Flame Detectors Based on Semiconductor Nanocrystals
- Authors: Pevtsov D.N.1,2, Demkin D.V.2, Katsaba A.V.2,3, Gadomska A.V.1
- 
							Affiliations: 
							- Federal Research Center for Problems of Chemical Physics and Medicinal Chemistry, Russian Academy of Sciences
- Moscow Institute of Physics and Technology (National Research University)
- Lebedev Physical Institute, Russian Academy of Sciences
 
- Issue: Vol 57, No 4 (2023)
- Pages: 290-297
- Section: PHOTONICS
- URL: https://journals.rcsi.science/0023-1193/article/view/140002
- DOI: https://doi.org/10.31857/S0023119323040101
- EDN: https://elibrary.ru/QNZEBJ
- ID: 140002
Cite item
Full Text
Abstract
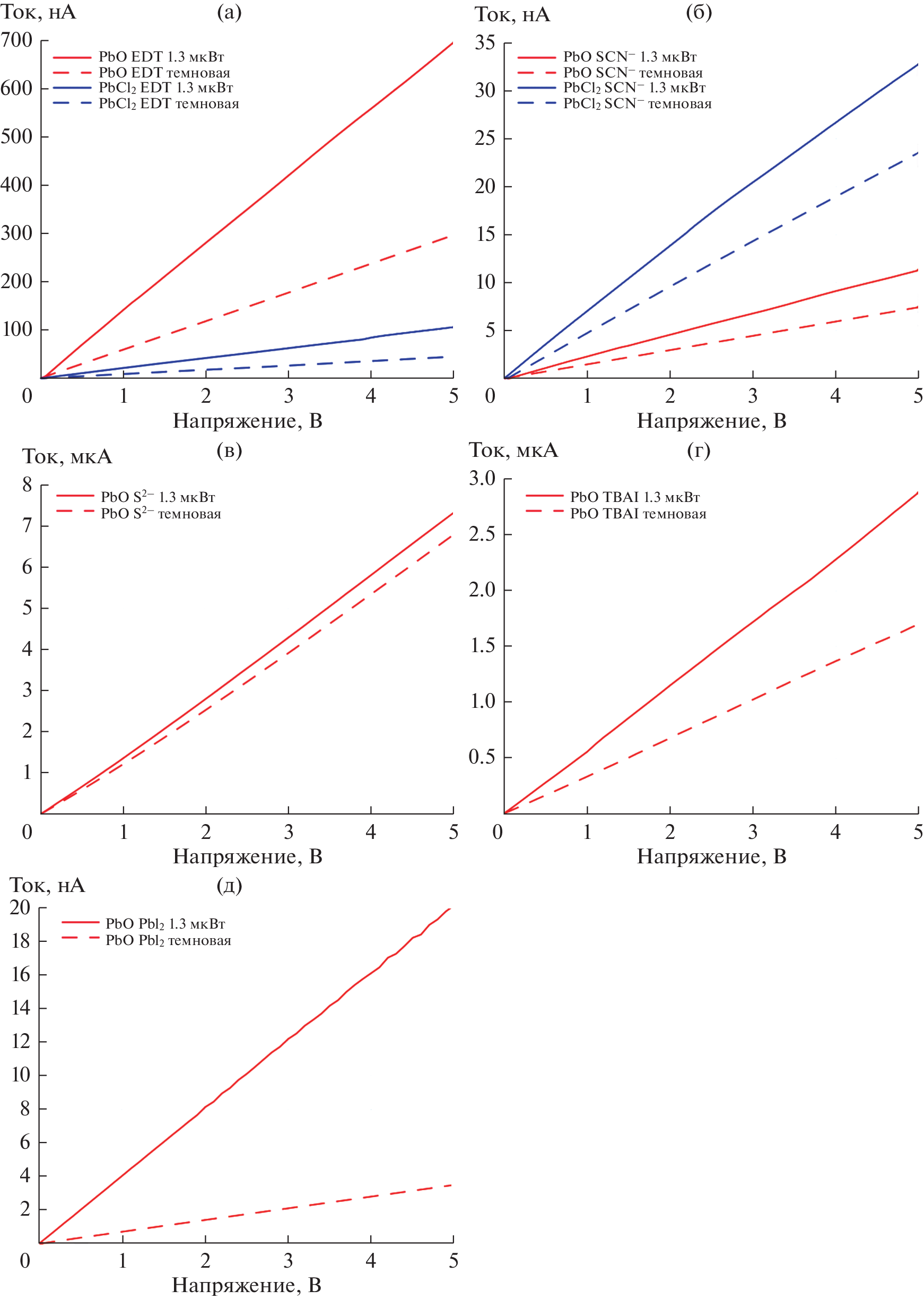
The possibility of using semiconductor nanocrystals in photodetectors for optical detection of open flame has been explored. The spectral range boundaries of response of flame detectors have been concretized. In accordance with this, colloidal lead sulfide nanocrystals absorbing in the range of 1–1.5 μm have been synthesized. Photoresistors with different ligand compositions have been made from these particles. For the obtained samples, the current–voltage characteristics were measured and the photosensitivity and specific
detectivity parameters were calculated. A theoretical estimate of the flame detection range has been made for the samples. It has been shown that a photosignal can be reliably detected at a distance of more than 80 m.
About the authors
D. N. Pevtsov
Federal Research Center for Problems of Chemical Physics and Medicinal Chemistry, Russian Academy of Sciences; Moscow Institute of Physics and Technology (National Research University)
														Email: pevtsov.dn@phystech.edu
				                					                																			                												                								Chernogolovka, Moscow oblast, 142432 Russia; Dolgoprudnyi, Moscow oblast, 141701 Russia						
D. V. Demkin
Moscow Institute of Physics and Technology (National Research University)
														Email: pevtsov.dn@phystech.edu
				                					                																			                												                								Dolgoprudnyi, Moscow oblast, 141701 Russia						
A. V. Katsaba
Moscow Institute of Physics and Technology (National Research University); Lebedev Physical Institute, Russian Academy of Sciences
														Email: pevtsov.dn@phystech.edu
				                					                																			                												                								Dolgoprudnyi, Moscow oblast, 141701 Russia; Moscow, 119991 Russia						
A. V. Gadomska
Federal Research Center for Problems of Chemical Physics and Medicinal Chemistry, Russian Academy of Sciences
							Author for correspondence.
							Email: pevtsov.dn@phystech.edu
				                					                																			                												                								Chernogolovka, Moscow oblast, 142432 Russia						
References
- Brushlinsky N.N., Ahrens M., Sokolov S.V., Wagner P. // World fire statistics. CTIF. 2022. № 27.
- Gaur A. et al. // “Fire Sensing Technologies: A Review” in IEEE Sensors Journal. 2019. 19 (9). P. 3191–3202.
- Piccardi A., Colace L. // Sensors. 2019. 19. 1360.
- Adrienne D. Stiff-Roberts // Journal of Nanophotonics. 2019. 3 (1). 031607.
- Yadav P.V.K. et al. //Chemosphere. 2019. 279. 130473.
- Екимов А.И., Онущенко А.А. // Письма в ЖЭТФ. 1981. №. 34. С. 363.
- Эфрос Ал.Л., Эфрос А.Л. // Физика и техника полупроводников. 1982. 16 (7). 1209–1214.
- Бричкин С.Б., Разумов В.Ф. // Успехи химии. 2016. 85: 12. 1297–1312.
- Christopher M. Evans et al. // Journal of Coordination Chemistry. 2012. 65: 13. 2391-2–414.
- Sokolova D. et al. // Infrared Physics & Technology. 2017. V. 123. 104188.
- Бричкин С.Б., Гак В.Ю., Спирин М.Г. // Химия высоких энергий. 2020. 54 (1). 43–53.
- Гак В.Ю., Гадомская А.В., Спирин М.Г. // Химия высоких энергий. 2022. 56 (2). 104–114.
- Nakotte T., Luo H., Pietryga J. // Nanomaterials. 2020. 10. 172.
- De Iacovo A. et al. // Appl. Phys. Lett. 2017. 111. 211104.
- Rafal Sliz et al. // ACS Nano 2019. 13 (10). 11988–11995.
- Fristrom R.M. Flame Structures and Processes, Oxford University Press, New York, 1995.
- Зельдович Я.Б., Баренблатт Г.И. Математическая теория горения и взрыва. М.: 1980. 478 с.
- Engineering ToolBox, (2005). Adiabatic Flame Temperatures. [online] доступно по адресу: https://www.engineeringtoolbox.com/adiabatic-flame-temperature-d_996.html [Accessed 01.02.2023]
Supplementary files
 
				
			 
					 
						 
						 
						 
						 
				
 
  
  
  Email this article
			Email this article 



