Production of Low-Molecular-Weight Organic Components by the Microwave Pyrolysis of Peat
- Authors: Alyeva A.B.1, Ananicheva S.A.2,1, Glyavin M.Y.1, Denisenko A.N.1, Zelentsov S.V.2, Krapivnitskaya T.O.1, Peskov N.Y.2,1, Sachkova A.A.2
-
Affiliations:
- Institute of Applied Physics, Russian Academy of Sciences
- National Research Lobachevsky State University of Nizhny Novgorod
- Issue: Vol 57, No 4 (2023)
- Pages: 341-346
- Section: МИКРОВОЛНОВАЯ ХИМИЯ
- URL: https://journals.rcsi.science/0023-1193/article/view/140027
- DOI: https://doi.org/10.31857/S0023119323040034
- EDN: https://elibrary.ru/QMPPCV
- ID: 140027
Cite item
Full Text
Abstract
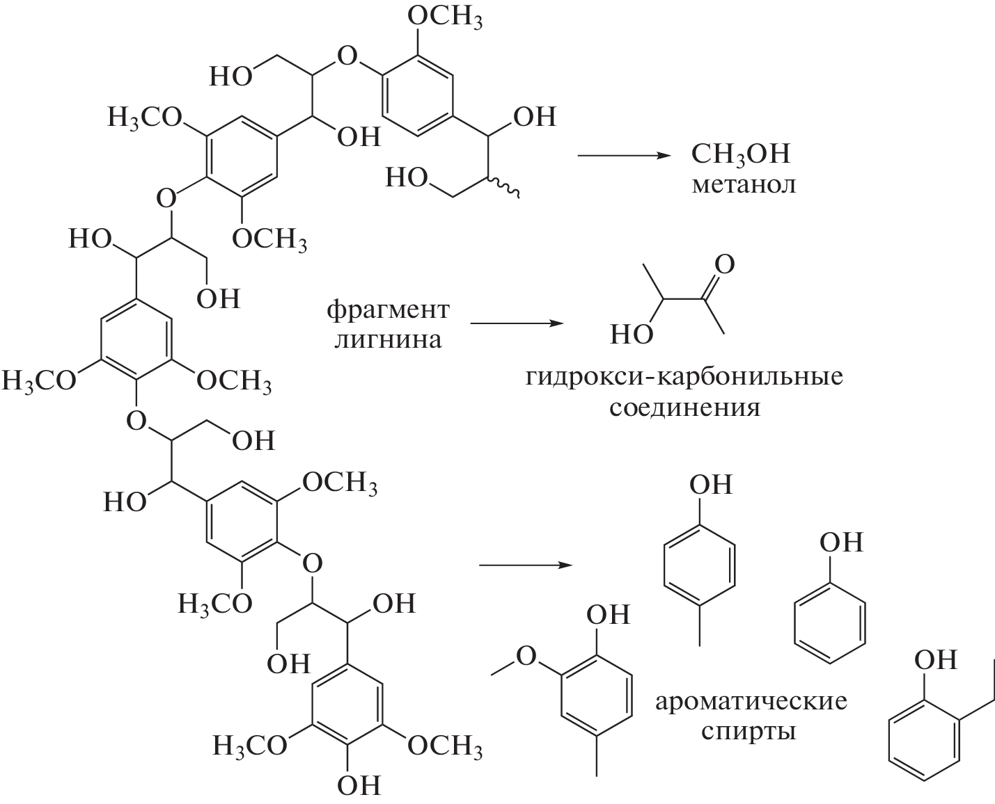
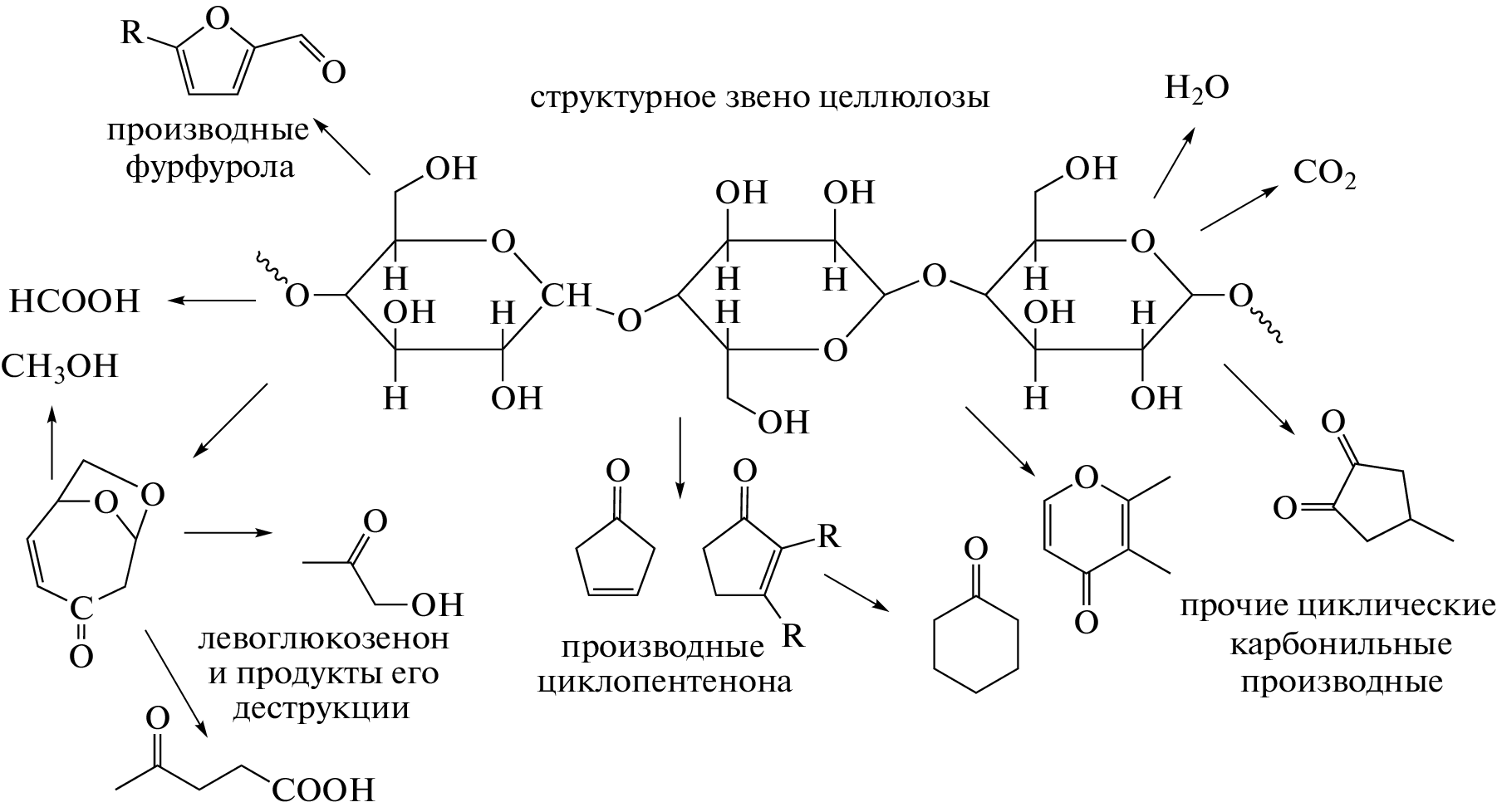
A facility for conducting experiments on the microwave (MW) pyrolysis of peat at a source operating frequency of 2.45 GHz has been developed. The MW pyrolysis of peat for the production of low-molecular-weight organic components has been experimentally studied. The products of peat MW radiationinduced decomposition were determined, and reaction schemes for the degradation of peat components were proposed. A carbonaceous residue with relative carbon, hydrogen, nitrogen, and sulfur contents of 83–85, 4–5, 2–3, and <0.3 wt %, respectively, was obtained.
Keywords
About the authors
A. B. Alyeva
Institute of Applied Physics, Russian Academy of Sciences
Email: kto@ipfran.ru
Nizhny Novgorod, 603155 Russia
S. A. Ananicheva
National Research Lobachevsky State University of Nizhny Novgorod; Institute of Applied Physics, Russian Academy of Sciences
Email: bulanovasvetlana@list.ru
Nizhny Novgorod, 603022 Russia; Nizhny Novgorod, 603155 Russia
M. Yu. Glyavin
Institute of Applied Physics, Russian Academy of Sciences
Email: kto@ipfran.ru
Nizhny Novgorod, 603155 Russia
A. N. Denisenko
Institute of Applied Physics, Russian Academy of Sciences
Email: kto@ipfran.ru
Nizhny Novgorod, 603155 Russia
S. V. Zelentsov
National Research Lobachevsky State University of Nizhny Novgorod
Email: kto@ipfran.ru
Nizhny Novgorod, 603022 Russia
T. O. Krapivnitskaya
Institute of Applied Physics, Russian Academy of Sciences
Email: kto@ipfran.ru
Nizhny Novgorod, 603155 Russia
N. Yu. Peskov
National Research Lobachevsky State University of Nizhny Novgorod; Institute of Applied Physics, Russian Academy of Sciences
Email: kto@ipfran.ru
Nizhny Novgorod, 603022 Russia; Nizhny Novgorod, 603155 Russia
A. A. Sachkova
National Research Lobachevsky State University of Nizhny Novgorod
Author for correspondence.
Email: kto@ipfran.ru
Nizhny Novgorod, 603022 Russia
References
- Хорошавин Л.Б., Медведев О.А., Беляков В.А., Михеева Е.В., Руднов В.С., Байтимирова Е.А. Торф: возгорание торфа, тушение торфяников и торфокомпозиты. М.: ФГБУ ВНИИ ГОЧС (ФЦ), 2013. 256 с.
- Батенин В.М., Бессмертных А.В., Зайченко В.М. и др. // Теплоэнергетика. 2010. № 11. С. 36–42.
- Песков Н.Ю., Крапивницкая Т.О., Соболев Д.И., Глявин М.Ю., Денисенко А.Н. Комплекс для микроволнового пиролиза органических материалов Патент № 2737007 C1 РФ. 2020.
- Крапивницкая Т.О., Богдашов А.А., Денисенко А.Н. и др. // Изв. вузов. Прикладная химия и биотехнология. 2019. Т. 31. № 4.
- Крапивницкая Т.О., Буланова С.А., Сорокин А.А. и др. // Изв. вузов. Прикладная химия и биотехнология. 2020. Т. 2. № 10. С. 339.
- Баскаков С.А., Лобач А.С., Васильев С.Г. и др. // Химия высоких энергий. 2016. Т. 50. № 1. С. 46.
- Kucerík J., Kovár J., Pekar M. // J. Therm. Anal. Calorim. 2004. V. 79. № 1. P. 55.
- Provenzano M.R., Senesi N. // J. Therm. Anal. Calorim. 1999. V. 57. № 2. P. 517.
- Montecchio D., Francioso O., Carletti P. et al. // J. Therm. Anal. Calorim. 2006. V. 83. № 2. P. 393.
- Салихов К.М. 10 лекций по спиновой химии. Казань: УНИПРЕСС, 2000. 52 с.
- Передерий М.А., Хаджиев С.Н., Цодиков М.В. // Вестник РФФИ. 2011. № 4. С. 54.
- Fizer M., Sidey V., Milyovich S., Fizera O. // J. Molecular Graphics and Modelling. 2021. V. 102. P. 107800.
- Kojima Y., Kato Y., Akazawa M. et al. // Biofuel Research Journal. 2015. V. 2. № 4. P. 317.
- Brebu M., Vasile C. // Chem. Technol. 2010. V. 44. № 3. P. 353.
- Kojima Y., Kato Y., Akazawa M. et al. // Biofuel Research Journal. 2015. V. 8. P. 317.
- Mohan D., Pittman J.C.U., Steele P.H. // Energy Fuels. 2006. V. 20. № 3. P. 848.
- Demirbas A. // J. Hazard. Mater. 2008. V. 157. № 2. P. 220.
- Demirbas A. // Energy Source Part B. 2007. V. 2. № 4. P. 391.
- Liu C., Lu X., Yu Z. et al. // Catalysts. 2020. V. 10. № 9. P. 1006.
Supplementary files






