Simulation of Acetylene Formation from Methane in a Plasma Jet
- Authors: Bilera I.V.1, Lebedev Y.A.1, Titov A.Y.1, Epstein I.L.1
-
Affiliations:
- A.V. Topchiev Institute of Petrochemical Synthesis of the Russian Academy of Sciences
- Issue: Vol 58, No 3 (2024)
- Pages: 221-232
- Section: PLASMA CHEMISTRY
- URL: https://journals.rcsi.science/0023-1193/article/view/267367
- DOI: https://doi.org/10.31857/S0023119324030071
- EDN: https://elibrary.ru/UUBYAY
- ID: 267367
Cite item
Full Text
Abstract
This work is devoted to the numerical modeling of the reaction of methane conversion to acetylene under plasma-jet pyrolysis conditions and a comparison of the obtained results with the available experimental data. The calculations were performed within the framework of the ideal plug-flow reactor model for atmospheric pressure. The analysis of the main processes of methane decomposition and acetylene formation was carried out in cases where either hydrogen or methane was used as a plasma-forming gas. The results of calculations of the main products of methane decomposition (hydrogen and acetylene) agree quite well with the experimental data.
Keywords
Full Text
ВВЕДЕНИЕ
Ацетилен НС≡СН – простейший углеводород с тройной углерод-углеродной связью. Ацетилен находит широкое применение в химической промышленности, в резке и сварке металлов, в строительстве и других отраслях [1–4].
До конца 60-х годов XX в. ацетилен оставался ключевым компонентом в основном органическом синтезе, но затем на первые роли выдвинулись олефины, в первую очередь этилен. Ацетилен и его гомологи (побочные продукты его промышленного производства) имеют большой потенциал для получения различных ценных продуктов [2, 3], и в настоящее время интерес к промышленному применению ацетилена растет [4–6]. Для увеличения потребления ацетилена необходимо снижение стоимости его производства относительно этилена [2, 3]. За более чем 120-летнюю историю промышленного производства ацетилена было предложено множество способов его получения, но к началу XXI в. из всего разнообразия методов экономически оправданными остались: карбидный метод, окислительный пиролиз и разложение в электрической дуге углеводородного сырья, также ацетилен выделяют из продуктов высокотемпературного пиролиза углеводородов [3, 4]. Улучшению экономики производства ацетилена из углеводородного сырья будет способствовать использование побочных продуктов, например водорода [1, 5] и синтез-газа [1, 2], высших гомологов ацетилена [1, 2, 7, 8].
Метансодержащие газы природного происхождения – традиционное сырье промышленного производства ацетилена при окислительном пиролизе и в электродуговом процессе [1, 3, 4]. Целевые продукты реакции разложения метана – ацетилен и водород:
.
Для количественного протекания этой реакции ее необходимо осуществлять при высоких температурах (более 1500°С), в результате существенным становится протекание побочных реакций, приводящих к образованию продуктов, как ценных, например диацетилен [7, 8], так и нежелательных, например сажа.
Кинетическому моделированию получения ацетилена и водорода (а также водорода и сажи) из метана в термической плазме посвящено некоторое количество работ. Д.И. Словецкий с соавт. предложили математическую модель пиролиза метана в плазменной струе водорода [9]. Кинетический механизм состоял из 87 реакций и включал в себя молекулы, атомы, радикалы и возбужденные частицы. Предложенная модель удовлетворительно описывала экспериментальные данные по пиролизу метана в струе плазмы (плазмоструйный пиролиз [10, 11]), в частности выход основных продуктов (С2Н2 и Н2), побочных продуктов (С4Н4, С4Н2, С3Н4), а также предсказывала резкое увеличение образования полиацетиленов, рассматриваемых в качестве предшественников образования сажи [9].
В работе [12] было проведено математическое моделирование пиролиза метана в микроволновой плазме при атмосферном давлении. Кинетический механизм состоял из 47 реакций. Он был основан на механизме окисления метана, разработанном в Университете г. Лидс (The Leeds methane oxidation mechanism, Version 1.5) [13]. Были подготовлены 0D-модель для реактора постоянного объема и 1D-модель для проточного реактора и для связки реактора постоянного объема и проточного реактора. Обе модели показали удовлетворительное согласие с экспериментальными результатами.
Моделирование кинетики образования и убыли ацетилена в условиях термической плазмы было проведено в серии работ [14, 15]. Кинетический механизм был составлен из двух частей. Для образования газофазных продуктов применяли кинетический механизм USC Mech Version II, разработанный Вангом (Hai Wang) с соавт. [16]. Реакции образования полициклических ароматических углеводородов (ПАУ) были основаны на механизме Аппеля−Бокхорна−Френклаха [17]. Результаты расчетов по объединенному кинетическому механизму находятся в качественном согласии с экспериментальными данными.
Кинетическое моделирование пиролиза пропана в условиях термической водородной плазмы было выполнено в работе [18]. В ней применяли модель реактора идеального вытеснения и кинетический механизм, разработанный Мариновым и др. [19]. Для образования твердого углерода использовали механизм, предложенный Холменом и др. [20]. Результаты расчетов по модели удовлетворительно описывают экспериментальные данные.
В работе [21] было проведено исследование конверсии метана в плазмохимическом реакторе с вращающейся скользящей дугой. Было получено удовлетворительное согласие результатов расчетов по 0D-модели (кинетический механизм состоял из 286 реакций и включал в себя реакции с участием электронов, атомов, молекул, радикалов, ионов и возбужденных частиц) с экспериментальными данными. Показано, что в распаде СН4 определяющую роль играют электроны и возбужденные азотсодержащие частицы (в основном N2(A)). Большое значение также имеет реакция CH4 + H → CH3 + H2, которая вносит основной вклад в убыль CH4 и образование H2. Установлено, что образование углеводородов С2 происходит в основном по пути C2H6 → C2H4 → C2H2.
В работе [22] рассмотрено превращение метана в высшие углеводороды и Н2 в различных плазмохимических реакторах и создана кинетическая модель, которая была использована для расчетов в барьерном разряде, в микроволновой плазме и в реакторе с вращающейся скользящей дугой. Для проверки модели было проведено сравнение рассчитанных значений степени превращения СН4, селективностей образования продуктов реакции и затрат энергии. Было получено удовлетворительное согласие результатов расчета с экспериментальными данными. При расчетах по модели было показано, что определяющее значение на превращение оказывает температура, а колебательно-поступательная неравновесность пренебрежимо мала во всех исследованных метановых плазмах. Повышение температуры приводит к увеличению селективности образования ненасыщенных углеводородов (в основном С2Н2) вследствие разложения СН4 и последующих процессов дегидрирования. Для низкотемпературной плазмы характерно тримолекулярные реакции рекомбинации с образованием насыщенных углеводородов (в основном С2Н6, но также и других алканов). Определяющее влияние температуры на конверсию метана в углеводороды С2 и водород в неравновесной плазме (в частности, в атмосферных импульсных разрядах) подтверждено в работе [23]. Было установлено, что высокая энергоэффективность требует высокой локальной температуры газа. В работе [23] были предложены критерии для улучшения энергетических показателей плазменной конверсии метана.
В литературе также известны детальные кинетические схемы пиролиза углеводородов, применимые для описания образования сажи, например [24, 25], однако они достаточно громоздки.
Цель данной работы – провести численное моделирование реакции конверсии метана в ацетилен в условиях плазмоструйного пиролиза и сравнить полученные результаты с имеющимися экспериментальными данными [26, 27]. В этих работах экспериментально изучены процессы получения ацетилена в плазменной струе водорода [26] и в плазменной струе природного газа [27]. Схема реактора плазмоструйного пиролиза представлена на рис. 1.
Рис. 1. Схема плазмохимического реактора. 1 – плазмотрон, 2 – реактор, 3 – зона закалки, 4 – подача водорода или метана (природного газа), 5 – подача дополнительного потока метана (природного газа), 6 – закалка водой, 7 – поток продуктов реакции в узел разделения
В плазмотроне достигается температура в пределах 3000−8000 К, струя высокоэнтальпийного газа попадает во вторую камеру (реактор) где встречается с потоками “холодного” метана. В данной работе предполагается, что химический состав газового потока, выходящего из плазмотрона при таких температурах, можно считать равновесным. Смешение газовых потоков из плазмотрона и подаваемого в реактор происходит в начале реактора и считается мгновенным. Закалка продуктов реакции эффективно охлаждает реакционную смесь до температур, при которых химическими реакциями можно пренебречь.
В работе была использована разработанная ранее кинетическая схема пиролиза н-гептана [28]. Она состояла из подмеханизмов (блоков) пиролиза алканов С1−С4 [29], ацетилена [30], н-гептана [31, 32], образования полициклических ароматических углеводородов (ПАУ) [33, 34].
МАТЕМАТИЧЕСКАЯ МОДЕЛЬ
Использовалась модель реактора идеального вытеснения (plug flow) [35]. В этой модели предполагается, что все химические и физические параметры зависят только от направления Z. Диффузией, теплопроводностью и вязкостью в направлении Z пренебрегается. Давление считается постоянным. Решаются уравнения баланса массы для концентраций всех компонент
(1)
и уравнение баланса энергии
. (2)
Здесь Ji – молярный расход i-ой компоненты [моль/c], Ji = ci · v, Vr – реакционный объем [м3], Т – газовая температура [К], ci – объемная концентрация i-ой компоненты [моль/м3], v – объемная скорость протока [м3/c], Wi,j – скорость рождения и гибели частиц i-го сорта в j-ой реакции, Cpi − теплоемкость при постоянном давлении i-ой компоненты [Дж ⋅ моль-1 · К-1], Qj − тепловой эффект j реакции [Вт/м3], Qcond – вклад в уменьшение температуры за счет процесса теплопроводности вдоль радиуса реактора. Для Qcond использовалось приближенное выражение (3) [36]:
. (3)
Здесь λ – теплопроводность газа, Tw – температура стенки реактора, R – радиус реактора.
Теплоемкость Cpi вычисляется на основе термодинамических полиномов (4):
. (4)
Тепловой эффект реакций определялся из выражения (5):
. (5)
Здесь rk – скорость k-й химической реакции [моль/(м3 · с)].
– энтальпия k-й реакции [Дж/моль], где nlk − стехиометрический коэффициент l-й компоненты в k-й реакции, определяемый как положительный для реагентов и отрицательный для продуктов. Энтальпия i-й компоненты газовой смеси hi [Дж/моль] связана с температурой [К] термодинамическим полиномом (6):
. (6)
Кроме того, используется уравнение состояния совершенного газа (7):
. (7)
Здесь R – газовая постоянная, µi – молекулярный вес i-й компоненты, ρ – плотность потока, Yi – весовая доля i-й компоненты.
Время протекания процесса t определяется через координату Vr из уравнения (8):
. (8)
Начальные значения газовой температуры, скорости протока и концентраций всех компонент определялись из следующих предположений.
В реактор подаются два потока: горячий из плазмотрона с температурой 3500 К и холодный поток метана. Состав горячего газа определялся из термодинамического расчета для T = Т1, К и р = 1 атм. Величины массового расхода горячего G1 и холодного G2 газов задаются из экспериментальных данных. Перемешивание этих потоков считалось мгновенным. Для определения параметров полученной смеси использовалась система уравнений сохранения массы и энергии (9):
(9)
Здесь – плотности, температура и объемная скорость горячего, холодного потоков и потока после смешения, Нi(T) – энтальпия i-й компоненты при температуре Т, Yi,1, Yi,s – весовая доля i-й компоненты в горячем потоке и в потоке после смешения.
За основу кинетической схемы нами были взят механизм пиролиза ацетилена Ванга и Френклаха [30]. Для С1, С2 химии эта схема исходит из механизма GRI-Mech 3.0. Для более высокомолекулярных углеводородов в нем используются данные работы [32]. Кроме того, на основе модели, разработанной в работах [28, 37], учитывалось образование сажи.
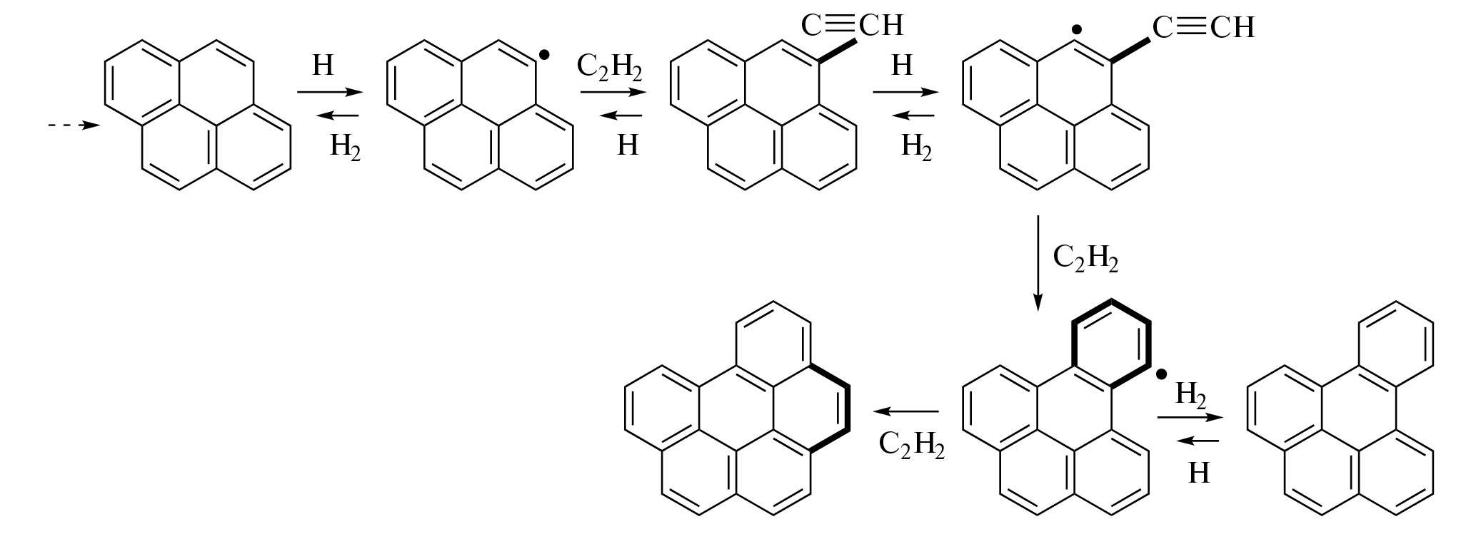
Остановимся на основных чертах этой модели. Она включает в себя процессы зародышеобразования, поверхностный рост твердых частиц и их коагуляцию. Для образования и поверхностного роста зародышей использовалась полиароматическая модель. На первой стадии происходит рост полиароматических углеводородов от пирена до молекулы-зародыша, состоящей из 8 бензольных колец. Механизм образования зародыша твердой частицы состоит из повторяющейся последовательности присоединения новых ароматических колец в реакциях с ацетиленом и водородом (механизм HACA) [38].
На рис. 2 показан этот переход от пирена к 1,12-бензоперилену. Этот переход описывается брутто-реакцией: Ai + 3C2H2 → Ai+2 + 2H2. Здесь i − число бензольных колец в молекуле. Константы реакций взяты из работы [30].
Рис. 2. Механизм образования молекулы зародыша частиц сажи
Принимая во внимание, что диапазон размеров частиц сажи достаточно широк (частицы могут содержать до 106 атомов углерода в частице), подмодели сажеобразования должны описывать кинетику роста частиц сажи в широком диапазоне размеров. Чтобы упростить описание кинетики роста частиц используется функция распределения частиц Fi по группам, которые содержат определенное количество ароматических колец. Эти требования к подмоделям удовлетворяются, если положить средний размер иx групп, равным 2m (m = 4, 5, ..., N), где N – номер группы с наибольшим размером). В этой модели N полагается равным 20. Это позволяет учесть весь диапазон размеров частиц аэрозолей и сажи, а именно: изменение концентрации частиц, содержащих до 220 ароматических колец, или примерно 4 × 106 атомов углерода.
Еще одним процессом, влияющим на образование сажи, является коагуляция твердых частиц. В нашем случае режим коагуляции – свободно-молекулярный (число Кнудсена Kn ≥ 100), где Kn = 1/a. Здесь l — длина свободного пробега молекул газа, а a — максимальный радиус твердых частиц. В этом случае константа коагуляции Kmi для частиц из двух групп, характеризующихся количеством ароматических колец 2m и 2i, равна
(10)
где ρ = 1.8 × 10-3 кг/м3 – плотность сажевых частиц, mar – масса одного ароматического кольца; kB — постоянная Больцмана [39].
Система уравнений, описывающая изменение концентрации частиц сажи представляет из себя сумму изменения концентрации частиц сажи за счет поверхностного роста и процесса коагуляции.
Наша кинетическая схема была дополнена реакциями для следующих заряженных частиц: ne, CH+, C2H3+, CH2+, C+, C2H2+, C2H5+, C2H4+, CH3+. Эти реакции приводятся в табл. 1. Учитывались процессы ионизации и диссоциации прямым электронным ударом и реакции ионного обмена.
Таблица 1. Процессы с электронами и ионами в реакторе
№ | Реакции | Константы скоростей реакций cм3 · моль-1 · с-1 | Лит-ра |
Диссоциация электронным ударом | |||
1 | CH4+ e → CH3+H+ e | k(Te) | [40] |
2 | H2 + e → H + H + e | k(Te) | [41] |
3 | C2H4 + e → C2H3 + H + e | k(Te) | [42] |
4 | C2H2 + e → C2H + H + e C2H2 + e → C2 + H2 + e | k(Te) k(Te) | |
Ионизация прямым электронным ударом | |||
5 | CH4 + e → CH4+ + e + e | k(Te) | [44] |
6 | C2H2 + e → C2H2+ + e + e | k(Te) | [44] |
Ион-молекулярные реакции | |||
7 | CH++ CH4 → C2H3++H2 | 6.57 × 1014 | [45] |
8 | CH++ H2 → CH2++H | 7.236 × 1014 | [45] |
9 | C++ CH4 → C2H3+ + H | 6.63 × 1014 | [45] |
10 | C2H3+ + H → C2H2+ + H2 | 4.1 × 1013 | [45] |
11 | C2H3+ + C2H4 → C2H5+ + C2H2 | 5.37 × 1014 | [45] |
12 | C2H5+ + H → C2H4+ + H2 | 6.03 × 1013 | [45] |
13 | C2H4+ + H → C2H3+ + H2 | 1.81 × 1014 | [45] |
14 | C2H2+ + CH4 → C2H3+ + CH3 | 2.47 × 1015 | [45] |
15 | C2H2+ + H2 → C2H3+ + H | 6.03 × 1012 | [45] |
16 | CH2+ + H2 → CH3+ + H | 9.65 × 1014 | [45] |
17 | CH3+ + CH4 → C2H5+ + H2 | 7.236 × 1014 | [45] |
18 | CH3+ + C2H6 → C2H5+ + CH4 | 8.92 × 1014 | [45] |
19 | CH3+ + C2H4 → C2H3+ + CH4 | 2.11 × 1014 | [45] |
Электрон-ионная рекомбинация | |||
20 | e + C2H3+ → C2H2 + H | 8.08 × 1015/Te0.74 | [45] |
21 | e + C2H2+ → C2H + H | 1.13 × 1016/Te0.74 | [45] |
22 | e + C2H2+ → C2 + H + H | 6.75 × 1015/Te0.74 | [45] |
23 | e + C2H2+ → CH + CH | 2.94 × 1015/Te0.74 | [45] |
24 | e + С2H3+ → C2H + H + H | 1.65 × 1016/Te0.74 | [45] |
25 | e + CH2+ → CH + H | 6 × 1015/Te 0.5 | [45] |
26 | e + CH2+ → C + H2 | 2.9 × 1015/Te 0.5 | [45] |
27 | e + CH2+ → C + H + H | 1.53 × 1016/Te 0.5 | [45] |
Для расчета концентрации электронов на входе в реактор использовались соотношения
, (11)
, (12)
где Pуд – удельная мощность [Вт/м3], j – плотность тока [А/м2], µe – коэффициент подвижности электронов. В анализируемых нами экспериментах полная мощность плазмотрона менялась в интервале 13−30 кВт, а сила тока в интервале 150−300 A. Функция распределения электронов f считалась Максвелловской.
Константа процесса i считается по формуле:
. (13)
Здесь ε – энергия электронов, e, m − заряд и масса электрона, σi(ε) − сечение столкновений электронов с тяжелой компонентой плазмы в процессе i, ui − порог i-го неупругого процесса.
Моделирование проводилось при помощи программы Comsol 3.5a, использующей метод конечных элементов.
РЕЗУЛЬТАТЫ РАСЧЕТОВ И ОБСУЖДЕНИЕ
В работах [26, 27] на лабораторной установке изучены процессы получения ацетилена в плазменной струе природного газа и в плазменной струе водорода при атмосферном давлении. Проведем сравнение результатов расчетов по нашей модели с этими данными.
В работе [27] в качестве плазмообразующего газа использовался природный газ, содержащий 97.9% метана. Поэтому без потери точности в расчете мы в качестве плазмообразующего газа использовали чистый метан. Среднемассовая температура плазменной струи, согласно экспериментальным данным, бралась равной 3500 K. При этой температуре в рассчитанном нами равновесном составе смеси основными компонентами являются молекулярный и атомарный водород, а из углеродсодержащих компонентов основное значение имеют ацетилен и диацетилен, радикал С2Н и дикарбен С3. Отличие наших расчетов от расчетов, выполненных ранее [10], состоит в том числе в использовании в начальный момент в качестве потока высокоэнтальпийного газа равновесного состава С/Н = ¼ вместо метана.
В расчетах варьировались величина потока холодного метана. Результаты расчетов показаны на рис. 3, 4. На малых временах наблюдается рост температуры. Он связан с реакцией отрыва:
. (14)
Рис. 3. Зависимость газовой температуры (а), объемных концентраций метана (б), молекулярного водорода (в) и ацетилена (г) от времени пребывания газа в реакторе при разных значениях расхода холодного метана F2 для случая F1 = 50 л/мин, Т1 = 3500 К, Т2 = 300 К, р = 1 атм. F2 /F1 = 1.0 (1), F2 /F1 = 1.2 (2), F2 /F1 = 1.4 (3), F2/F1 = 1.6 (4), F2/F1 = 2.0 (5)
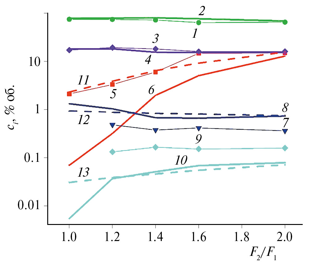
Рис. 4. Зависимость экспериментальных [27] (символы и тонкие сплошные линии) и расчетных (толстые сплошные линии) значений концентраций метана и основных продуктов его распада от соотношения величины потоков холодного и горячего метана для случая F1 = 50 л/мин, Т1 = 3500 К, Т2 = 300 К, р = 1 атм. Толстые пунктирные линии – расчет с учетом перемешивания холодного и горячего потоков. 1, 2 – Н2; 3, 4 – C2H2; 5, 6, 11 – CH4; 7, 8, 12 – C4H2; 9, 10, 13 – C4H4
Данная реакция имеет достаточно большой тепловой эффект, что приводит к разогреву реагирующей смеси на временах 10-7−10-6 c. Кроме того, эта реакция приводит к образованию метильного радикала СН3, наличие которого, в свою очередь, приводит к реакции рекомбинации
(15)
и подъему температуры.
Дальнейшее понижение температуры обусловлено реакциями (15)–(17):
, (16)
. (17)
Здесь А1 – молекула бензола, а – фенильный радикал.
Из графика 3б видно, что разложение метана характеризуется наличием двух участков. На временах до 10-7 с разложение метана связано в основном с реакцией (14). Затем наряду с этой реакцией становятся важными реакции (15) и (18):
. (18)
Образование метана происходит в процессах (15) и (19):
. (19)
Наибольший выход водорода и ацетилена наблюдается при отношении потоков F2/F1 = 1.2 на временах около 10-3 с. Здесь F1 и F2 – объемные потоки высокоэнтальпийного газа из плазмотрона и “холодного” метана соответственно [л/мин]. Проведенный нами кинетический анализ показал, что на малых временах (≈10-7 c) основными процессами, приводящими к образованию ацетилена, являются реакции (20)–(21):
, (20)
. (21)
На больших временах становится существенной реакция
. (22)
Результаты расчетов основных продуктов разложения метана (водорода и ацетилена) хорошо согласуются с экспериментальными данными для всех значений F2 /F1 (рис. 4). Концентрация метана хорошо совпадает для больших значений F2/F1 и плохо – для значений F2 /F1, равным примерно единице. Мы допускаем, что это различие может быть связано с нашим предположением о мгновенном смешении потока плазмы и холодного метана. Характерное время перемешивания двух потоков можно оценить по соотношению [46]:
, (23)
где λs – микромасштаб, D – коэффициент молекулярной диффузии.
, (24)
υ – кинематическая вязкость, L – характерный размер системы, u’ – пульсация скорости потока. В нашем случае получаем τ ≈ 10-7 с. Как уже отмечалось выше, основной реакцией диссоциации метана является реакция отрыва атома Н (14). Для ее протекания необходимо перемешивание потоков плазмы и холодного газа. Характерное время диссоциации метана за счет этого процесса зависит от среднемассовой температуры гомогенной смеси и растет с ростом величины холодного потока метана. По нашим оценкам, для случая F2 /F1 = 2 время перемешивания меньше характерного времени реакции (14) и поэтому перемешивание не является лимитирующей стадией. Для F2/F1 = 1 время перемешивания больше времени реакции (14). Для проверки этого предположения мы провели расчеты с уменьшенной в начальный момент концентрацией атома Н. Полученные в этом расчете концентрации метана хорошо согласуются с экспериментальными значениями (рис. 4).
Кроме газовых продуктов проводился расчет выхода сажи (рис. 5). Наименьший выход сажи получается при F2 /F1 = 1.
Рис. 5. Зависимость выхода сажи от времени пребывания газа в реакторе при разных значениях расхода холодного метана F2 для случая М1 = 50 л/мин, Т1 = 3500 К, Т2 = 300 К, р = 1 атм. F2/F1 = 1.0 (1), F2/F1 = 1.2 (2), F2/F1 = 1.4 (3), F2/F1 = 1.6 (4), F2/F1 = 2.0 (5)
Во второй серии экспериментов в качестве плазмообразующего газа использовался водород [26]. Варьировались величины расходов плазмообразующего газа и холодного газа метана. Сравнение результатов расчетов и экспериментов приводится на рис. 6.
Рис. 6. Зависимость экспериментальных [26] (символы и тонкие сплошные линии) и расчетных (толстые сплошные линии) выходов основных компонентов: (а) от объемного расхода метана при расходе водорода 50 л/мин, (б) от объемного расхода водорода при расходе метана 80 л/мин. 1, 2 – H2; 3, 4 – С2H2; 5, 6 – СH4; 7, 8 – С2H4
В целом наблюдается хорошее согласие расчетов с экспериментальными данными для основных продуктов реакций: водорода и ацетилена. Так же как в случае плазмообразуещего газа метана для продуктов диссоциации метана, количество которых незначительно, и самого метана, наблюдается расхождение между расчетными и экспериментальными результатами при небольшой величине расхода холодного метана (рис. 6а). При уменьшении расхода водорода согласие с экспериментом для всех компонент улучшается. Скорей всего, это также связано с необходимостью учета процесса смешения при увеличении среднемассовой температуры гомогенной смеси. Заметим, что и в этом случае основным процессом разложения метана является реакция (14). В табл. 2 мы приводим расчетные и экспериментальные значения концентраций метана и основных продуктов его разложения для разных значений расходов холодного и горячего газа.
Таблица 2. Зависимость расчетных и экспериментальных концентраций основных компонент от величины расхода водорода и расхода холодного метана
Расход H2, л/мин | Расход CH4, л/мин | Расчет | Эксперимент | ||||||
CH4 | H2 | C2H4 | C2H2 | CH4 | H2 | C2H4 | C2H2 | ||
70 | 52 | 0.0358 | 84.78 | 0.00741 | 13.05 | 0.48 | 86 | 0.59 | 12.1 |
70 | 60 | 0.0593 | 84.58 | 0.0130 | 13.80 | 0.95 | 78.7 | 0.81 | 12.9 |
70 | 80 | 0.638 | 83.49 | 0.0735 | 14.86 | 4.6 | 77.2 | 0.95 | 12.4 |
70 | 100 | 6.74 | 78.39 | 0.219 | 13.42 | 14.6 | 70.4 | 0.95 | 11.4 |
50 | 52 | 0.0441 | 83.28 | 0.00996 | 14.63 | 0.53 | 85.6 | 0.57 | 13.8 |
50 | 60 | 0.0974 | 83.25 | 0.0271 | 15.34 | 0.96 | 80 | 0.78 | 13 |
50 | 82 | 3.55 | 80.46 | 0.182 | 14.56 | 5.7 | 81.2 | 1.01 | 12.9 |
50 | 100 | 9.56 | 74.90 | 0.303 | 13.93 | 14.2 | 70 | 0.88 | 11.9 |
40 | 52 | 0.0739 | 82.62 | 0.0185 | 15.69 | 0.57 | 84.8 | 0.53 | 14.4 |
40 | 60 | 0.255 | 82.59 | 0.07605 | 16.04 | 5.1 | 74.4 | 0.66 | 13.5 |
40 | 82 | 8.20 | 75.96 | 0.309 | 14.19 | 7.4 | 78.4 | 1.1 | 12.1 |
40 | 100 | 16.8 | 68.46 | 0.469 | 13.20 | 23.9 | 59.2 | 0.68 | 10.5 |
30 | 52 | 0.109 | 81.78 | 0.0338 | 16.67 | 0.87 | 83.2 | 0.73 | 14.9 |
30 | 60 | 2.67 | 81.08 | 0.223 | 14.84 | 7 | 72.8 | 0.42 | 13.5 |
30 | 80 | 16.9 | 68.18 | 0.516 | 13.33 | 19.6 | 67.8 | 0.97 | 11.7 |
30 | 100 | 29.9 | 57.27 | 1.13 | 10.89 | 29.2 | 60 | 1.07 | 10.5 |
Наибольший выход ацетилена и водорода и в эксперименте, и в расчете наблюдается при значении F1 = 30 л/мин и F2 = 52 л/мин. Построим для этих значений временные распределения метана и основных продуктов его распада (рис. 7).
Рис. 7. Зависимость от времени содержания метана и продуктов его пиролиза для оптимальных условий табл. 2. 1 – СН4, 2 – Н2, 3 – С2Н4, 4 – С2Н2
Из рис. 7 видно, что основные особенности, наблюдаемые нами для случая плазменной струи метана (максимум водорода и ацетилена наблюдается на временах порядка 10-4−10-3 с, у кривой концентрации метана есть два явно выраженных участка), получены нами и здесь. Максимумы этилена и ацетилена разнесены по времени. Разложение этилена в основном происходит в реакции
(25)
c образованием этиленового радикала C2H3, который превращается в ацетилен в реакции (20). Однако эта реакция не является основным и единственным путем получения ацетилена. Поэтому схема Касселя в данном случае не полностью описывает ситуацию.
ВЫВОДЫ
В приближении реактора идеального вытеснения проведено численное моделирование реакции конверсии метана в ацетилен в плазменной струе природного газа и в плазменной струе водорода при атмосферном давлении. Перемешивание струи плазмы и холодного метана считалось мгновенным. Использовалась кинетическая схема, основанная на механизме пиролиза ацетилена Ванга и Френклаха [30]. Для С1, С2 химии эта схема исходит из механизма GRI-Mech 3.0. Для более высокомолекулярных углеводородов в нем используются данные работы [32]. Кроме того, на основе модели, разработанной нами в работах [28, 37], учитывалось образование сажи. Проведено сравнение с экспериментальными данными [26, 27]. Показано, что в начальные моменты времени большое значение имеет реакция отрыва (14), которая происходит за счет наличия в плазменной струе, втекающей в реактор, атомов Н. Результаты расчетов основных продуктов разложения метана (водорода и ацетилена) хорошо согласуются с экспериментальными данными для всех значений величины потоков холодного F2 и горячего F1 газа. Наибольший выход водорода и ацетилена наблюдается при F2 /F1 = 1.2 на временах около 10-3 с. Наименьший выход сажи получается при соотношении величины весовых потоков холодного и горячего газа, равном единице. Для продуктов диссоциации метана, количество которых незначительно, и самого метана наблюдается расхождение между расчетными и экспериментальными результатами при небольшой величине расхода холодного метана. Наши оценки показывают, что это различие может быть связано с предположением о мгновенном смешении потока плазмы и холодного метана. В дальнейшем мы предполагаем отказаться от этого предположения.
ИСТОЧНИК ФИНАНСИРОВАНИЯ
Исследование выполнено в рамках госзадания ИНХС РАН.
About the authors
I. V. Bilera
A.V. Topchiev Institute of Petrochemical Synthesis of the Russian Academy of Sciences
Email: lebedev@ips.ac.ru
Russian Federation, Moscow
Yu. A. Lebedev
A.V. Topchiev Institute of Petrochemical Synthesis of the Russian Academy of Sciences
Author for correspondence.
Email: lebedev@ips.ac.ru
Russian Federation, Moscow
A. Yu. Titov
A.V. Topchiev Institute of Petrochemical Synthesis of the Russian Academy of Sciences
Email: lebedev@ips.ac.ru
Russian Federation, Moscow
I. L. Epstein
A.V. Topchiev Institute of Petrochemical Synthesis of the Russian Academy of Sciences
Email: lebedev@ips.ac.ru
Russian Federation, Moscow
References
- Antonov V.N., Lapidus A.S. Acetylene production. M.: Chemistry, 1970. 416 р.
- Temkin O.N., Shestakov G.K., Treger Yu.A. Acetylene: Chemistry. Mechanisms of reactions. Technology. M.: Chemistry, 1991. 416 p.
- Pässler P., Hefner W., Buckl K. et al. Acetylene. In Ullmann’s Encyclopedia of Industrial Chemistry, 7th ed. Weinheim, Germany: Wiley-VCH Verlag GmbH & Co, 2008; https://doi.org/10.1002/14356007.a01 097.pub3
- Shlyapin D.A., Afonasenko T.N., Glyzdova D.V. et al. // Catalysis in Industry, 2022. V. 14. № 3. P. 251.
- Bedenko S.P., Dement’ev K.I., Maximov A.L. // Petroleum Chemistry. 2022. V. 62. № 9. P. 989.
- Arutyunov V.S., Savchenko V.I., Sedov I.V., Nikitin A.V. // Catalysis in Industry. 2022. V. 14. № 1. P. 1.
- Maretina I.A. // Russ. J. Appl. Chem. 1996. V. 69. № 3. P. 311.
- Maretina I.A., Trofimow B.A. // Russ. Chem. Rev. 2000. V. 69. № 7. P. 591.
- Slovetskii D.I., Mankelevich Yu.A., Slovetskii S.D., Rakhimova T.V. // High Energy Chemistry. 2002. V. 36. № 1. P. 44.
- Kinetics and thermodynamics of chemical reactions in low-temperature plasma. Ed. by L.S. Polak. M.: Nauka, 1965. 255 p.
- Bilera I.V., Lebedev Y.A. // Petroleum chemistry. 2022. V. 62. № 4. P. 329.
- Dors M., Nowakowska H., Jasinski M., Mizeraczyk J. // Plasma Chem. Plasma Process. 2014. V. 34. № 2. P. 313.
- Hughes K.J., Turanyi T., Clague A.R., Pilling M.J. // Int. J. Chem. Kinet. 2001. V. 33. № 9. P. 513.
- Cheng Y., Li T., Rehmet C. et al. // Chem. Eng. J. 2017. V. 315. P. 324.
- An H., Cheng Y., Li T., Cheng Y. // Fuel Proc. Technol. 2018. V. 172. P. 195.
- Wang H., You X., Joshi A.V. et L. Law, USC Mech Version II. High-Temperature Combustion Reaction Model of H2/CO/C1-C4 Compounds. http://ignis.usc.edu/USC_Mech_II.htm, May 2007.
- Appel J., Bockhorn H., Frenklach M. // Comb. Flame. 2000. V. 121. P. 122.
- Ma J., Su B., Wen G. et al. // Int. J. Hydrogen Energy. 2016. V. 41. № 48. P. 22689.
- Marinov N.M., Pitz W.J., Westbrook C.K. et al. // Comb. Flame. 1998. V. 114. № 1–2. P. 192–213.
- Holmen A., Rokstad O.A., Solbakken A. // Ind. Eng. Chem. Process Des. Dev. 1976. V. 15. № 3. P. 439.
- Zhang H., Wang W., Li X. et al. // Chem. Eng. J. 2018. V. 345. P. 67.
- Heijkers S., Aghaei M., Bogaerts A. // J. Phys. Chem. C. 2020. V. 124. № 13. P. 7016.
- Ravasio S., Cavallotti C. // Chem. Eng. Sci. 2012. V. 84. P. 580.
- Agafonov G.L., Smirnov V.N., Vlasov P.A. // Proc. Combust. Inst. 2011. V. 33. № 1. P. 625.
- Shao C., Kukkadapu G., Wagnon S.W. et al. // Comb. Flame. 2020. V. 219. P. 312.
- Kozlov G.I., Khudyakov G.N., Kobzev Yu.N. // Petroleum Chem. U.S.S.R. 1967. V. 7. № 1. P. 83.
- Kobzev Yu.N., Kozlov G.I., Khudyakov G.N. // High Energy Chem. 1970. T. 4. No. 6. P. 519.
- Epstein I.L., Lebedev Yu.A., Tatarinov A.V., Bilera I.V. // J. Phys. D: Appl. Phys. 2018. V. 51. 214007.
- GRI-Mech 3.0. http://combustion.berkeley.edu/gri-mech/
- Wang H., Frenklach M. // Comb. Flame. 1997. V. 110. P. 173
- Mehl M., Pitz W.J., Westbrook C.K., Curran H.J. // Proc. Combust. Inst. 2011. V. 33. P. 193.
- Curran H.J., Gaffuri P., Pitz W.J., Westbrook C.K. // Comb. Flame. 1998. V. 114. № 1–2. P. 149.
- Merkulov A.A., Ovsyannikov A.A., Polak L.S. et al. // Plasma Chem. Plasma Process. 1989. V. 9. № 1. P. 95.
- Merkulov A.A., Ovsyannikov A.A., Polak L.S. et al. // Plasma Chem. Plasma Process. 1989. V. 9. № 1. P. 105.
- Emanuel N.M., Knorre D.G. Course of chemical kinetics. M.: Vysshaya shkola, 1974, 399 p.
- Frank-Kamenetsky D.A. Diffusion and heat transfer in chemical kinetics. M.: Nauka, 1987.
- Lebedev Yu.A., Tatarinov A.V., Epstein I.L. // Plasma Chem. Plasma Processing. 2019. V. 39. № 4. P. 787.
- Frenklach M., Wang H. // Proc. Comb. Inst. 1991.V. 23. P. 1559.
- Shterenberg A.M. // Vestnik Samarsk. Univer. Phys.-Math. Ser. 1998. P. 55 (in Russian).
- Winters H. // J. Chem. Phys. 1975. V. 63. P. 3462.
- Cacciatore M., Capitelli M., Dilonardo M. // Chem. Phys. 1978. V. 34. P. 193.
- Morgan Database (2014). www.lxcat.net. Retrieved 29 Aug 2014
- Janev R., Reiter D. // Phys. Plasmas. 2004. V. 11. P. 780–829.
- Starikovsky A., Aleksandrov N. // Progr. Energy Combust. Science. 2013. V. 39. P. 61.
- Wang W., Snoeckx R., Zhang X. et al. // J. Physical Chemistry C. 2018. V. 122. № 16. P. 8704.
- Ovsyannikov A.A. Chemical reactions in turbulent flows of low-temperature plasma in the collected papers “Low-temperature plasma 3”. Ed. by L.S. Polak and Yu.A. Lebedev. Novosibirsk: Nauka, 1981.
Supplementary files









