Фoтохимические и фотофизические процессы в фотохимиотерапии, поиск новых препаратов
- Authors: Кузьмин В.А.1, Некипелова Т.Д.1, Ходот Е.Н.2, Шахматов В.В.1
-
Affiliations:
- Институт биохимической физики им. Н.М. Эмануэля РАН
- Институт органической химии им. Н.Д. Зелинского РАН
- Issue: Vol 58, No 1 (2024)
- Pages: 30-49
- Section: ФОТОХИМИЯ
- URL: https://journals.rcsi.science/0023-1193/article/view/258143
- DOI: https://doi.org/10.31857/S0023119324010034
- EDN: https://elibrary.ru/KBWNGI
- ID: 258143
Cite item
Full Text
Abstract
В обзоре обобщены и систематизированы данные по строению, фотохимическим и фотофизическим свойствам фурокумаринов (псораленов) и их аналогов, представлены современные представления о роли триплетных состояний и реакции [2+2]-фотоциклоприсоединения при взаимодействии этих соединений с биомакромолекулами (ДНК, белками, липидами) после фотовозбуждения светом УФ-А диапазона (320–390 нм), а также реакции переноса электрона и взаимодействия триплетов фурокумаринов с кислородом c образованием активных форм кислорода. Взаимодействие триплетов фурокумаринов с биомакромолекулами является основой фотохимиотерапии (ПУВА-терапии). Использование в ПУВА-терапии фурокумаринов растительного происхождения выявило ряд нежелательных побочных явлений, поэтому в последние годы предпринимаются попытки синтеза новых соединений для фотохимиотерапии. В обзоре рассматриваются современные направления этих работ: это модифицированные псоралены, производные ангулярных фурокумаринов, ангелицина и аллопсоралена, и азотсодержащие изостеры псоралена, фурохинолиноны и фуродигидрохинолины.
Full Text
ВВЕДЕНИЕ
Известно, что фотовозбуждение сложных органических соединений в триплетное состояние приводит к возрастанию их реакционной способности, и триплетные состояния молекул вступают в химические реакции, которые не протекают в основном синглетном состоянии. Гибель триплетных состояний в основное синглетное состояние происходит в результате запрещенной по спину интеркомбинационной конверсии (ИКК), что приводит к более долгому времени жизни триплетов по сравнению с возбужденным синглетным состоянием, и за это время триплеты успевают вступить в различные реакции с другими молекулами. Эти факторы определяют важную роль триплетных состояний в фотохимических процессах.
К реакциям, характерным для триплетных состояний, относятся триплет-триплетная аннигиляция, образование синглетного кислорода, реакция переноса электрона, а также реакция [2+2]-фотоциклоприсоединения с образованием циклобутанового кольца, которая происходит между двумя молекулами с двойной связью С=С, одна из которых находится в триплетном состоянии. Согласно правилу Вудворда‒Гофмана [2+2]-циклоприсоединение является термически запрещенной, но фотохимически разрешенной перициклической реакцией [1, 2]. Эти свойства триплетных состояний находят применение не только в синтетической органической химии, но и в ряде других направлений химии, биологии и медицины [3‒9].
В современной медицине для лечения ряда заболеваний широкое применение получили технологии, позволяющие локально работать с пораженными участками внутренних органов и кожи человека. Данные технологии основаны на возбуждении узкополосным светом фотосенсибилизатора (ФС). Наиболее широкую известность получил метод фотодинамической терапии онкологических заболеваний, в котором воздействие на раковые клетки осуществляется синглетным кислородом и/или активными формами кислорода (АФК), которые генерируются при взаимодействии триплетных молекул красителей непосредственно с основным триплетным состоянием кислорода или радикальными продуктами, образованными в результате фотопереноса электрона с кислорода [6, 7]. Фотохимиотерапия или ПУВА-терапия (англ. PUVA образовано из начальных букв слов «psoralens» и «ultraviolet A») представляет собой метод лечения ряда кожных заболеваний с использованием ФС, поглощающих в УФ-А области (320‒390 нм) [9, 10]. История применения этого метода уходит в античный Египет, Индию и Китай, где было замечено, что у людей с витилиго после приема отвара плодов Ammi majus или Psoralea corylifolia, произрастающих по берегам Нила или в Азии, с последующим облучением солнечным светом наблюдалось восстановление меланина в коже [10‒15].
Наиболее распространенными кожными заболеваниями во всем мире являются псориаз, склеродермия, витилиго, морфея, атопический дерматит, экзема. Псориаз в свой хронической форме с проявлением поражений кожи встречается приблизительно у 2% населения земного шара [16]. В середине ХХ в. на основе наблюдений за применением народных методов лечения с использованием отваров из растительного сырья и с последующим воздействием солнечного света был разработан метод фотохимиотерапии (ПУВА-терапия) [10‒12, 15, 17, 18]. Были выделены активные вещества из растительного сырья и показано, что действующими ФС являются замещенные фурокумарины (псоралены). В обзоре [15] показаны этапы развития фотохимиотерапии от античных времен до начала 90-х годов двадцатого века.
Механизм терапевтического действия псораленов на клетки кожи человека связывают с образованием продуктов [2+2]-фотоциклоприсоединения в результате взаимодействия между триплетным электронно-возбужденным состоянием псоралена и тиминовым основанием ДНК [7, 10, 13, 19‒21]. Длительное применение псораленов при лечении кожных заболеваний выявило возникновение побочных токсических эффектов ПУВА-терапии [9, 10, 22‒24]. Как правило, основной побочный эффект от ПУВА-терапии заключается в развитии эритемы (солнечный ожог), сухости кожи, сопровождающейся зудом, отеком, вплоть до развития буллезных поражений. Был обнаружен фотоцитотоксичный эффект от использования псораленов, который может приводить к точечным мутациям и онкологическим заболеваниям. Полагают, что способность псораленов при фотовозбуждении образовывать ковалентные связи (кросс-сшивки) между двумя пиримидиновыми основаниями, расположенными на противоположных нитях ДНК, является причиной нарушения клеточной пролиферации, с возможным дальнейшим развитием онкологических заболеваний [10, 20, 22, 24‒26]. В этой связи, представляется актуальной задача по поиску новых ФС, которые отвечали необходимым условиям для применения в ПУВА-терапии: образовывали триплетные состояния с высоким квантовым выходом при фотовозбуждении светом УФ-А диапазона, эффективно взаимодействовали с пиримидиновыми основаниями ДНК с образованием аддуктов и не обладали побочными токсичными эффектами.
В последние годы предложены новые методы лечения бляшечного псориаза с использованием препаратов на основе моноклональных антител антиинтерлейкина-23p19 (anti-interleukin-23p19 monoclonalantibody), таких как бродалумаб (brodalumab), гуселькумаб (guselkumab), иксекизумаб (ixekizumab) и рисанкизумаб (risankizumab-rzaa) [27, 28]. Однако эти методы не получили широкого распространения из-за высокой стоимости используемых препаратов. В то же время, наблюдается увеличение публикаций, посвященных детальному исследованию механизма и разработке новых препаратов для фотохимиотерапии [9, 19, 29‒31].
Данный обзор посвящен описанию фотохимических и фотофизических свойств псораленов, механизму их взаимодействия с биомакромолекулами под действием света и современным направлениям по поиску новых ФС для фотохимиотерапии с менее выраженной фототоксичностью.
ПСОРАЛЕНЫ, ИХ ПРИМЕНЕНИЕ И СВОЙСТВА, ПУВА-ТЕРАПИЯ
Многие растения по всему миру содержат в своем составе псоралены. Экстракты из этих растений нашли широкое применение в народной медицине в качестве самостоятельных медикаментозных средств. Псоралены также вызывают научный интерес в качестве противоопухолевых, противовирусных и антибактериальных препаратов [14]. Однако наиболее эффективное применение препаратов на основе псораленов осуществляется при сочетании с УФ-А облучением по методу ПУВА.
В качестве ФС в ПУВА-терапии применяются и исследуются натуральные псоралены и синтетические фурокумарины (схема 1): псорален, ангелицин, 5-метоксипсорален (5-МОР), 8-метоксипсорален (8-МОР) и 4,5′,8-триметилпсорален (4,5′,8-ТМР). Несмотря на длительные исследования различных псораленов, к применению как перорально, так и наружно (в виде растворов, кремов, ванн) одобрены только три соединения: 5-МОР, 8-МОР и 4,5′,8-ТМР. Наиболее широко используемым в различных странах является 8-МОР, который в США является единственным препаратом, разрешенным FDA для использования в клинической практике [13, 32, 33].
Схема 1.
Основным механизмом действия ПУВА считается взаимодействие активированного светом ФС с ДНК псориатических клеток. В результате образуются монофункциональные связи с пиримидиновыми основаниями, а затем бифункциональные связи и перекрестные сшивки между цепями ДНК, или ДНК и белками, или липидами мембран. Это приводит к торможению клеточного деления за счет временного подавления синтеза нуклеиновых кислот и белка. Необходимо отметить, что только образование монофункциональных связей (образование моноаддукта (МА)) между молекулой псоралена и основанием ДНК является эффективным при фототерапии, так как образование перекрестных сшивок между цепями ДНК увеличивает риск развития онкологических заболеваний. Фотоконъюгация псораленов и ДНК подтверждена химическим анализом продуктов взаимодействия псораленов с ДНК и олигонуклеотидами, а также электронной микроскопией in vivo и in vitro [20, 34, 35]. Проблеме возникновения различных нежелательных последствий ПУВА-терапии, в том числе онкологических заболеваний, и протоколу лечения псориаза, а также других кожных заболеваний с применением псораленов, посвящено большое количество исследований, начиная с 90-х годов прошлого века и до настоящего времени [22, 23, 36‒56]. Фурокумарины также используют в лечении раковой Т-клеточной лимфомы и некоторых инфекций, связанных со СПИДом. В этом случае, отведенную, внешнюю кровь облучают с фотоактивным 8-МОР в искусственно созданной подвижной системе [56, 57].
МЕХАНИЗМ ФОТОРЕАКЦИЙ ПСОРАЛЕНОВ
Развитие новых кинетических спектральных методов с временным разрешением до наносекунд стимулировало активное исследование механизма фотофизических и фотохимических процессов, происходящих при фотовозбуждении псораленов, а также их биомедицинских последствий. Начиная с конца 70-х и до настоящего времени опубликовано несколько обзоров, освещающих различные аспекты фотофизики, фотохимии и фотобиологии псораленов [7, 10, 13, 58‒61]. Длинноволновая полоса поглощения псораленов находится в пограничном диапазоне УФ-А‒УФ-В: для 8-MOP плечо в области 330‒380 нм и λmax = 300 нм (рис. 1).
Рис. 1. Спектр поглощения раствора 8-MOP в PBS буфере (pH 7.2), нормированный по коротковолновому максимуму поглощения.
Интенсивное изучение спектральных свойств, квантовых выходов триплетного состояния различных псораленов и тушение триплетного состояния основаниями ДНК и аминокислотами показало, что для этих соединений характерны как относительно интенсивная флуоресценция, так и фосфоресценция в низкотемпературных матрицах [58, 62]. Квантовые выходы флуоресценции и триплетного состояния сильно снижаются при понижении полярности растворителя [58]. Во время-разрешенных пико- и наносекундных экспериментах в различных растворителях было показано, что возбужденное синглетное состояние 8-MOP имеет две сильные полосы поглощения с максимумами 430 и 630–690 нм. Время жизни первого возбужденного состояния S1, τS, изменяется от величины <10 пс в низко-полярных растворителях (толуол, тетрагидрофуран) до 2.7 нс в сильно полярных растворителях (трифторэтанол, гексафторизопропанол) [62].
Триплетные спектры 8-MOP, 5-MOP и 3-карбетоксипсоралена (3-CPs) сильно меняются при переходе от растворителей, образующих Н-связи (вода, спирты) к растворителям, не способным к их образованию (бензолу или ацетонитрилу), при этом спектры незамещенного псоралена практически не зависят от растворителя [63]. С помощью теоретического рассмотрения методом CNDO/S было объяснено существование различных типов триплетов. Для 8-MOP, 5-MOP и 3-CPs триплетные состояния в воде рассматриваются как триплетные эксиплексы 3(FCδ- · H2Oδ+), что соответствует тому, что спектры этих состояний близки к спектрам соответствующих анион-радикалов.
Для объяснения наблюдаемых зависимостей квантовых выходов от полярности растворителей были проведены квантово-химические расчеты структуры псораленов и их возбужденных состояний [63‒68]. Основные каналы дезактивации возбужденного синглетного состояния, безызлучательная внутренняя конверсия (ВК) S1 → S0 и ИКК Sn → Tm обсуждаются в литературе [64]. Показано, что образование комплексов между псораленами и молекулой метанола изменяет характер возбужденных синглетных и триплетных состояний и их положение.
Квантово-химическое исследование возбужденных состояний псораленов, в котором были вычислены константы скорости ИКК псоралена с использованием прямого и вибронного спин-орбитального (СО) взаимодействия показали, что включение вибронного СО взаимодействия в расчеты позволяет учесть влияние растворителя [66, 67]. Действительно, рассчитанные только для прямого СО взаимодействия, константы скорости имеют значения kикк = 1010 c-1 в результате перехода S2(n → π*) → T1(π → π*), тогда как скорость перехода S1(π → π*) → T1(π → π*) не превышает значений kикк = 105 c-1. После включения вибронного СО взаимодействие для перехода S1(π → π*) → T1(π → π*) были получены константы скорости kикк = 3 × 108 c-1, при этом безызлучательный переход из S1(π → π*) состояния в почти вырожденное T3(π → π*) является менее эффективным (kикк = 107 c-1). Основываясь на вычисленных скоростях ИКК и изменениях возбужденного состояния в различных растворителях, было предположено, что экспериментально наблюдаемый высокий квантовый выход триплетного состояния псоралена в полярной протонной среде обусловлен в первую очередь благодаря S1(π → π*) → → T1(π → π*) переходу. Авторы [66, 67] делают вывод, что ИКК для гетероароматических систем (π → π*)/(π → π*), осуществляемая путем прямого и вибронного спин-орбитального взаимодействия, является общим механизмом заселения триплетного состояния.
Интеркаляция псораленов между соседними парами оснований ДНК с образованием нековалентно-связанных комплексов является первым и важным шагом, обеспечивающим их дальнейшую активность под действием облучения [19, 69‒74]. Известно, что реакция [2+2]-фотоциклоприсоединения очень чувствительна к взаимному расположению исходных алкенов [75]. Поэтому эти реакции часто проводят в твердой фазе [76] или в полости самоорганизованных структур [77]. В этих случаях образующаяся syn-структура продукта определяется упаковкой в кристалле или в системе хозяин‒гость. В разбавленном растворе эти реакции проходят с меньшим выходом и с большим разнообразием образующихся структур.
Результаты расчетов методом молекулярной механики комплексов 3-CPs, 5-MOP, 8-MOP, 7-метилпиридо[3,4-c]псоралена (MepyPs) и 7-метилпиридо[4,3-c]псоралена (2N-MePyPs) с двухцепочечным дуодекануклеотидом d(CGCGATATCGCG)2 показало, что при интеркаляции плоскость псораленов перпендикулярна оси геликса, при этом различные заместители действуют специфично, выталкивая часть молекулы или к малой или к большой бороздке [69]. Поэтому интеркаляция несимметрична по отношению к двум цепям ДНК, и на основании относительного положения псоралена и соседнего тимина было сделано предположение, что в случае 3-CPs, MePyPs и 2N-MePyPs будут образовываться МА по фурановому циклу (ФМА), в случае 5-MOP предпочтительно образование МА по пироновому циклу (ПМА) и оба типа МА могут образовываться в случае 8-MOP (схема 2). Следует отметить, что эти теоретические предположения хорошо коррелируют с экспериментальными данными [33].
Схема 2.
Молекулярный докинг комплексов модельных ДНК ((d(CCTTGCTACCTT)2 и d(TATATATATATA)2) и псоралена, в котором лиганд выступал или как интеркалятор, или связывался с малой бороздкой ДНК показал, что наиболее выгодным является интеркаляция в 5′-TpA сайт в AT окружении (poly-TA ДНК) [74]. В случае нелинейного аллопсоралена наиболее выгодным оказалось связывание с малой бороздкой ДНК, при этом интеркаляция также происходит в 5′-TpA сайт в AT окружении [73]. Оценки константы диссоциации нековалентного комплекса между молекулами псораленов и ДНК, зависят от строения псоралена, ДНК, ионной силы раствора и находятся в диапазоне 10‒3‒10‒4 М [33]. Недавно на большой выборке линейных псораленов было показано, что положительно заряженные заместители в положении 8 повышают эффективность псораленов благодаря более сильному взаимодействию с полианионной структурой ДНК [31].
Между интеркалированной молекулой ФС и основанием ДНК после фотовозбуждения могут происходить реакции нескольких типов [13, 20, 58, 61], самой важной из которых считается прямое фотосвязывание с образованием МА и ДА (схема 2). Реакция [2+2]-фотоциклоприсоединения происходит между фотовозбужденной молекулой псоралена и пиримидиновым основанием ДНК, тимином. Это обусловлено тем, что именно для тимина при фотовозбуждении характерно образование циклобутановых димеров [7, 78‒80]. Образование циклобутановых димеров и протекание реакции [2+2]-фотоциклоприсоединения возможно только для пиримидиновых оснований ДНК и не происходит в случае пуриновых оснований из-за отсутствия у них двойной С=С связи.
Фотоциклоприсоединение псораленов к тиминовым основаниям ДНК происходит в две стадии: после поглощения света в результате взаимодействия триплета псоралена с тиминовым основанием ДНК сначала образуется МА, который после поглощения второго кванта света и образования триплетного состояния взаимодействует с другим тиминовым основанием с образованием ДА. Такой процесс становится возможным, поскольку псоралены имеют две двойные связи, в фурановом и пироновом циклах, способные после фотовозбуждения образовывать продукты фотоциклоприсоединения с двойной связью тиминового основания. При этом первоначально могут образовываться как ФМА, так и ПМА. Моноаддукты были идентифицированы и охарактеризованы [79‒82], а затем были изолированы ДА, образовавшиеся в реакции трех псораленов (8-МОР, 4,5′,8-ТМР и 4′-(гидроксиметил)-4,5′,8-триметилпсорален (НМР)) с ДНК в результате последовательного импульсного фотовозбуждения выделенных МА [20]. Было показано, что при первоначальном фотовозбуждении 8-МОР ФМА образуется в концентрации, превышающей концентрации ПМА в 5 раз. Однако при облучении моноаддуктов УФ-А светом концентрация ФМА убывает, а ПМА остается практически постоянной, т.е. в диаддукт превращается в основном ФМА. Неспособность аддукта 8-MOP к тимину по пироновому циклу (ПМА) к дальнейшему превращению в диаддукт было позже объяснено увеличением его энергии возбуждения в S1 состояние по сравнению с исходным фотосенсибилизатором, что предотвращает последующую реакцию, инициируемую УФ-А [80‒82].
На основании анализа структуры моно- и диаддуктов псораленов с ДНК после их ферментативного гидролиза, методом ЯМР было показано, что МА и ДА имеют структуру, в которой псорален и основания ДНК располагаются в цис-syn конфигурации по отношению к циклобутановому кольцу [20, 83]. Интересно отметить, что ДА, образовавшиеся при облучении УФ-А, подвергаются фоторазложению и превращаются в исходные соединения при облучении УФ-С светом с λ = 254 нм [20]. Реакции, протекающие при облучении псораленов в присутствии пиримидиновых оснований, представлены на схеме 3.
Схема 3.
Исследование образования триплетных состояний 4′,5′-фотомоноаддуктов 3-CPs и 8-MOP с тимидином и уридином показало, что квантовый выход триплета для МА 3-CPs много выше, чем для 8-MOP. Тем не менее, ДА образуется из МА 8-MOP и не образуется из МА 3-CPs, что объясняется стерическими затруднениями, вызванными карбэтоксигруппой в положении 3 пиронового гетероцикла.
Несмотря на широкое применение ПУВА-терапии и описание продуктов взаимодействия фурокумаринов с тиминовыми основаниями, детальный механизм этого взаимодействия до сих пор активно дискутируется [19, 33]. Теоретически механизм взаимодействия псоралена с тимином и пути образования ФМА и ПМА из возбужденных синглетных и триплетных состояний псоралена и тимина впервые был исследован в [84]. При этом авторы полагают, что ФМА может образовываться как из возбужденного триплетного состояния, так и из возбужденного синглетного состояния, а ПМА только из триплетного состояния. Расчеты были проведены для молекулы тимина, однако авторы считают, что в реальной системе с псораленом, интеркалированным в ДНК, большую роль может играть взаимное расположение псоралена и тиминового основания. Также отмечается, что заместители в пироновом кольце препятствуют образованию диаддуктов, что было позже показано экспериментально [33]. Рассчитанные в [84] структуры моноаддуктов имеют транс-конфигурацию, что не совпадает с экспериментально установленной цис-syn-структурой [20, 83]. По-видимому, это объясняется стерическими затруднениями при образовании продуктов в реальных молекулах двунитевой ДНК, в то время как расчет проводили для индивидуальной молекулы тимина без рибозного остатка.
В последние годы с использованием современных спектральных и время-разрешенных методов был исследован детальный механизм образования аддуктов псораленов с тиминовыми основаниями ДНК для 4′-аминометил-4,5′,8-триметилпсоралена (AMT) [19] и для используемых в ПУВА-терапии 8-MOP, 4,5′,8-TMP и 5-MOP [33]. Были обсуждены различия в образовании циклобутановых димеров (ЦБД) между соседними тиминовыми основаниями ДНК при фотоповреждениии и при взаимодействии триплетов AMT с теми же тиминовыми основаниями. В первом случае образование ЦБД происходит только при фотооблучении светом УФ-С диапазона [85‒87]. Методом фемтосекундной спектроскопии с УФ накачкой и ИК регистрацией было показано, что образование ЦБД между двумя тиминовыми основаниями происходит в течение нескольких сот фс через возбужденное синглетное состояние [87]. Это означает, что циклобутановый димер образуется по согласованному механизму Вудворда‒Гофмана [1, 2]. Исследование димеризации тиминовых оснований через триплетное состояние затруднено в связи с очень низким квантовым выходом триплетного состояния при прямом фотовозбуждении. Эксперименты с прямым и сенсибилизированным возбуждением показывают, что квантовый выход димеризации из триплетного состояния низок (< 0.1) [87].
Важное отличие образования фотоаддуктов в случае псораленов заключается в том, что оно происходит под действием УФ-А облучения и в реакции принимают участие триплеты псораленов. Метод наносекундной спектроскопии с УФ накачкой и ИК регистрацией и квантово-химические расчеты позволили охарактеризовать фотоиндуцированное присоединение AMT к тимину (T) (схема 4) [19]. Было однозначно показано, что присоединение происходит через триплетный канал в микросекундном временном диапазоне и включает в себя интермедиат, который авторы относят к бирадикалу 3(AMT•‒T•). На основании квантово-химических расчетов предполагается, что этот бирадикал является результатом образования одинарной связи между положением 5′ фуранового цикла AMT в триплетном состоянии и положением 6 тимина [81]. DFT расчеты показывают, что триплетный бирадикал не распадается на исходные AMT и тимин из-за высокого барьера в 83.7 кДж/моль. Это означает, что большинство бирадикалов превращаются в фотоаддукт (AMT=T) путем замыкания цикла.
Схема 4.
Методами стационарной УФ и ИК спектроскопии и наносекундного фотолиза на примере применяемых на практике 8-MOP, 4,5′,8-TMP и 5-MOP с использованием синтетической двухцепочечной ДНК, включающей только адениновые (А) и тиминовые (Т) основания (АТ-ДНК), было показано, что фотоциклоприсоединение 8-MOP и 4,5′,8-TMP к АТ-ДНК происходит аналогично фотоприсоединению AMT и включает триплетное состояние и бирадикальный интермедиат [33]. Что касается 5-MOP, то в этом случае подтверждено, что образование моноаддукта по пироновому кольцу предпочтительно.
Таким образом, экспериментальные исследования и квантово-химические расчеты однозначно показали, что реакция фотоциклоприсоединения между молекулами псораленов и тиминовыми основаниями ДНК происходит из возбужденного триплетного состояния псоралена, а направление присоединения и возможность образования ДА зависит от исходной структуры псоралена. Интересно отметить, что для наиболее широко применяемого в лечебной практике 8-MOP зафиксировано эффективное образование ДА.
Экспериментально установлено, что под действием света псоралены образуют циклобутановые аддукты не только с ДНК, но и с другими биомакромолекулами с двойными связями: белками, аминокислотами, ненасыщенными жирными кислотами и фосфолипидами [88‒97]. По аналогии с диаддуктами с тиминовыми основаниями ДНК возможно образование кросс-сшивок между молекулами ДНК и белками (DPC) [94]. Способность некоторых линейных и ангулярных фурокумаринов образовывать DPC под действием УФA облучения была показана на клетках яичника китайского хомяка. Линейные фурокумарины, псорален и 8-МОР, образуют такие сшивки в большом количестве, в то время как 4›-метилангелицин и 4,4′-диметилангелицин образуют только небольшое их количество, а ангелицин и 4,6,4′-триметилангелицин неспособны вызывать повреждения. Авторы [94] считают, что способность образовывать DPC является свойством фототоксических фурокумаринов и вызывает поражения кожи в виде эритемы.
Взаимодействие триплетов псораленов с липидами нарушает ключевые клеточные функции такие, как организация и целостность мембран. Было показано, что 20% лимфоидных клеток, инкубированных с 8-MOP, погибают в течение секунды после облучения УФ-А из-за повреждения мембраны [96]. Более того, эксперименты in vivo на крысах альбиносах Wistar, обработанных 8-MOP, показали, что после облучения около 26% обнаруженных фотоаддуктов являются фотоаддуктами ненасыщенных липидов мембран, а 57% фотоаддуктами с белками, это выше, чем наблюдаемое количество фотоаддуктов для ДНК/РНК (17%) [97].
Другой тип реакций включает в себя реакции фотовозбужденных молекул фурокумаринов с кислородом с последующей генерацией синглетного кислорода и АФК, которые ответственны за повреждение клеточных мембран. Этот механизм известен как фотодинамическая терапия и считается, что он играет незначительную роль в ПУВА-терапии [61, 81]. Существует консенсус, что в фотоиндуцированных реакциях образования аддуктов с ДНК и в реакциях с кислородом псоралены принимают участие в триплетном электронно-возбужденном состоянии. На примере ряда фурокумаринов было показано, что синглетный кислород образуется при облучении УФ-А светом кислородсодержащих растворов 8-MOP, 5-MOP, 4,5′,8-TMP, 5,8-диметоксипсоралена (5,8-MOP), 3-CPs и других, при этом образования синглетного кислорода не было зарегистрировано для ангелицина [61]. В бензольных растворах не было зарегистрировано образования супероксид радикала. Квантовые выходы синглетного кислорода в водных растворах фурокумаринов невелики и составляют: 0.18 (псорален), 0.013 (5-MOP) и 0.035 (8-MOP). Наблюдается уменьшение квантовых выходов синглетного кислорода для замещенных псораленов по сравнению с незамещенным. Было зарегистрировано образование значительного количества синглетного кислорода для нековалентных комплексов 8-MOP с бычьим ДНК и для ковалентных аддуктов. Введение 8-MOP в липосомы яичного фосфатидилхолина приводит к перекисному окислению липидов [98]. Теоретически методом TD-DFT с включением континуальной модели для учета влияния растворителя были исследованы фототоксические реакции возбужденных фурокумаринов с молекулярным кислородом [74]. Было сделано заключение, что фурокумарины действительно вступают в реакции с молекулярным кислородом и способны генерировать как синглетный кислород, так и супероксид радикал. Однако при определенных условиях супероксид радикал может восстанавливать триплет псоралена, предотвращая таким образом образование АФК.
В литературе рассматривается возможность образования катион- и анион-радикалов в результате переноса электрона от возбужденной молекулы псоралена на основание ДНК или с гуанозинового основания ДНК на псорален, а также аутоионизация за счет переноса электрона между двумя молекулами псоралена [63, 65, 74, 75]. Что касается реакций переноса электрона в псораленах при фотовозбуждении, то при тушении триплетного состояния 4′,5′-дигидропсоралена аминокислотой триптофаном образуются анион-радикал псоралена и катион-радикал триптофана, т.е. происходит перенос электрона от триптофана на триплет 4′,5′-дигидропсоралена.
Методом фемтосекундной лазерной спектроскопии было показано, что эффективный фотоиндуцированный перенос электрона с образованием анион-радикала происходит в АМТ, интеркалированном в ДНК [63]. Поскольку это противоречит общепринятому механизму образования аддуктов с тиминовыми основаниями ДНК, то этот процесс был детально исследован с использованием синтезированных модельных ДНК. На примере взаимодействия АМТ с короткими синтетическими ДНК дуплексами, включающими или только GC основания, или только AT основания было однозначно показано, что в случае AT ДНК образуются аддукты с участием триплетов АМТ, а в случае GC ДНК основания гуанина эффективно восстанавливают АМТ. Этот процесс происходит в возбужденном синглетном состоянии АМТ, что приводит к уменьшению времени жизни возбужденных синглетов более чем на два порядка, и триплеты практически не образуются [65]. Гибель анион-радикала происходит в реакции рекомбинации с катион-радикалом гуанина. Время жизни образующегося анион-радикала АМТ составляет ~ 10 мкс. Поскольку использование псораленов в медицинских целях предполагает образование аддуктов с ДНК, а ДНК в живых организмах содержит все типы оснований, то при исследовании взаимодействия псораленов с ДНК квантовые выходы образования аддуктов существенно ниже, чем в модельных системах. Авторы предполагают, что повысить выход аддуктов и подавить нежелательный фотоиндуцированный перенос электрона можно с помощью дизайна псораленов, активных к образованию аддуктов.
Известно, что G-квадруплексы ДНК являются целями для противораковых препаратов и их взаимодействие с малыми молекулами становится важной областью исследований. Калориметрическими и спектроскопическими методами были исследованы последствия взаимодействия АМТ с 22-мерной теломерной последовательностью AGGG(TTAGGG)3, образующей G-квадруплексы [99]. Установлено, что при фотовозбуждении образуется ион-радикальная пара (AMT•-G•+) с временем жизни 30 пс. Авторы полагают, что псоралены могут рассматриваться как перспективный класс соединений для развития противораковой терапии.
Экспериментально зарегистрировано образование катион-радикалов 5-МОР, 8-МОР и 4,5′,8-TMP при прямом фотовозбуждении (λвозб = 355 нм) в водных или ацетонитрильных растворах, насыщенных кислородом, с квантовыми выходами, не превышающими 0.02 [72, 100, 101]. Фотоионизация происходит в результате однофотонного процесса из возбужденного синглетного состояния. Катион-радикалы 8-МОР взаимодействуют с гуанозин монофосфатом (GMP) c константой скорости, близкой к диффузионной, при этом константа скорости с аденозин монофосфатом ниже на 2 порядка, а реакция с пиримидиновыми основаниями происходит еще медленней [72]. Образовавшийся катион-радикал GMP•+ депротонируется с образованием радикала GMP•.
По аналогичной схеме катион-радикал 8-МОР взаимодействует с легкоокисляющимися аминокислотами (триптофаном и тирозином) и диенами. Таким образом, в результате взаимодействия катион-радикалов псораленов с GMP, аминокислотами и диенами в реакции одноэлектронного окисления субстрата восстанавливается исходный псорален и образуется окисленный нуклеотид, аминокислота или компонент мембраны соответственно. Это отличает эти реакции от образования циклоаддуктов с тиминовыми основаниями, в которых происходит необратимое связывание псораленов и соответственно их расходование [72].
Была предложена модель оценки количественного соотношения структура‒реакционная способность (QSPR) и прогноза эффективности образования и реакций триплетного состояния фурокумаринов [102]. Модель была опробована на 26 фурокумаринах, включая псоралены и ангелицины. Была оценена возможность образования триплетов, активных форм кислорода и катион- и анион-радикалов с участием триплетов. Расчеты показали, что образование катион- и анион-радикалов в реакции аутоионизации маловероятно, но возможно в реакции переноса электрона между двумя триплетами.
СОВРЕМЕННЫЕ НАПРАВЛЕНИЯ ПОИСКА НОВЫХ ФОТОСЕНСИБИЛИЗАТОРОВ ДЛЯ ПУВА-ТЕРАПИИ
Фотосенсибилизаторы на основе псораленов
Более 20 лет назад появился обзор научных исследований и медицинских данных, полученных за 50 лет активного применения ПУВА-терапии [10]. В этом обзоре отмечались как достижения метода, так и побочные явления, которые были выявлены на основании медицинской статистики. Эта публикация инициировала поиск новых препаратов для ПУВА-терапии, которые сохраняли бы положительные свойства псораленов: образование нековалентных связей с ДНК, фотоиндуцированное присоединение к тиминовым основаниям ДНК с образованием моноаддуктов, но при этом были бы лишены их отрицательных качеств – образование кросс-сшивок между молекулами ДНК в дуплексе за счет диаддуктов. Интересно отметить, что один из авторов обзора [10] Ф.П. Гаспарро (F.P. Gasparro) все прошедшие годы продолжал исследования соединений на основе псораленов для ПУВА-терапии. Недавно появилась большая статья возглавляемого им коллектива авторов, в которой проводится сравнительное исследование 73 новых соединений на основе линейных псораленов с различными заместителями [31]. В этой работе сопоставляются такие свойства псораленов, как их способность к интеркаляции в структуру ДНК, их токсичность и фотоцитотоксичность. При скрининге способности индуцировать смерть клеток были выявлены два производных из 73 (6E и 1F, схема 5), которые более фотоцитотоксичны, чем AMT, один из наиболее перспективных псораленов на сегодняшний день. Была установлена корреляция между повышенным нековалентным связыванием с ДНК и фотоцитотоксичностью. Наиболее активные производные содержат положительно заряженные заместители, которые увеличивают интеркаляцию псораленов.
Схема 5.
В похожем направлении работают авторы исследования, которые с целью увеличения растворимости и способности к интеркаляции в ДНК ввели в 8-МОР положительно заряженные заместители в положение 5 (схема 6) [29]. Действительно, синтезированные соединения обладают повышенной растворимостью (>1 мM) по сравнению с 8-МОР (0.2 мМ) [33], а константа диссоциации комплексов с ДНК уменьшается с 1.1 × 10‒3 М для 8-МОР до величины 9.2 × 10‒6 М для TMAPEM+.
Схема 6.
Однако оценки показали, что эти соединения в возбужденном синглетном состоянии могут достаточно эффективно взаимодействовать с гуанозином в реакции переноса электрона, при этом экспериментально установлено, что эффективность их реакции с тиминовыми основаниями модельной АТ-ДНК низка. Авторы связывают этот факт с тем, что несмотря на низкую константу диссоциации нековалентного комплекса с ДНК объемный заместитель в положении 5 увеличивает расстояние между фурановым фрагментом молекулы псоралена и тиминовым основанием ДНК и таким образом существенно замедляет образование ФМА [29].
В качестве потенциальных препаратов для ПУВА-терапии были синтезированы и исследованы тетрациклические псоралены с циклопентановым, циклогексановым и бензольным циклами, присоединенным или к 4′,5′, или 3,4 фотоактивным двойным связям фурокумаринов (схема 7) [103, 104]. Исследования на двух линиях клеток (HeLa и HL-60) показало их большую антипролиферативную активность, чем 8-MOP. Кожная фототоксичность на морских свинках была ниже, а также была показана способность образовывать МА с ДНК и отсутствие ДА.
Схема 7.
Другое направление поиска новых более эффективных и менее токсичных препаратов для ПУВА-терапии и фотоферезиса заключается в синтезе ангулярных псораленов на основе ангелицина и аллопсоралена [105, 106].
Фурохинолиноны
Были синтезированы и исследованы ангелициновые биоизостеры, а именно фурохинолиноны [107‒109]. Среди них 1,4,6,8-тетраметилфуро[2, 3-h]хинолин-2(1H)-он (FQ) [108] и 4,6,9-триметилфуро[2, 3-h]хинолин-2(1H)-он (HFQ) [109] являются наиболее перспективными соединениями (схема 8).
Схема 8.
По способности участвовать в реакции [2+2]-фотоциклоприсоединения хинолиноны даже более активны, чем фурокумарины [110]. Синтезированные FQ и HFQ характеризуются очень сильной фотосенсибилизирующей активностью. Однако FQ демонстрирует явную кожную фототоксичность и кластогенную активность, но эти местные эффекты уменьшены или отсутствуют у HFQ. Оба соединения образуют большое количество МА и DPC, без образования ДА. Вместе с тем оказалось, что образование и структура сшивок ДНК‒белок отличается для этих двух соединений. DPC в случае FQ является настоящим бифункциональным аддуктом, в котором молекула FQ ковалентно связана между ДНК и белком [109]. Похожие на ДА, эти DPC образуются в двустадийной реакции, сначала формируются ФМА по фурановому циклу между FQ и пиримидиновым основанием ДНК, а затем взаимодействие с протеином приводит к DPC. Используя хорошо известную технику двойного облучения FQ, наблюдали, что DPC является причиной его очень высокой кластогенной активности.
Отличие HFQ, индуцирующего DPC без соучастия в реакции, доказывает, что образование МА с HFQ идет без превращения в ДА. Этот пример, в котором ДНК и протеин напрямую взаимодействуют друг с другом, имеет сходство с DPC, вызванного УФ-C. Разная природа DPC, возможно, является одной из причин различия токсических свойств этих двух фурохинолинонов. Отсутствие кожной фототоксичности в случае HFQ может быть также вызвано возможной антиоксидантной активностью этого соединения, связанной с наличием группы NH в его структуре. Однако авторы исследования не рассматривали такую возможность. Исследования на фотоцитотоксичность фурохинолинонов показало, что HFQ обладает большей активностью, чем 8-MOP и не обладает мутагенной активностью. С учетом всех этих свойств, HFQ может быть потенциальным препаратом для фотохимиотерапии и фотоферезиса.
С целью получения новых фототерапевтических препаратов с повышенной антипролиферативной активностью и более низкой нежелательной токсичностью были синтезированы пирроло[2, 3-h]хинолин-2-оны, азотные изостеры ангулярного фурокумарина ангелицина [111].
Синтезированные пирролохинолиноны продемонстрировали высокую фототоксичность и зависимость от УФ-А дозы, достигающей значений IC50 на субмикромолярном уровне. Методом флуоресцентной микроскопии было показано, что эти соединения локализуются в основном в лизосомах. Особенностью этих соединений оказалось, что они практически не образуют комплексов с ДНК и не индуцируют фотоповреждений этих молекул, но индуцируют существенные фотоповреждения молекул липидов и белков [111].
Фуродигидрохинолины — перспективные фотосенсибилизаторы для ПУВА-терапии
Дигидрохинолины (ДГХ) давно известны и широко применяются как эффективные нетоксичные антиоксиданты ненасыщенных соединений и полимеров [112]. Длинноволновая полоса поглощения ДГХ находится в УФ-А диапазоне, однако эти соединения имеют низкие квантовые выходы триплетного электронно-возбужденного состояния [113]. Было предположено, что введение фуранового цикла в структуру гидрированных хинолинов увеличит квантовый выход триплетов и по аналогии с фурохинолинонами фуропроизводные ДГХ (ФДГХ) могут быть исследованы в качестве возможных препаратов для фотохимиотерапии. Была синтезирована серия фуропроизводных ДГХ с различным положением фуранового цикла и заместителями в ароматическом кольце (ФДГХ, 1a, 1b, 2a‒2e, 3), тиенилпроизводное ДГХ (ТДГХ 4) и два фуропроизводных тетрагидрохинолина (ФТГХ, 5, 6) (схема 9) [114‒117]. В отличие от линейных псораленов, применяемых в ПУВА-терапии, все синтезированные соединения являются ангулярными.
Схема 9.
Спектры поглощения соединений 1a, 2‒4 на основе ДГХ близки между собой и имеют три основных полосы поглощения, при этом длинноволновая полоса поглощения расположена в УФ-А-области и близка к полосе поглощения ДГХ: около 360 нм для соединений с пятичленным циклом в положении 5,6-ароматического кольца (1, 4) и около 340 нм для соединений с пятичленным циклом в положении 7,8-ароматического кольца (2, 3) (табл. 1) [117‒119]. Спектр поглощения 1b, содержащего нитрогруппу, имеет длинноволновую n-π* полосу поглощения в видимой области с λмакс = 469 нм, характерную для нитроароматических соединений, а также две полосы в УФ-области (табл. 1). Таким образом, дигидрохинолиновые производные за исключением 1b имеют длинноволновую полосу поглощения в УФ-А области спектра и более слабое поглощение в УФ-B области, чем псоралены (рис. 2). С точки зрения использования этих соединений в фотохимиотерапии это является положительным моментом, поскольку минимизирует отрицательное воздействие света УФ-B диапазона. Таким образом, эти соединения по своим спектральным характеристикам соответствуют требованиям, предъявляемым к соединениям для ПУВА-терапии.
Таблица 1. Максимумы поглощения (λмакс), коэффициенты экстинкции (ε), максимумы флуоресценции (λфл) и времена жизни флуоресценции (τфл) растворов 1–6 в этаноле [116, 118‒120]
Вещество | λмакс, нм (ε, М-1 см-1) | λфл, нм | φфл | τфл, нс |
1a | 213 (22 400) 260 (14 140) 362 (3 160) | 438 | 0.27 | 6.3 |
1b | 222 (24 000) 356 (6 370) 469 (3 440) | |||
2a | 226 (пл) (20 300) 248 (29 200) 288 (4 250) 341 (3 100) | 417 | 0.18 | 5.0 |
2b | 226 (пл) (19 800) 247 (29 200) 289 (4 260) 343 (3 000) | 419 | 0.10 | 5.0 |
2c | 226 (пл) (22 100) 247 (32 400) 289 (4 670) 343 (3 310) | 418 | 0.22 | 3.9 |
2d | 226 (пл) (20 500) 250 (32 500) 290 (4 230) 344 (3 530) | 419 | 0.46 | 8.3 |
2e | 226 (пл) (20 400) 250 (32 300) 290 (4 220) 344 (3 500) | 419 | 0.10 | 8.1 |
3 | 235(пл) (11 100) 259 (19 300) 306 (3 770) 344 (пл) (1 510) | 414 | 0.04 | 2.1 |
4 | 229 (16 500) 275 (1 170) 368 (2 500) | 436 | 0.20 | – |
5 | 220 (21 760) 315 (2 430) | 380 | 0.18 | – |
6 | 225 (26 240) 262 (8 120) 295 (2 180) | 411 | 0.12 | – |
Рис. 2. Нормированные по коротковолновой полосе спектры поглощения 1a (1), 2a (2) и 8-МОР (3).
Длинноволновая полоса поглощения ФТГХ 5 и 6 сдвинута в область УФ-B (табл. 1) аналогично исходным тетрагидрохинолинам, что делает их использование в качестве препаратов для фотохимиотерапии проблематичным. Все синтезированные производные гидрированных хинолинов 1‒6 за исключением нитропроизводного 1b флуоресцируют с относительно высокими квантовыми выходами (табл. 1) [116, 118‒120].
Методами лампового и лазерного импульсного фотолиза вакуумированных растворов соединений 1a, 2a, 2b и 5 с возбуждением длинноволновой полосы поглощения во всех растворителях было зарегистрировано образование триплетного возбужденного состояния со спектром поглощения с λmax = = 600–700 нм и временем жизни ~200 мкс [119, 121]. Максимальный выход интермедиата наблюдали в МеОН и минимальный в гексане [121]. Оценка бимолекулярной константы скорости взаимодействия триплетного состояния 1a и 2a с кислородом близка к диффузионной (~ 2.5 × 109 л мол–1 с–1). Эксперименты по переносу триплетной энергии с донора (тетранатриевая соль сульфобенз(а)пирена (SBP)) на соединение 1a и с 1a на акцептор триплетной энергии цианиновый краситель 3,3′-диэтил-2,2′-тиакарбоцианин йодид позволили оценить энергию триплетного состояния 1а (14700 < E T < 19000 см‒1) [119].
На основании экспериментальных данных по стационарному фотолизу ФДГХ в отсутствие кислорода был предложен механизм фотолиза в протонных растворителях, который на схеме 10 представлен для соединения 2a [120]. При фотовозбуждении в протонных растворителях в нерелаксированном возбужденном состоянии S1FC наряду с колебательной релаксацией в состояние S1 происходит перенос протона через растворитель от группы NH к атому С3 дигидрохинолинового цикла с последующим образованием карбкатиона и продукта присоединения ROH, как это происходит в случае ДГХ (схема 10, последовательность реакций (II) [113]). В атмосфере аргона происходит образование аминильных радикалов из триплетного состояния T1, образовавшегося в результате ИКК с последующей их димеризацией (схема 10, реакции (I), (III), (IV)). В ацетонитриле и гексане в атмосфере аргона фотолиз происходит с образованием только димерных продуктов из аминильных радикалов (схема 10, реакция (IV)). Предположения по направлениям протекания фотохимических процессов в соответствии с процессами, указанными на схеме 10, были подтверждены экспериментально анализом продуктов стационарного фотолиза 1a методами ВЭЖХ и масс-спектрометрии [119, 122].
Схема 10.
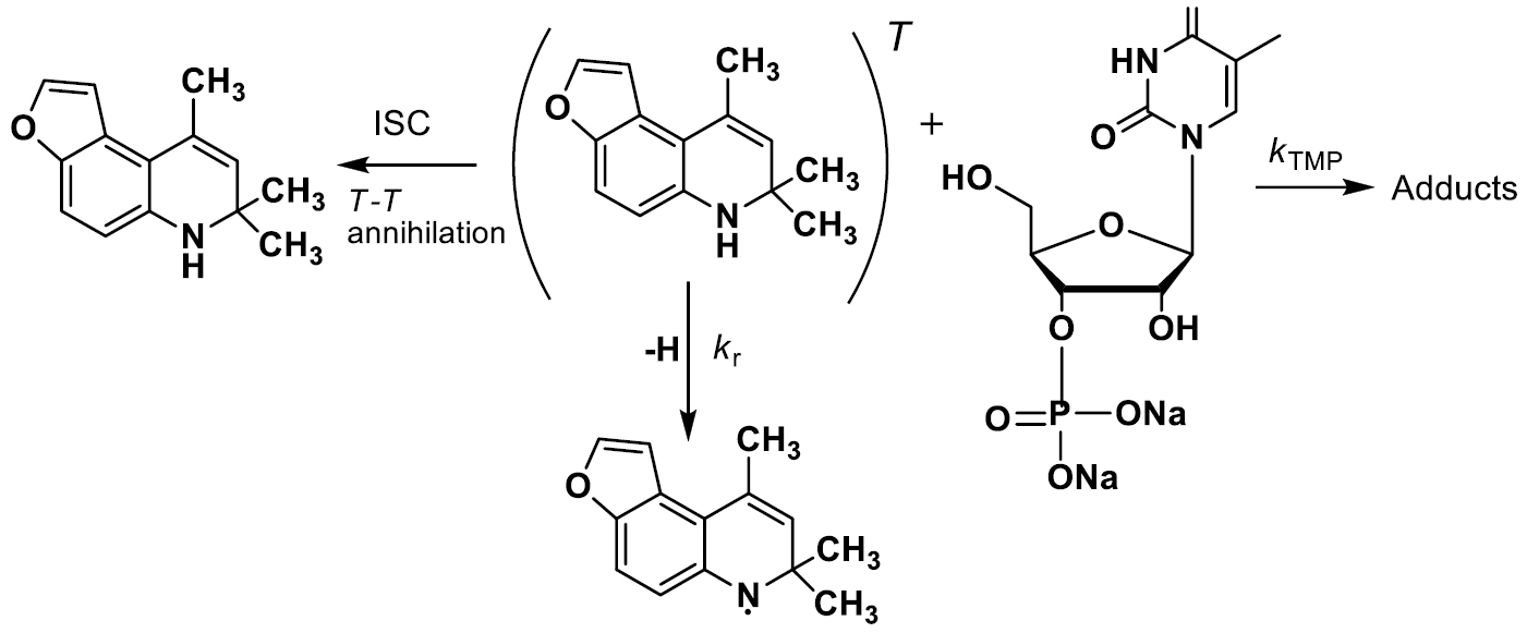
Триплетные состояния ФДГХ активно взаимодействуют с тиминовыми основаниями ДНК. Методом лазерного импульсного фотолиза показано, что добавление тимидин 5′-монофосфата (TMP) в обескислороженные растворы ФДГХ 1a и 2a приводит к ускорению гибели триплетного состояния ФДГХ (рис. 3) [122]. Значение бимолекулярной константы скорости взаимодействия ТФДГХ с TMP составляет 1.9 × 109 и 2.0 × 109 л моль–1 с–1 для 1a и 2a соответственно, т.е. ТМР тушит триплетное состояние 1a и 2a с константой скорости, близкой к диффузионной.
Рис. 3. Гибель триплетного поглощения в ФДГХ 2a (H2O–EtOH (4 : 1 по объему), λвозб = 353 нм, λрег = = 620 нм) в отсутствие (1), и в присутствии TMP, мМ: (2) 1.7 (3) 3.4, (4) 6.7 и (5) 13; вставка: зависимость константы скорости первого порядка тушения триплетного состояния от концентрации TMP [122].
Анализ продуктов стационарного фотолиза смеси 1a + TMP в отсутствие кислорода методом масс-спектрометрии показал, что в фотолизате наряду с продуктами фотолиза 1a в воде: гидрокси-производным фуротетрагидрохинолина (ФТГХ) (MH+ 230 Да) и димера 1a (MH+ 425 Да), присутствуют пики с MH+ 580, 558 и 536 Да. На хроматограмме фотолизата, кроме пиков исходных веществ и продуктов его фотолиза в воде, появляются 4 новых продукта, которые были выделены методом препаративной ВЭЖХ. Масс-спектры всех четырех продуктов характеризуются молекулярной массой (MH+ 580 Да), соответствующей сумме масс 1a и TMP (M 213 + 366 Да). Ион с MH+ 536 Да, в котором Na+ полностью замещен на H+, является основным. Его фрагментация дает основной ион с MH+ 340 Да, который равен сумме масс 1a и тимина (М 213 + + 126 Да), т.е. соответствует отщеплению рибозного остатка от аддукта 1a + TMP. Отсутствие при фрагментации ионов с массами, относящимися к 1a и TMP, указывает на прочность связи между ФДГХ и тимином в аддукте. Таким образом в процессе взаимодействия между триплетом 1a и TMP происходит образование циклобутанового кольца между двойной связью 1a и двойной связью С(5)=С(6) TMP. В масс-спектре фотолизата отсутствуют молекулярные ионы ДА (1a + 2TMP) с массами MH+ 946, 924 и 902 Да [122].
Высокая скорость взаимодействия триплета 1a с молекулами TMP приводит к тому, что образование аддуктов успешно конкурирует с T–T аннигиляцией и ИКК в основное состояние, а также с процессом образования аминильного радикала и, соответственно, димерного продукта, выход которого уменьшается в присутствии TMP (схема 11).
Схема 11.
Для ФДГХ возможно образование четырех аддуктов: двух по двойной связи фуранового (ФМА-1, ФМА-2) и двух по двойной связи азотсодержащего гетероцикла (ХМА-3, ХМА-4) (схема 12). Были зарегистрированы спектры поглощения изолированных аддуктов двух типов с длинноволновыми максимумами при 370 нм и 340 нм, при этом каждому типу спектра поглощения соответствуют две фракции, выделенные методом ВЭЖХ. Таким образом, образуются аддукты по обеим двойным связям ФДГХ, ФМА с λmax 370 нм и ХМА с λmax 340 нм [119, 122] (схема 12).
Схема 12.
Для использования ФДГХ в качестве потенциальных препаратов в фотохимиотерапии большое значение имеет отсутствие образования ДА под действием света, т.е. последовательного образования аддуктов по двум двойным связям – фуранового и азотсодержащего гетероциклов. Рассмотрение возможных структур ДА показало, что при их образовании существуют серьезные стерические затруднения, что делает практически невозможным их образование за счет кросс-сшивок в молекулах ДНК. Таким образом, при взаимодействии триплетов ФДГХ и тимином образуются только МА с тиминовым основанием ДНК и отсутствуют ДА, которые могут приводить к фотогенотоксичности, как это происходит при использовании линейного псоралена 8-МОР.
По регистрации характерного спектра люминесценции в ближней ИК-области спектра было показано, что взаимодействие триплетного состояния ФДГХ 2b с кислородом приводит к образованию синглетного кислорода в низких концентрациях. Образование синглетного кислорода также может вносить вклад в фототоксическое действии ФДГХ [116].
ДГХ являются эффективными нетоксичными антиоксидантами [112]. На модельной системе инициированного окисления этилбензола показано, что ФДГХ 1a является эффективным антиоксидантом c константой скорости взаимодействия с перекисными радикалами порядка 105 л моль–1 с–1 и стехиометрическим коэффициентом ингибирования около 3 [114]. Способность к взаимодействию с активными радикалами с образованием неактивных продуктов может играть положительную роль при использовании ФДГХ в качестве препаратов для ПУВА-терапии, уменьшая воспалительные процессы, возникающие при воздействии света.
Токсичность исследуемых соединений 1a, 1b, 2a, 4‒6 была определена на клетках рака молочной железы MCF-7 и толстой кишки HCT116 [116, 119]. Все соединения не проявляли темновой токсичности в концентрациях до 50 мкМ при инкубации в течение 72 ч. Гибель клеток наблюдали только при сочетанном действии соединения и облучения. Соединение 1a обладает умеренной фотоцитотоксичностью на клетках рака толстой кишки и сильной фотоцитотоксичностью на клетках рака молочной железы MCF-7. Наиболее ярко фотоцитотоксичность на клетках рака толстой кишки HCT116 по механизму апоптоза проявилась для соединения 2a, для которого через сутки наблюдали гибель более чем 90% клеток. Соединение 1b с нитрогруппой не обладает фотоцитотоксичностью.
К сожалению, сопоставление фотоцитотоксичности соединений 2a‒2e и 3 с 8-MOP на различных линиях клеток проводили при облучении светом УФ-B диапазона (λirr = 302 нм) [117]. При этом наблюдаемая фотоцитотоксичность была ниже, чем у 8-MOP, что объяснимо, поскольку в этой спектральной области поглощение 8-MOP существенно выше, чем исследуемых ФДГХ (рис. 2). Тем не менее, даже в этих условиях фотоцитотоксичность соединения 3 сопоставима с фотоцитотоксичностью 8-MOP.
Таким образом, фуродигидрохинолины представляются перспективными соединениями с точки зрения их дальнейшего исследования в качестве препаратов для фотохимиотерапии.
ЗАКЛЮЧЕНИЕ
В заключении следует еще раз подчеркнуть большую роль возбужденных триплетных состояний сложных органических соединений в химии и биологии. Особые свойства триплетных состояний открывают возможности для их использования в органическом синтезе новых соединений и фотокатализе, а использование в медицине соединений, дающих при фотовозбуждении триплетные состояния с высоким квантовым выходом, является важным направлением поиска, синтеза и исследования новых препаратов для фотодинамической терапии и фотохимиотерапии.
Несмотря на то, что внедрить новое лекарство для фотохимиотерапии пока не удалось в силу таких факторов, как простота получения псораленов из растительного сырья, устоявшиеся технологии производства лекарственных форм, логистика и существующие утвержденные протоколы лечения пациентов с кожными патологиями, следует продолжать поиск более эффективных и менее токсичных соединений по сравнению с псораленами.
ИСТОЧНИК ФИНАНСИРОВАНИЯ
Обзор подготовлен при финансовой поддержке Министерства науки и высшего образования в рамках выполнения работ по Государственному заданию № 122041400114-2 “Кинетика и механизм элементарных стадий сложных фотохимических и фотобиохимических процессов”.
About the authors
В. А. Кузьмин
Институт биохимической физики им. Н.М. Эмануэля РАН
Email: shv85@mail.ru
Russian Federation, ул. Косыгина, д. 4, Москва, 119334
Т. Д. Некипелова
Институт биохимической физики им. Н.М. Эмануэля РАН
Email: shv85@mail.ru
Russian Federation, ул. Косыгина, д. 4, Москва, 119334
Е. Н. Ходот
Институт органической химии им. Н.Д. Зелинского РАН
Email: shv85@mail.ru
Russian Federation, Ленинский просп., д. 47, Москва, 119991
В. В. Шахматов
Институт биохимической физики им. Н.М. Эмануэля РАН
Author for correspondence.
Email: shv85@mail.ru
Russian Federation, ул. Косыгина, д. 4, Москва, 119334
References
- Woodward R.B., Hoffmann R. // Angew. Chem., Int. Ed. 1969. V. 8. № 11. P. 781. https://doi.org/10.1002/anie.196907811
- Seeman J.I. // Chem. Rec. 2022. V. 22. № e202100212. https://doi.org/10.1002/tcr.202100212
- Poplata S., Tröster A., Zou Y.-Q., Bach T. // Chemical Reviews. 2016. V. 116. № 17. P. 9748. https://doi.org/10.1021/acs.chemrev.5b00723
- Yang Q., Váňa J., Klán P. // Photochem. Photobiol. Sci. 2022. V. 21. № 8. P. 1481. https://doi.org/10.1007/s43630-022-00238-8
- Будыка М.Ф., Гавришова Т.Н., Ли В.М., Поташова Н.И., Федулова Ю.А. // Химия высоких энергий. 2022. Т. 56. № 5. С. 317. https://doi.org/10.1134/S0018143922050022
- Bonnett R. Chemical aspects of photodynamic therapy. London: CRC Press, 2000. https://doi.org/10.1201/ 9781482296952
- Baptista M.S., Cadet J., Greer A., Thomas A.H. // Photochem. Photobiol. 2021. V. 97. № 6. P. 1456. https://doi.org/10.1111/php.13470
- Hamblin M.R. // Photochem. Photobiol. 2020. V. 96. № 3. P. 506. https://doi.org/10.1111/php.13190
- Richard E.G. // Dermatol. Clin. 2020. V. 38. № 1. P. 11. https://doi.org/10.1016/j.det.2019.08.002
- Bethea D., Fullmer B., Syed S., Seltzer G., Tiano J., Rischko C., Gillespie L., Brown D., Gasparro F.P. // J. Dermatol. Sci. 1999. V. 19. № 2. P. 78. https://doi.org/10.1016/S0923-1811(98)00064-4
- Monem el Mofty A. // J. Egypt. Med. Assoc. 1948. V. 31. № 8. P. 651. PMID: 18890453
- Sidi E., Bourgeois-Gavardin J. // J. Invest. Dermatol. 1952. V. 18. № 5. P. 391. https://doi.org/10.1038/jid.1952.46
- Kitamura N., Kohtani S., Nakagaki R. // J. Photochem. Photobiol. 2005. V. 6. № 2‒3. P. 168. https://doi.org/ 10.1016/j.jphotochemrev.2005.08.002
- Ren Y., Song X., Tan L., C. Guo, Wang M., Liu H., Cao Z., Li Y., Peng C. // Front. Pharmacol. 2020. V. 11. https://doi.org/10.3389/fphar.2020.571535
- Pathak M.A., Fitzpatrick T.B. // J. Photochem. Photobiol., B. 1992. V. 14. № 1‒2. P. 3. https://doi.org/ 10.1016/1011-1344(92)85080-E
- Michalek I.M., Loring B., John S.M. // J. Eur. Acad. Dermatol. Venereol. 2017. V. 31. № 2. P. 205. https://doi.org/10.1111/jdv.13854
- Musajo L., Rodighiero G., Caporale G. // Chimica e Industria (Milan). 1953. V. 35. P. 13.
- Lerner A.B., Denton C.R., Fitzpatrick T.B. // J. Invest. Dermatol. 1953. V. 20. № 4. P. 299. https://doi.org/ 10.1038/jid.1953.36
- Diekmann J., Gontcharov J., Fröbel S., Ziegenbein C.T., Zinth W., Gilch P. // J. Am. Chem. Soc. 2019. V. 141. № 34. P. 13643. https://doi.org/10.1021/jacs.9b06521
- Kanne D., Straub K., Hearst J.E., Rapoport H. // J. Am. Chem. Soc. 1982. V. 104. № 24. P. 6754. https://doi.org/10.1021/ja00388a046
- Westerhof W., Nieuweboer-Krobotova L. // Arch. Dermatol. 1997. V. 133. № 12. P. 1525. PMID: 9420536
- Stern R.S. // N. Engl. J. Med. 2007. V. 357. № 7. P. 682. https://doi.org /10.1056/NEJMct072317
- Stern R.S., Liebman E.J., Väkevä L. // JNCI, J. Natl. Cancer Inst. 1998. V. 90. № 17. P. 1278. https://doi.org/10.1093/jnci/90.17.1278
- Raquet N., Schrenk D. // Chem. Res. Toxicol. 2009. V. 22. № 9. P. 1639. https://doi.org/10.1021/tx9002287
- Chen X., Kagan J., Miolo G., Dall’Acqua F., Averbeck D., Bisagni E. // J. Photochem. Photobiol., B. 1994. V. 22. № 1. P. 51. https://doi.org/10.1016/1011-1344(93)06953-Z
- Derheimer F.A., Hicks J.K., Paulsen M.T., Canman C.E., Ljungman M. // Mol. Pharmacol. 2009. V. 75. № 3. P. 599. https://doi.org/10.1124/mol.108.051698
- Armstrong A.W., Puig L., Joshi A., Skup M., Williams D., Li J., Betts K.A., Augustin M. // JAMA Dermatol. 2020. V. 156. № 3. P. 258. https://doi.org/10.1001/jamadermatol.2019.4029
- Gordon K.B., Langley R.G., Warren R.B., Okubo Y., Stein Gold L., Merola J.F., Peterson L., Wixted K., Cross N., Deherder D., Thaçi D. // JAMA Dermatol. 2022. V. 158. № 7. P. 735. https://doi.org/10.1001/jamadermatol. 2022.1185
- Bertling J., Thom K.A., Geenen S., Jeuken H., Presser L., Müller T.J.J., Gilch P. // Photochem. Photobiol. 2021. V. 97. № 6. P. 1534. https://doi.org/10.1111/php.13480
- Lerche C.M., Al-Chaer R.N., Glud M., Philipsen P.A., Wulf H.C. // Photochem. Photobiol. Sci. 2021. V. 20. № 10. P. 1299. https://doi.org/10.1007/s43630-021-00105-y
- Buhimschi A.D., Gooden D.M., Jing H., Fels D.R., Hansen K.S., Beyer W.F., Dewhirst M.W., Walder H., Gasparro F.P. // Photochem. Photobiol. 2020. V. 96. № 5. P. 1014. https://doi.org/10.1111/php.13263
- Olsen E.A., Hodak E., Anderson T., Carter J.B., Henderson M., Cooper K., Lim H.W. // J. Am. Acad. Dermatol. 2016. V. 74. № 1. P. 27. https://doi.org/10.1016/j.jaad.2015.09.033
- Diekmann J., Theves I., Thom K.A., Gilch P. // Molecules. 2020. V. 25. № 22. P. 5242. https://doi.org/ 10.3390/molecules25225242
- Hanson C.V., Shen C.-k., Hearst J.E. // Science. 1976. V. 193. № 4247. P. 62. https://doi.org/10.1126/science.935855
- Cech T., Potter D., Pardue M.L. // Biochemistry. 1977. V. 16. № 24. P. 5313. https://doi.org/10.1021/bi00643a024
- Ling T.C., Clayton T.H., Crawley J., Exton L.S., Goulden V., Ibbotson S., McKenna K., Mohd Mustapa M.F., Rhodes L.E., Sarkany R., Dawe R.S. // Br. J. Dermatol. 2016. V. 174. № 1. P. 24. https://doi.org/10.1111/bjd.14317
- Lindelöf B., Sigurgeirsson B., Tegner E., Larkö O., Johannesson A., Berne B., Christensen O.B., Andersson T., Törngren M., Molin L., Nylander-Lundqvist E., Emtestam L. // Lancet. 1991. V. 338. № 8759. P. 91. https://doi.org/10.1016/0140-6736(91)90083-2
- Stern R.S., Lunder E.J. // Arch. Dermatol. 1998. V. 134. № 12. P. 1582. https://doi.org/10.1001/archderm. 134.12.1582
- Stern R.S. // J. Am. Acad. Dermatol. 2012. V. 66. № 4. P. 553. https://doi.org/10.1016/j.jaad.2011.04.004
- Marcil I., Stern R.S. // Lancet. 2001. V. 358. № 9287. P. 1042. https://doi.org/10.1016/S0140-6736(01) 06179-7
- Stern R.S., Bagheri S., Nichols K. // J. Am. Acad. Dermatol. 2002. V. 47. № 1. P. 33. https://doi.org/ 10.1067/mjd.2002.124618
- Stern R.S., Nichols K.T., Väkevä L.H. // N. Engl. J. Med. 1997. V. 336. № 15. P. 1041. https://doi.org/ 10.1056/NEJM199704103361501
- Morison W.L., Baughman R.D., Day R.M., Forbes P.D., Hoenigsmann H., Krueger G.G., Lebwohl M., Lew R., Naldi L., Parrish J.A., Piepkorn M., Stern R.S., Weinstein G.D., Whitmore S.E. // Arch. Dermatol. 1998. V. 134. № 5. P. 595. https://doi.org/10.1001/archderm. 134.5.595
- Reddy S.P., Martires K., Wu J.J. // J. Am. Acad. Dermatol. 2017. V. 76. № 4. P. 639. https://doi.org/ 10.1016/j.jaad.2016.09.047
- Margolis D., Bilker W., Hennessy S., Vittorio C., Santanna J., Strom B.L. // Arch. Dermatol. 2001. V. 137. № 6. P. 778. PMID: 11405770
- Malanos D., Stern R.S. // J. Am. Acad. Dermatol. 2007. V. 57. № 2. P. 231. https://doi.org/10.1016/j.jaad. 2007.04.027
- Menter A., Korman N.J., Elmets C.A., Feldman S.R., Gelfand J.M., Gordon K.B., Gottlieb A., Koo J.Y.M., Lebwohl M., Lim H.W., Van Voorhees A.S., Beutner K.R., Bhushan R. // J. Am. Acad. Dermatol. 2010. V. 62. № 1. P. 114. https://doi.org/10.1016/j.jaad.2009.08.026
- Meffert H., Piazena H. // Aktuelle Dermatologie. 2001. V. 27. № 8/9. P. 255. https://doi.org/10.1055/ s-2001-17292
- Ravenscroft J., Goulden V., Wilkinson M. // J. Am. Acad. Dermatol. 2001. V. 45. № 6. P. S218. https://doi.org/ 10.1067/mjd.2001.103644
- Shephard S.E., Zogg M, Burg G., Panizzon R.G. // Arch. Dermatol. Res. 1999. V. 291. № 9. P. 491. https://doi.org/10.1007/s004030050443
- Lebwohl M. // Photodermatol., Photoimmunol. Photomed. 2002. V. 18. № 1. P. 44. https://doi.org/ 10.1034/j.1600-0781.2002.180108.x
- Shirsath N., Mayer G., Singh T.P., Wolf P. // Experimental Dermatology. 2015. V. 24. № 11. P. 889. https://doi.org/10.1111/exd.12779
- Liszewski W., Naym D.G., Biskup E., Gniadecki R. // Photodermatol., Photoimmunol. Photomed. 2017. V. 33. № 3. P. 164. https://doi.org/10.1111/phpp.12302
- Knobler R., Berlin G., Calzavara-Pinton P., Greinix H., Jaksch P., Laroche L., Ludvigsson J., Quaglino P., Reinisch W., Scarisbrick J., Schwarz T., Wolf P., Arenberger P., Assaf C., Bagot M., Barr M., Bohbot A., Bruckner-Tuderman L., Dreno B., Enk A., French L., Gniadecki R., Gollnick H., Hertl M., Jantschitsch C., Jung A., Just U., Klemke C.D., Lippert U., Luger T., Papadavid E., Pehamberger H., Ranki A., Stadler R., Sterry W., Wolf I.H., Worm M., Zic J., Zouboulis C.C., Hillen U. // J. Eur. Acad. Dermatol. Venereol. 2014. V. 28. № s1. P. 1. https://doi.org/10.1111/jdv.12311
- Абилев С.К., Игонина Е.В., Лебедева А.А., Жошибекова Б.С. // Вестник КазНУ. Серия экологическая. 2020. В. 63. № 2. С. 44. https://doi.org/10.26577/EJE.2020.v63.i2.05
- de Moura Barros N., Lunardi Sbroglio L., de Oliveira Buffara M., Conceição e Silva Baka J.L., de Souza Pessoa A., Azulay-Abulafia L. // An. Bras. Dermatol. 2021. V. 96. № 4. P. 397. https://doi.org/10.1016/j.abd. 2021.03.001
- Aubry M., Richard V., Green J., Broult J., Musso D. // Transfusion. 2016. V. 56. № 1. P. 33. https://doi.org/ 10.1111/trf.13271
- Song P.-S., Tapley K.J. // Photochem. Photobiol. 1979. V. 29. № 6. P. 1177. https://doi.org/10.1111/ j.1751-1097.1979.tb07838.x
- Cimino G.D., Gamper H.B., Isaacs S.T., Hearst J.E. // Annu. Rev. Biochem. 1985. V. 54. № 1. P. 1151. https://doi.org/10.1146/annurev.bi.54.070185.005443
- Averbeck D. // Photochem. Photobiol. 1989. V. 50. № 6. P. 859. https://doi.org/10.1111/j.1751-1097.1989.tb02917.x
- Potapenko A.Y. // J. Photochem. Photobiol., B. 1991. V. 9. № 1. P. 1. https://doi.org/10.1016/1011-1344(91)80001-X
- Gurzadyan G.G. // Photochem. Photobiol. Sci. 2002. V. 1. № 10. P. 757. https://doi.org/10.1039/b206099j
- Serrano-Pérez J.J., Serrano-Andrés L., Merchán M. // J. Chem. Phys. 2006. V. 124. № 12. P. 124502. https://doi.org/10.1063/1.2178794
- Ковальская Н.Е., Соколова И.В. // Химия высоких энергий. 2002. Т. 36. № 3. С. 224.
- Serrano-Pérez J.J., Merchán M., Serrano-Andrés L. // Chem. Phys. Lett. 2007. V. 434. № 1‒3. P. 107. https://doi.org/10.1016/j.cplett.2006.11.086
- Tatchen J., Marian C.M. // Phys. Chem. Chem. Phys. 2006. V. 8. № 18. P. 2133. https://doi.org/10.1039/B518436C
- Tatchen J., Gilka N., Marian C.M. // Phys. Chem. Chem. Phys. 2007. V. 9. № 38. P. 5209. https://doi.org/10.1039/B706410A
- Tchaikovskaya O.N., Dmitrieva N.G., Bocharnikova E.N., Chaidonova V.S., Avramov P.V. // Front. Chem. 2021. V. 9. P. 754950. https://doi.org/ 10.3389/fchem.2021.754950
- Demaret J.-P., Brunie S., Ballini J.-P., Vigny P. // Photochem. Photobiol. 1989. V. 50. № 1. P. 7. https://doi.org/10.1111/j.1751-1097.1989.tb04124.x
- Fröbel S., Reiffers A., Torres Ziegenbein C., Gilch P. // J. Phys. Chem. Lett. 2015. V. 6. № 7. P. 1260. https://doi.org/10.1021/acs.jpclett.5b00307
- Fröbel S., Levi L., Ulamec S.M., Gilch P. // ChemPhysChem. 2016. V. 17. № 9. P. 1377. https://doi.org/10.1002/cphc.201500889
- El-Gogary T.M., El-Gendy E.M. // Spectrochim. Acta, Part A. 2003. V. 59. № 11. P. 2635. https://doi.org/ 10.1016/S1386-1425(03)00038-6
- Saenz-Méndez P., Guedes R.C., dos Santos D.J.V.A., Eriksson L.A. // Res. Lett. Phys. Chem. 2007. V. 2007. № 060623. https://doi.org/10.1155/2007/60623
- Méndez P.S., Guedes R.C., dos Santos D.J.V.A., Eriksson L.A. // Chem. Phys. Lett. 2007. V. 450. № 1‒3. P. 127. https://doi.org/10.1016/j.cplett.2007.10.105
- Yamada S. // Chem. Rev. 2018. V. 118. № 23. P. 11353. https://doi.org/10.1021/acs.chemrev.8b00377
- Kuz’mina L.G., Vedernikov A.I., Howard J.A.K., Alfimov M.V., Gromov S.P. // CrystEngComm. 2015. V. 17. № 24. P. 4584. https://doi.org/10.1039/C5CE00653H
- Nishioka Y., Yamaguchi T., Yoshizawa M., Fujita M. // J. Am. Chem. Soc. 2007. V. 129. № 22. P. 7000. https://doi.org/10.1021/ja071591x
- Bensasson R.V., Chalvet O., Land E.J., Ronfard-Haret J.C. // Photochem. Photobiol. 1984. V. 39. № 3. P. 287. https://doi.org/10.1111/j.1751-1097.1984.tb08179.x
- Kanne D., Straub K., Rapoport H., Hearst J.E. // Biochemistry. 1982. V. 21. № 5. P. 861. https://doi.org/ 10.1021/bi00534a008
- Nakata A., Baba T., Takahashi H., Nakai H. // J. Comput. Chem. 2004. V. 25. № 2. P. 179. https://doi.org/10.1002/jcc.10380
- Omar S., Eriksson L.A. // Chem. Phys. Lett. 2009. V. 471. № 1‒3. P. 128. https://doi.org/10.1016/j.cplett. 2009.02.010
- Huang X., Zhang R. // Photochem. Photobiol. 2013. V. 89. № 4. P. 891. https://doi.org/10.1111/php.12067
- Spielmann H.P., Dwyer T.J., Sastry S.S., Hearst J.E., Wemmer D.E. // Proc. Natl. Acad. Sci. U. S. A. 1995. V. 92. № 6. P. 2345. https://doi.org/10.1073/pnas. 92.6.2345
- Serrano-Pérez J.J., Merchán M., Serrano-Andrés L. // J. Phys. Chem. B. 2008. V. 112. № 44. P. 14002. https://doi.org/10.1021/jp805523d
- Cadet J., Mouret S., Ravanat J.-L., Douki T. // Photochem. Photobiol. 2012. V. 88. № 5. P. 1048. https://doi.org/10.1111/j.1751-1097.2012.01200.x
- Schreier W.J., Gilch P., Zinth W. // Annu. Rev. Phys. Chem. 2015. V. 66. № 1. P. 497. https://doi.org/ 10.1146/annurev-physchem-040214-121821
- Liu L., Pilles B.M., Gontcharov J., Bucher D.B., Zinth W. // J. Phys. Chem. B. 2016. V. 120. № 2. P. 292. https://doi.org/10.1021/acs.jpcb.5b08568
- Caffieri S., Lefeber A.W.M., Dall’Acqua F., Beijersbergen van Henegouwen G.M.J. // J. Photochem. Photobiol., B. 1990. V. 7. № 2‒4. P. 347. https://doi.org/10.1016/ 1011-1344(90)85167-U
- Cadet J., Vigny P., Midden W.R. // J. Photochem. Photobiol., B. 1990. V. 6. № 1‒2. P. 197. https://doi.org/ 10.1016/1011-1344(90)85090-J
- Dall’Acqua F., Martelli P. // J. Photochem. Photobiol., B. 1991. V. 8. № 3. P. 235. https://doi.org/10.1016/ 1011-1344(91)80082-S
- Zarȩbska Z. // J. Photochem. Photobiol., B. 1994. V. 23. № 2‒3. P. 101. https://doi.org/10.1016/1011-1344(94)06944-1
- Zarębska Z., Waszkowska E., Caffieri S., Dall’Acqua F. // J. Photochem. Photobiol., B. 1998. V. 45. № 2‒3. P. 122. https://doi.org/10.1016/S1011-1344(98)00170-5
- Li X.Y., Eriksson L.A. // Photochem. Photobiol. 2005. V. 81. № 5. P. 1153. https://doi.org/10.1562/2005-03-21-RA-467
- Bordin F., Carlassare F., Busulini L., Baccichetti F. // Photochem. Photobiol. 1993. V. 58. № 1. P. 133. https://doi.org/10.1111/j.1751-1097.1993.tb04914.x
- dos Santos D.J.V.A., Saenz-Méndez P., Eriksson L.A., Guedes R.C. // Phys. Chem. Chem. Phys. 2011. V. 13. № 21. P. 10174. https://doi.org/10.1039/C0CP02245D
- Böhm F., Meffert H., Bauer E. // Arch. Dermatol. Res. 1986. V. 279. № 1. P. 16. https://doi.org/10.1007/BF00404352
- Beijersbergen Van Henegouwen G.M.J., Wijn E.T., Schoonderwoerd S.A., Dall’Acqua F. // J. Photochem. Photobiol., B. 1989. V. 3. № 4. P. 631. https://doi.org/10.1016/1011-1344(89)80086-7
- Blan Q.A., Grossweiner L.I. // Photochem. Photobiol. 1987. V. 45. № 2. P. 177. https://doi.org/10.1111/ j.1751-1097.1987.tb05361.x
- Paul S., Samanta A. // J. Phys. Chem. B. 2018. V. 122. № 8. P. 2277. https://doi.org/10.1021/acs.jpcb.7b12475
- Wood P.D., Johnston L.J. // Photochem. Photobiol. 1997. V. 66. № 5. P. 642. https://doi.org/10.1111/ j.1751-1097.1997.tb03201.x
- Wood P.D., Johnston L.J. // J. Phys. Chem. A. 1998. V. 102. № 28. P. 5585. https://doi.org/10.1021/jp9802026
- Buglak A.A., Kononov A.I. // New J. Chem. 2018. V. 42. № 17. P. 14424. https://doi.org/10.1039/C8NJ03002B
- Dalla Via L., Uriarte E., Santana L., Marciani Magno S., Gia O. // Arkivoc. 2004. V. 2004. № 5. P. 131. https://doi.org/10.3998/ark.5550190.0005.513
- Dalla Via L., Uriarte E., Quezada E., Dolmella A., Ferlin M.G., Gia O. // J. Med. Chem. 2003. V. 46. № 18. P. 3800. https://doi.org/10.1021/jm0210919
- Santana L., Uriarte E., Dalla Via L., Gia O. // Bioorg. Med. Chem. Lett. 2000. V. 10. № 2. P. 135. https://doi.org/10.1016/S0960-894X(99)00640-X
- Dalla Via L., Mammi S., Uriarte E. et al. // J. Med. Chem. 2006. V. 49. № 14. P. 4317. https://doi.org/ 10.1021/jm058032q
- Bordin F., Baccichetti F., Marzano C., Carlassare F., Miolo G., Chilin A., Guiotto A. // Photochem. Photobiol. 2000. V. 71. № 3. P. 254. https://doi.org/ 10.1562/0031-8655(2000)0710254DDIBTF2. 0.CO2
- Marzano C., Chilin A., Bordin F., Baccichetti F., Guiotto A. // Bioorg. Med. Chem. 2002. V. 10. № 9. P. 2835. https://doi.org/10.1016/S0968-0896(02)00145-1
- Chilin A., Marzano C., Guiotto A., Baccichetti F., Carlassare F., Bordin F. // J. Med. Chem. 2002. V. 45. № 5. P. 1146. https://doi.org/10.1021/jm010993r
- Paul N., Jiang M., Bieniek N., Lustres J.L.P., Li Y., Wollscheid N., Buckup T., Dreuw A., Hampp N.A., Motzkus M. // J. Phys. Chem. A. 2018. V. 122. № 38. P. 7587. https://doi.org/10.1021/acs.jpca.8b07186
- Barraja P., Diana P., Montalbano A., Dattolo G., Cirrincione G., Viola G., Vedaldi D., Dall’Acqua F. // Bioorg. Med. Chem. 2006. V. 14. № 24. P. 8712. https://doi.org/10.1016/j.bmc.2006.07.061
- Некипелова Т.Д. Окисление, окислительный стресс, антиоксиданты: Международная конференция молодых ученых и V школа им. академика Н.М. Эмануэля: Лекции и тезисы. Москва‒Ереван, 9‒12 октября 2012 г., Москва: РУДН, 2012, С. 113.
- Некипелова Т.Д., Кузьмин В.А. // Успехи химии. 2012. Т. 81. № 11. С. 983. https://doi.org/10.1070/RC2012v081n11ABEH004293
- Кузьмин В.А, Мазалецкая Л.И., Некипелова Т.Д., Ходот Е.Н. // Известия Акад. наук. Сер. хим. 2008. Т. 11. С. 2356. https://doi.org/10.1007/s11172-008-0343-x
- Патент РФ № 2614248. 2016.
- Кузьмин В.А., Волнухин В.А., Егоров А.Е., Климович О.Н., Костюков А.А., Некипелова Т.Д., Ходот Е.Н., Шахматов В.В., Шевелев А.Б., Шибаева А.В., Штиль А.А. // Хим. физика. 2019. Т. 38. № 3. https://doi.org/10.1134/S199079311906023X
- Ходот Е.Н., Шевелев А.Б., Шибаева А.В., Смирнова М.С., Позднякова Н.В., Рябая О.О., Богданова Е.С., Гусева М.А., Волнухин В.А., Кузьмин В.А. // Биоорг. химия. 2020. Т. 46. С. 189. https://doi.org/10.1134/S1068162020020119
- Шахматов В.В., Ходот Е.Н., Некипелова Т.Д., Кузьмин В.А. // Химия высоких энергий. 2021. Т. 55. № 6. С. 446. https://doi.org/10.1134/S0018143921060138
- Шахматов В.В. Дис. … канд. хим. наук. Москва: Институт биохимической физики им. Н.М. Эмануэля, 2022.
- Лыго О.Н., Некипелова Т.Д., Ходот Е.Н., Кузьмин В.А., Шахматов В.В., Волнухин В.А., Варгин В.В., Шевелев А.Б., Шибаева А.В. // Химия высоких энергий. 2012. Т. 46. № 3. С. 216. https://doi.org/10.1134/S0018143912030046
- Некипелова Т.Д., Лыго О.Н., Ходот Е.Н., Кузьмин В.А., Шахматов В.В., Варгин В.В., Белякова А.В., Зылькова М.В. // Химия высоких энергий. 2012. Т. 46. № 3. С. 211. https://doi.org/10.1134/S0018143912030083
- Лыго О.Н., Некипелова Т.Д., Ходот Е.Н., Шахматов В.В., Кононихин А.С., Николаев Е.Н., Кузьмин В.А. // Химия высоких энергий. 2012. Т. 46. № 6. С. 452. https://doi.org/10.1134/S0018143912060069
Supplementary files

















