Форбуш-понижения, связанные с корональными дырами, корональными выбросами из активных областей и волоконными выбросами: сравнение в солнечных циклах 23 и 24
- Авторы: Мелкумян А.А.1, Белов А.В.1, Абунина М.А.1, Шлык Н.С.1, Абунин А.А.1, Оленева В.А.1, Янке В.Г.1
-
Учреждения:
- Институт земного магнетизма, ионосферы и распространения радиоволн им. Н.В. Пушкова РАН (ИЗМИРАН)
- Выпуск: Том 63, № 5 (2023)
- Страницы: 581-598
- Раздел: Статьи
- URL: https://journals.rcsi.science/0016-7940/article/view/134748
- DOI: https://doi.org/10.31857/S0016794023600394
- EDN: https://elibrary.ru/UDXKMY
- ID: 134748
Цитировать
Полный текст
Аннотация
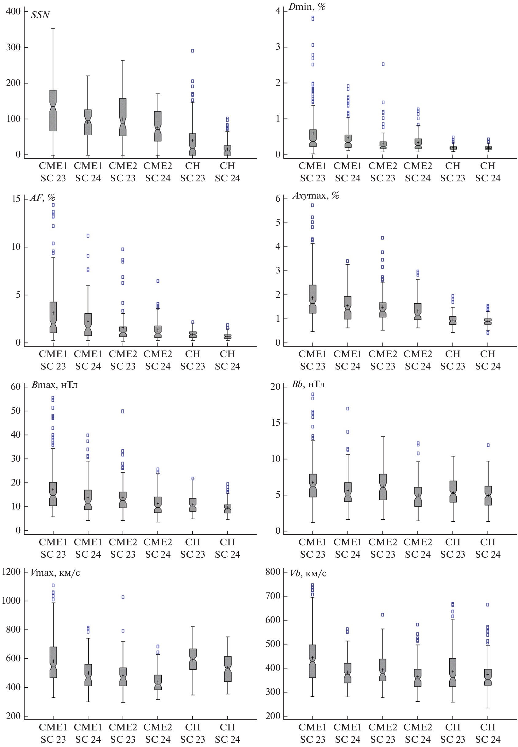
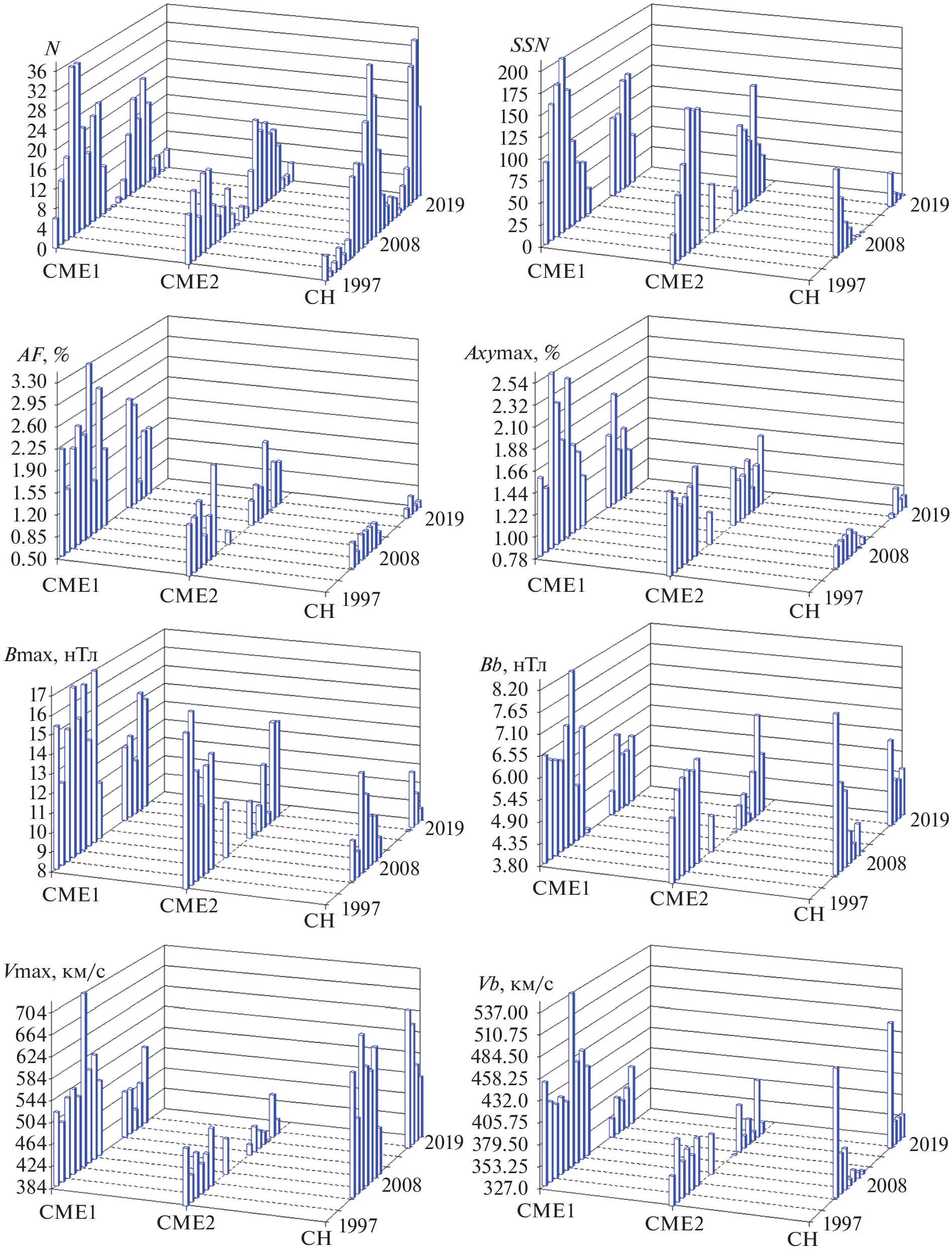
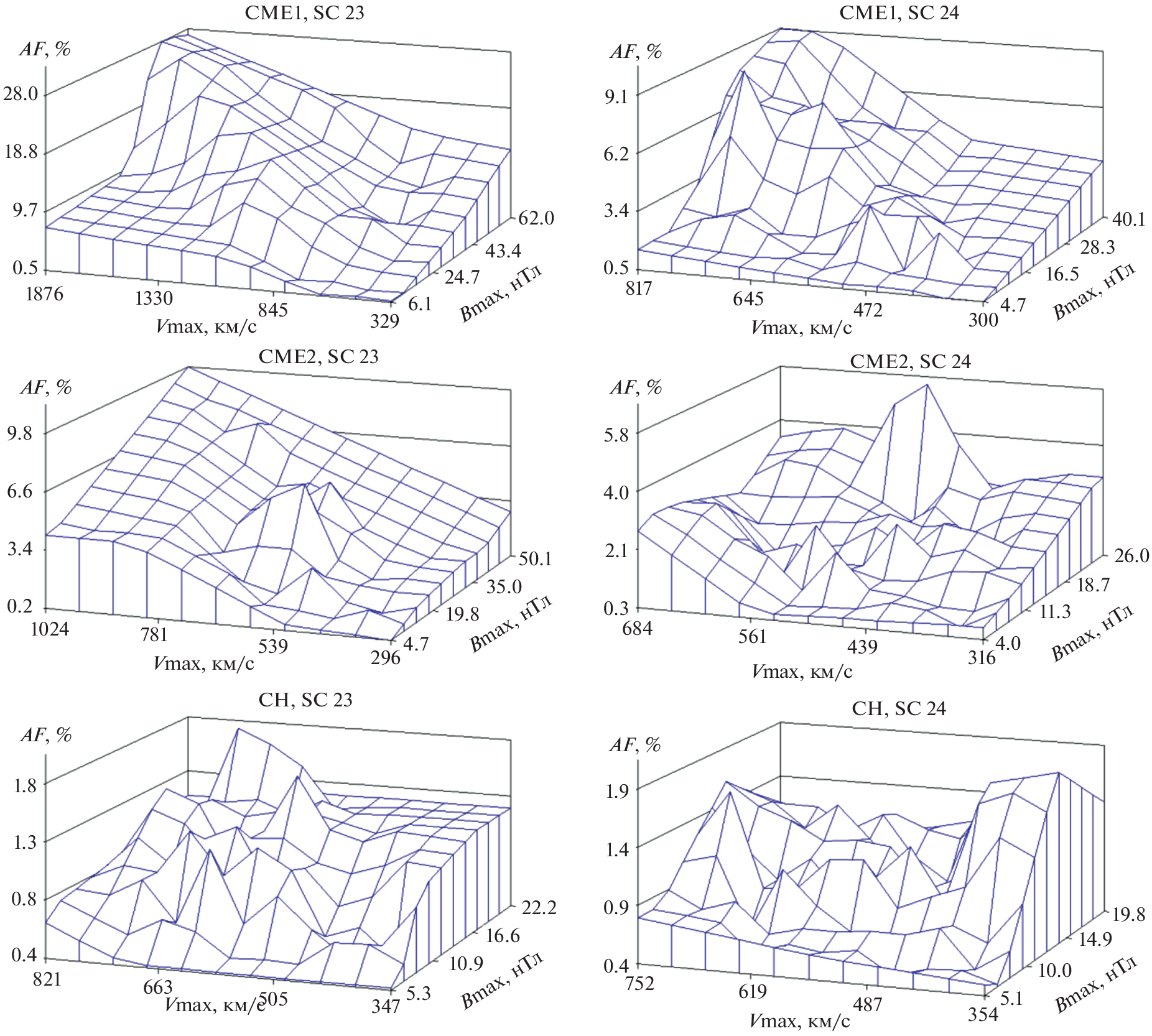
Исследуется сходство и различие Форбуш-понижений в солнечных циклах 23 и 24. Анализ проводился для групп событий, связанных с разными типами солнечных источников: корональными выбросами массы из активных областей, сопровождавшимися солнечными вспышками (группа СМЕ1); волоконными выбросами вне активных областей (группа СМЕ2); высокоскоростными потоками из корональных дыр (группа СН). Исследовались распределения и взаимосвязи различных параметров: амплитуды Форбуш-понижений; максимальных в течение события значений почасового уменьшения плотности космических лучей, экваториальной анизотропии космических лучей, скорости солнечного ветра, напряженности магнитного поля, а также значений скорости солнечного ветра и напряженности магнитного поля за час до начала Форбуш-понижения. Результаты показали, что количество событий, значения параметров и их взаимосвязи зависят от фазы и цикла солнечной активности. В 24-м цикле уменьшилось количество событий в группе СМЕ1, не изменилось в СМЕ2, увеличилось в СН. Значения параметров и разница между ними в разных группах событий выше в цикле 23, характеризующемся большей асимметрией и длинными “хвостами” распределений. Величина Форбуш-понижений в группе СМЕ1 в 23-м цикле зависит сильнее от скорости солнечного ветра, а в цикле 24 – от величины магнитного поля, как и в группе СМЕ2 в обоих солнечных циклах. Множественная линейная регрессия хорошо описывает зависимости параметров Форбуш-понижений в 23-м цикле в группах СМЕ1, СМЕ2, в цикле 24 – в группе СМЕ1.
Об авторах
А. А. Мелкумян
Институт земного магнетизма, ионосферы и распространения радиоволним. Н.В. Пушкова РАН (ИЗМИРАН)
Email: amelkum@izmiran.ru
Россия, Москва, Троицк
А. В. Белов
Институт земного магнетизма, ионосферы и распространения радиоволним. Н.В. Пушкова РАН (ИЗМИРАН)
Email: abelov@izmiran.ru
Россия, Москва, Троицк
М. А. Абунина
Институт земного магнетизма, ионосферы и распространения радиоволним. Н.В. Пушкова РАН (ИЗМИРАН)
Email: abunina@izmiran.ru
Россия, Москва, Троицк
Н. С. Шлык
Институт земного магнетизма, ионосферы и распространения радиоволним. Н.В. Пушкова РАН (ИЗМИРАН)
Email: abunina@izmiran.ru
Россия, Москва, Троицк
А. А. Абунин
Институт земного магнетизма, ионосферы и распространения радиоволним. Н.В. Пушкова РАН (ИЗМИРАН)
Email: abunina@izmiran.ru
Россия, Москва, Троицк
В. А. Оленева
Институт земного магнетизма, ионосферы и распространения радиоволним. Н.В. Пушкова РАН (ИЗМИРАН)
Email: abunina@izmiran.ru
Россия, Москва, Троицк
В. Г. Янке
Институт земного магнетизма, ионосферы и распространения радиоволним. Н.В. Пушкова РАН (ИЗМИРАН)
Автор, ответственный за переписку.
Email: abunina@izmiran.ru
Россия, Москва, Троицк
Список литературы
- – Абунин А.А., Абунина М.А., Белов А.В., Ерошенко Е.А., Оленева В.А., Янке В.Г. Форбуш-эффекты с внезапным и постепенным началом // Геомагнетизм и аэрономия. Т. 52. № 3. С. 313–320. 2012.
- – Белов А.В., Ерошенко Е.А., Янке Г.В, Оленева В.А., Абунина М.А., Абунин А.А. Метод глобальной съемки для мировой сети нейтронных мониторов // Геомагнетизм и аэрономия. Т. 58. № 3. С. 374–389. 2018. https://doi.org/10.7868/S0016794018030082
- – Гущина Р.Т., Белов А.В., Ерошенко Е.А., Обридко В.Н., Паорис Е., Шельтинг Б.Д. Модуляция космических лучей на фазе роста солнечной активности 24-го цикла // Геомагнетизм и аэрономия. Т. 54. № 4. С. 470–476. 2014. https://doi.org/10.7868/S0016794014040063
- – Крайнев М.Б., Калинин М.С., Аслам О.П.М., Нгобени М.Д., Потгитер М.С. О солнечных минимумах 20/21–24/25 и зависимости максимальной интенсивности галактических космических лучей от гелиосферных факторов // Изв. РАН. Сер. физическая. Т. 85. № 10. С. 1509–1512. 2021. https://doi.org/10.31857/S0367676521100197
- – Крымский Г.Ф., Кузьмин А.И., Кривошапкин П.А., Самсонов И.С., Скрипин Г.В., Транский И.А., Чирков Н.П. Космические лучи и солнечный ветер. Новосибирск: Наука, 224 с. 1981.
- – Мелкумян А.А., Белов А.В., Абунина М.А., Абунин А.А., Ерошенко Е.А., Оленева В.А., Янке В.Г. Основные свойства форбуш-эффектов, связанных с высокоскоростными потоками из корональных дыр // Геомагнетизм и аэрономия. Т. 58. № 2. С. 163–176. 2018а. https://doi.org/10.7868/S0016794018020025
- – Мелкумян А.А., Белов А.В., Абунина М.А., Абунин А.А., Ерошенко Е.А., Оленева В.А., Янке В.Г. Долгопериодные изменения количества и величины Форбуш-эффектов // Геомагнетизм и аэрономия. Т. 58. № 5. С. 638–647. 2018б. https://doi.org/10.1134/S0016794018050103
- – Мелкумян А.А., Белов А.В., Абунина М.А., Абунин А.А., Ерошенко Е.А., Оленева В.А., Янке В.Г. Рекуррентные и спорадические Форбуш-понижения в 23-ем и 24-ом солнечных циклах // Солнечно-земная физика. Т. 5. № 1. С. 39–47. 2019. https://doi.org/10.12737/szf-51201904
- – Мелкумян А.А., Белов А.В., Абунина М.А., Шлык Н.С., Абунин А.А., Оленева В.А., Янке В.Г. Сходство и различие Форбуш-понижений, связанных с потоками из корональных дыр, волоконными выбросами и выбросами из активных областей // Геомагнетизм и аэрономия. Т. 62. № 3. С. 283–301. 2022. https://doi.org/10.31857/S0016794022030117
- – Aslam O.P.M., Badruddin B. Study of cosmic-ray modulation during the recent unusual minimum and mini-maximum of solar cycle 24 // Solar Phys. V. 290. № 8. P. 2333–2353. 2015. https://doi.org/10.1007/s11207-015-0753-5
- – Belov A.V. Forbush effects and their connection with solar, interplanetary and geomagnetic phenomena / Proc. IAU Symposium. Eds. N. Gopalswamy, D.F. Webb. Cambridge: Cambridge University Press. V. 4. № S257. P. 439–450. 2008. https://doi.org/10.1017/S1743921309029676
- – Belov A.V., Eroshenko. E.A., Oleneva V.A., Struminsky A.B., Yanke V.G. What determines the magnitude of Forbush decreases? // Adv. Space Res. V. 27. № 3. P. 625–630. 2001. https://doi.org/10.1016/S0273-1177(01)00095-3
- – Burlaga L., Sittler E., Mariani F., Schwenn R. Magnetic loop behind an interplanetary shock: Voyager, Helios, and IMP 8 observations // J. Geophys. Res. – Space. V. 86. № 8. P. 6673–6684. 1981. https://doi.org/10.1029/JA086iA08p06673
- – Cane H.V. Coronal mass ejections and Forbush decreases // Space Sci. Rev. V. 93. № 1–2. P. 55–77. 2000. https://doi.org/10.1023/A:1026532125747
- – Forbush S.E. On the effects in the cosmic-ray intensity observed during magnetic storms // Phys. Rev. V. 51. P. 1108–1109. 1937. https://doi.org/10.1103/PhysRev.51.1108.3
- – Gopalswamy N., Akiyama S., Yashiro S., Mäkelä P. Coronal mass ejections from sunspot and non-sunspot regions / Magnetic Coupling between the Interior and the Atmosphere of the Sun. Eds. S. Hasan, R. Rutter / Astrophysics and Space Science Proceedings. Berlin, Heidelberg: Springer. P. 289−307. 2010. https://doi.org/10.1007/978-3-642-02859-5_24
- – Gopalswamy N., Akiyama S., Yashiro S., Xie H., Mäkelä P., Michalek G. The mild space weather in solar cycle 24 / Proc. 14th International Ionospheric Effects Symposium on “Bridging the gap between applications and research involving ionospheric and space weather disciplines”. Alexandria, VA, 2015. P. 1–8. 2015. https://doi.org/10.48550/arXiv.1508.01603
- – Gopalswamy N., Akiyama S., Yashiro S., Michalek G., Xie H., Makelea P. Effect of the weakened heliosphere in solar cycle 24 on the properties of coronal mass ejections // J. Phys.: Conf. Ser. V. 1620. № 1. ID 012005. 2020. https://doi.org/10.48550/arXiv.1508.01603
- – Iucci N., Parisi M., Storini M. et al. Forbush decreases: origin and development in the interplanetary space // Nuovo Cimento C. V. 2. № 1. P. 1–52. 1979. https://doi.org/10.BF02507712
- – King J.H., Papitashvili N.E. Solar wind spatial scales in and comparisons of hourly Wind and ACE plasma and magnetic field data // J. Geophys. Res. – Space. V. 110. № 2. ID A02104. 2005. https://doi.org/10.1029/2004JA010649
- – Lingri D., Mavromichalaki H., Belov A., Eroshenko E., Yanke V., Abunin A., Abunina M. Solar activity parameters and associated Forbush decreases during the minimum between cycles 23 and 24 and the ascending phase of cycle 24 // Solar Phys. V. 291. № 3. P. 1025–1041. 2016. https://doi.org/10.1007/s11207-016-0863-8
- – Lockwood J. A. Forbush decreases in the cosmic radiation // Space Sci. Revs. V. 12. № 5. P. 658–715. 1971. https://doi.org/10.1007/BF00173346
- – Matzka J., Stolle C., Yamazaki Y., Bronkalla O., Morschhauser A. The geomagnetic Kp index and derived indices of geomagnetic activity // Space Weather. V. 19. № 5. ID e2020SW002641. 2021. https://doi.org/10.1029/2020SW002641
- – Melkumyan A.A., Belov A.V., Abunina M.A., Shlyk N.S., Abunin A.A., Oleneva V.A., Yanke V.G. Forbush decreases associated with coronal mass ejections from active and non-active regions: statistical comparison // Mon. Not. R. Astron. Soc. V. 515. № 3. P. 4430–4444. 2022a. https://doi.org/10.1093/mnras/stac2017
- – Melkumyan A.A., Belov A.V., Abunina M.A., Shlyk N.S., Abunin A.A., Oleneva V.A., Yanke V.G. Development of Forbush decreases associated with coronal ejections from active regions and non-active regions // Geomagn. Aeronomy. V. 22. Suppl. 1. P. S40–S53. 2022b. https://doi.org/10.1134/S0016793222600394
- – Paouris E., Mavromichalaki H., Belov A., Gushchina R., Yanke V. Galactic cosmic ray modulation and the last solar minimum // Solar Phys. V. 280. № 1. P. 255–271. 2012. https://doi.org/10.1007/s11207-012-0051-4
- – Parker E.N. Interplanetary dynamical processes. N.Y.: Interscience Publishers, 272 p. 1963.
- – Patel B.D., Joshi B., Cho K.-S., Kim R.-S., Moon Y.-J. Near-earth interplanetary coronal mass ejections and their association with DH type II radio bursts during solar cycles 23 and 24 // Solar Phys. V. 297. № 10. ID 139. 2022. https://doi.org/10.1007/s11207-022-02073-7
- – Richardson I.G. Energetic particles and corotating interaction regions in the solar wind // Space Sci. Rev. V. 111. № 3. P. 267–376. 2004. https://doi.org/10.1023/B:SPAC.0000032689.52830.3e
- – Shi X., Fu H., Huang Z., Ma C., Xia L. The Solar Cycle Dependence of In Situ Properties of Two Types of Interplanetary CMEs during 1999–2020 // Astrophys. J. V. 940. № 2. ID 103. 2022. https://doi.org/10.3847/1538-4357/ac9b20
- – Thakur N. Smaller Forbush decreases in solar cycle 24: Effect of the weak CME field strength? / American Geophysical Union, Fall Meeting 2015. ID SH23A-2428. 2015.
- – Yermolaev Yu.I., Lodkina I.G., Khokhlachev A.A. et al. Drop of solar wind at the end of the 20th century // J. Geophys. Res. – Space. V. 126. № 9. ID e29618. 2021. https://doi.org/10.1029/2021JA029618
- – Yermolaev Yu.I., Lodkina I.G., Khokhlachev A.A. et al. Dynamics of large-scale solar-wind streams obtained by the Double Superposed Epoch Analysis: 5. Influence of the solar activity decrease // Universe. V. 8. № 9. ID 472. 2022. https://doi.org/10.3390/universe8090472
Дополнительные файлы









