Wound Care. 2020. V. 33. № 8. P. 428.
- Khrebtov A.A., Fedorenko E.V., Mirochnik A.G. // Polymer. 2022. V. 256. P. 125255.
- Mitschke U., Bäuerle P. // Journal of Materials Chemistry. 2000. V. 10. № 7. P. 1471.
- Brabec C.J., Sariciftci N.S., Hummelen J.C. // Advanced Functional Materials. 2001. V. 11. № 1. P. 15.
- Stutzmann N., Friend R. H., Sirringhaus H. // Science. 2003. V. 299. № 5614. P. 1881.
- Mei J., Hong Y., Lam J. W. Y. et al. // Advanced Materials. 2014. V. 26. № 31. P. 5429.
- Hong Y., Lam J.W.Y., Tang B.Z. // Chemical Communications. 2009. No. 29. P. 4332.
- Hong Y. // Methods and Applications in Fluorescence. 2016. V. 4. № 2. P. 022003.
- Xu S., Evans R.E., Liu T., et al. // Inorganic Chemistry. 2013. V. 52. № 7. P. 3597.
- Mirochnik A.G., Fedorenko E.V., Shlyk D.K. // Russian Chemical Bulletin. 2016. V. 65. № 3. P. 806.
- Chen P.Z., Niu L.Y., Chen Y.Z. et al. // Coordination Chemistry Reviews. 2017. V. 350. P. 196.
- Yoshii R., Nagai A., Tanaka K., et al. // Chemistry – A European Journal. 2013. V. 19. № 14. P. 4506.
- Gao H., Xu D., Liu X. et al. // RSC Advances. 2017. V. 7. № 3. P. 1348.
- Zhao J., Peng J., Chen P. et al. // Dyes and Pigments. 2018. V. 149. P. 276.
- Suenaga K., Uemura K., Tanaka K. et al. // Polymer Chemistry. 2020. V. 11. № 6. P. 1127.
- Jäkle F. // Chemical Reviews. 2010. V. 110. № 7. P. 3985.
- Suenaga K., Yoshii R., Tanaka K. et al. // Macromolecular Chemistry and Physics. 2016. V. 217. № 3. P. 414.
- Tretyakova G.O., Bukvetskii B.V., Fedorenko E.V. et al. // Russian Chemical Bulletin. 2015. V. 64. № 10. P. 2312.
- Fedorenko E.V., Mirochnik A.G., Beloliptsev A.Y., et al. // ChemPlusChem. 2018. V. 83. № 3. P. 117.
- Fedorenko E.V., Tretuakova G.O., Mirochnik A.G. et al. // Journal of Fluorescence. 2016. V. 26. № 5. P. 1839.
- Itoh K., Okazaki K., Fujimoto M. // Australian Journal of Chemistry. 2003. V. 56. № 12. P. 1209.
- Chow Y.L., Johansson C.I. // The Journal of Physical Chemistry. 1995. V. 99. № 49. P. 17558.
- Fedorenko E.V., Khrebtov A.A., Mirochnik A.G., et al. // Optics and Spectroscopy. 2019. V. 127. № 3. P. 459.
- Fedorenko E.V., Lyubykh N.A., Khrebtov A.A. et al. // Spectrochimica Acta Part A: Molecular and Biomolecular Spectroscopy. 2023. P. 123193.
- Fedorenko E.V., Mirochnik A.G., Beloliptsev A.Y. et al. // ChemPlusChem. 2018. V. 83. № 3. P. 117.
Supplementary files





