Kichan structure of the Archean Tiksheozero greenstone belt of the Fennoscandinavian shield in the light of new geochemical and geochronological data
- 作者: Myskova T.А.1, Nikonova A.S.2, Nikonov K.А.2, Zhitnikova I.А.2, Lvov P.A.1,2
-
隶属关系:
- Institute of Precambrian Geology and Geochronology RAS
- A.P. Karpinsky Russian Geological Research Institute
- 期: 卷 69, 编号 9 (2024)
- 页面: 831-856
- 栏目: Articles
- URL: https://journals.rcsi.science/0016-7525/article/view/272953
- DOI: https://doi.org/10.31857/S0016752524090029
- EDN: https://elibrary.ru/IYMRIQ
- ID: 272953
如何引用文章
全文:
详细
New geological, geochemical, and geochronological (U-Pb zircon) data obtained on the greenstone rocks of the Kichany structure from the Archean Tiksheozero greenstone belt made it possible to clarify and supplement the previously proposed stratification schemes. The composition of the identified sequences, the order and duration of their formation have been specified. The Archean supracrustal rocks are divided into three sequences. The lower sequence (previously not identified) is represented by a bimodal series: tholeiitic metabasalts and felsic metavolcanics, with subordinate metagraywackes. It has been formed for over 20 million years (from 2788 ± 5 to 2766 ± 9 Ma). Sm–Nd data obtained on basaltic metaandesites (Sm–Nd model age 2.86 Ga and εNd = 2.92) indicate their mantle nature. Metarhyolites from the lower sequence with a Sm–Nd model age of 2.89 Ga and εNd = 2.59 were generated from a source with a short residence time. The differentiated volcanic series of the upper sequence (from basalts to dacites) has been also formed for about 20 million years (2738 ± 7–2716 ± 7 Ma). The parental melts for the intermediate–felsic metavolcanics of the upper sequence are variably enriched in ancient crustal matter. The oldest rocks with a Sm–Nd model age of 2.84 Ga and εNd = 2.67 were formed during the Early Neoarchean crust-forming event. The younger rocks have a different contribution of ancient crustal material: significant contribution for dacites (Sm–Nd model age of 3 Ga and εNd = 0.4) and less significant contribution for dacitic andesites (Sm–Nd model age of 2.89 Ga and εNd = 1.73). In the Paleoproterozoic (from 1786 ± 11 to 1796 ± 6 Ma), the supracrustal rocks of the Kichany structure underwent metamorphic transformations.
全文:
Введение
Кичанская структура является северным фрагментом архейского Тикшеозерского зеленокаменного пояса Фенноскандинавского щита, который включает еще Каликорвинскую, Мошинскую, Ириногорскую и Челозерскую структуры. Тикшеозерский зеленокаменный пояс, в свою очередь, входит в Северо-Карельскую систему зеленокаменных поясов. Пояс занимает пограничное положение между архейским Карельским кратоном и архейским Беломорским коллизионным орогеном и прослеживается с северо-запада на юго-восток примерно на 120 км при ширине до 2 км. Одни исследователи Северо-Карельскую систему зеленокаменных поясов рассматривают в составе Карельской гранит-зеленокаменной области (Бибикова и др., 2003; Милькевич и др., 2007), другие — включают в состав Беломорского подвижного пояса (Кожевников, 2000; Слабунов, 2008). Зеленокаменные образования представлены дифференцированными сериями вулканогенных пород, метаморфизованными в условиях амфиболитовой и эпидот-амфиболитовой фаций повышенных давлений, характерных для Беломорского подвижного пояса.
На сегодняшний день для территории Северо-Карельской системы архейских зеленокаменных поясов известны два варианта интерпретации условий формирования зеленокаменных структур. Один из них — аккреционная модель В.Н. Кожевникова (Кожевников, 2000), который предложил интерпретировать структуры как тектонический коллаж, не сохранивший первичных последовательностей, а при описании стратиграфических единиц, слагающих разрезы, использовать термин стратотектоническая ассоциация (СТА). Согласно такому подходу, в пределах Кичанской структуры А.И. Слабуновым было выделено две стратотектонические ассоциации: коматиит-толеитовая (супрасубдукционных офиолитов) и средне-кислых вулканитов (островодужный дифференцированный комплекс) (Слабунов, 2008). Другой подход предусматривает наличие стратиграфических разрезов в зеленокаменных поясах (Милькевич и др., 2003). Этими исследователями показано, что зеленокаменные породы Кичанской структуры по геологическим и геохимическим характеристикам сопоставимы с вулканическими сериями кайнозойских островных дуг и их формирование вполне объяснимо последовательной эволюцией магматизма от условий рифтогенеза (задугового спрединга), через островодужную стадию, до обстановки активной континентальной окраины. Возможность второй палеогеодинамической реконструкции также подтверждается присутствием пород бонинитовой серии и офиолитов среди метавулканитов Ириногорской структуры (Щипанский и др., 2001).
Р.И. Милькевич с соавторами (2003) супракрустальные образования Кичанской структуры были хорошо охарактеризованы геохимически и разделены на три толщи: нижнюю амфиболитовую (толеитовых базальтов), среднюю биотитовых, амфибол-биотитовых и гранат-биотит-амфиболовых гнейсов (средне-кислых вулканитов) и верхнюю биотитовых, гранат-биотитовых гнейсов с телами биотит-амфиболовых сланцев (средне-кислых туфов с горизонтами известково-щелочных базальтов).
В легендах к государственным геологическим картам Карелии (Государственная…, 2012, Государственная..., 2013) супракрустальные образования Тикшеозерского зеленокаменного пояса отнесены к тикшеозерской серии неоархея, включающей (снизу вверх): верхнеозерскую (амфиболиты), хизоварскую (биотитовые, гранат-биотит-амфиболовые гнейсы и сланцы) и челозерскую (амфиболиты) свиты.
Из сказанного видно, что однозначности в вопросе стратиграфического расчленения пород Кичанской структуры и модели ее формирования пока нет, что, возможно, в большой степени связано с недостатком геохронологических данных. До настоящего времени были получены всего лишь две датировки (U-Pb по циркону) метавулканитов из хизоварской свиты Кичанской структуры: для метатуфа андезита 2735 ± 20 млн лет (Милькевич и др., 2007) и метаандезита 2720 ± 20 млн лет (Левченков и др., 2003). Известен также возраст плагиомикроклиновых гранитов (2674 ± 4 млн лет), развитых на полуострове Кичаны (Другова и др., 1995).
Наши работы позволили выделить в основании разреза новую толщу, геохимически охарактеризовать породы стратиграфических подразделений Кичанской структуры, определить возраст пород и установить длительность формирования выделенных толщ и, в итоге, предложить обновленный вариант стратиграфической схемы этой структуры.
Геологическая характеристика
Кичанская структура является фрагментом Тикшеозерского зеленокаменного пояса, который, в свою очередь, входит в состав Северо-Карельской системы архейских зеленокаменных поясов (Слабунов, 2008 и др.). Границы супракрустальных пород этой структуры с гранитоидами фундамента тектонизированы и большей частью скрыты под кайнозойскими образованиями. Супракрустальные породы имеют преобладающие северо-западные простирания и крутые падения, в большинстве случаев на юго-запад, реже на северо-восток.
Проведенные нами исследования включали изучение детальных стратотипических разрезов, минерального и химического состава пород, изотопного U-Pb (по циркону) возраста и анализа Sm-Nd изотопно-геохимических систем и позволили разделить архейские супракрустальные породы Кичанской структуры на три толщи — нижнюю, среднюю и верхнюю (рис. 1). Разрез наращивается с востока на запад.
Нижняя толща (мощностью до 2000 м) развита на северо-востоке структуры к юго-востоку от оз. Болотное (рис. 1). Ранее исследователями эта толща не выделялась. Она сложена двумя типами пород — амфиболитами и гнейсами, с небольшим преобладанием первых над вторыми. Наиболее представительные и сопоставимые между собой фрагменты разреза изучены северо-восточнее оз. Онтулянкангас (рис. 1, 2а,в). Амфиболиты и гнейсы присутствуют в разрезе в виде чередующихся пластов, имеющих различную мощность. Больше характерны мощные горизонты (100–400 м), сложенные однородными по составу амфиболитами или гнейсами. Редко встречаются зоны частого чередования пластов (мощностью первые десятки метров) с преобладанием гнейсов над амфиболитами и участки с более тонким переслаиванием (десятки сантиметров). Простирание сланцеватости пород северо-западное, падение преимущественно крутое (60–75°, редко 30–40°) в южных румбах.
Рис. 1. Схематическая геологическая карта Кичанской структуры: 1 — нерасчлененный комплекс габбро-норит-лерцолитов; 2 — амфиболиты с Grt и без него (метабазальты и метаандезибазальты) нижней толщи; 3 — Bt (редко с Grt) гнейсы (кислые метавулканиты, в подчиненном количестве метаграувакки) нижней толщи; 4 –амфиболиты с Grt и без него (метабазальты и метаандезибазальты) средней толщи; 5 — Bt, Grt-Bt, Amp-Grt-Bt гнейсы (средние и кислые метавулканиты), в подчиненном количестве амфиболиты (основные метавулканиты) верхней толщи; 6 — архейские гранитоиды нерасчлененные; 7 — разломы; 8 — места отбора геохронологических проб: в числителе — значение возраста в млн лет, в знаменателе — номер пробы; 9 — условные границы между выделенными толщами, римскими цифрами обозначены площади распространения нижней (I), средней (II) и верхней (III) толщ; 10 — контуры геологических схем строения фрагментов разреза.
Средняя толща (мощностью порядка 1500 м), развитая юго-западнее, представлена амфиболитами, преимущественно гранатовыми, реже амфиболитами без граната (рис. 1). Эта толща на имеющихся стратиграфических схемах соответствует верхнеозерской свите тикшеозерской серии неоархея (Государственная…, 2012, 2013), коматиит-толеитовой стратотектонической ассоциации по А.И. Слабунову (2008) и нижней амфиболитовой толще, описанной Р.И. Милькевич с соавторами (Милькевич и др., 2003). Фрагменты разреза толщи изучены между озерами Верхние и Средние Кичаны (рис. 1, 2б). Породы имеют однородную или полосчатую текстуру, что позволяет интерпретировать их как метаморфизованные лавы и туфы. В изученном разрезе также присутствуют относительно маломощные горизонты (150 и 100 м) биотитовых, биотит-амфиболовых и гранат-амфибол-биотитовых гнейсов (предположительно более кислых по составу метавулканитов). Простирание сланцеватости в породах северо-западное, падение преимущественно на юго-запад под углами 40–80°.
Рис. 2. Геологические схемы строения фрагментов разреза нижней (а, в), средней (б) и верхней (г) толщ. 1 и 2 — Grt амфиболиты и Pl амфиболиты соответственно (метабазальты и метаандезибазальты); 3 — Bt (редко с Grt) гнейсы (кислые метавулканиты нижней толщи, в подчиненном количестве метаграувакки); 4 — Bt гнейсы (средние и кислые метавулканиты), в подчиненном количестве амфиболиты (основные метавулканиты) верхней толщи; 5 — архейские гранитоиды нерасчлененные; 6 — диориты; 7 — пегматоидные граниты; 8 — тела габбро; 9 — полосы Amp-Bt гнейсов среди Bt гнейсов; 10 — полосы Grt-Bt гнейсов среди Bt гнейсов; 11 — элементы залегания пород (а – наклонные, цифрами указан угол падения, б — вертикальные). Цифрами обозначены номера обнажений.
Среди амфиболитов этой толщи А.И. Слабуновым (2008) встречены редкие тела ультрабазитов. Они представлены ортопироксен-амфиболовыми сланцами. Среди них выделяются мелкие линзовидные тела (мощностью 1.5–3 м) и относительно крупные (мощностью десятки и сотни метров). А.И. Слабуновым (2008) мелкие тела предварительно интерпретированы как коматииты (хотя отсутствие спинифекс структур не позволяет до конца быть уверенными в их эффузивной природе), крупные — как их интрузивные аналоги.
Верхняя толща (мощностью более 2000 м) протягивается в виде широкой полосы с северо-запада на юго-восток от оз. Кангас (на северо-западе) до юго-восточного окончания оз. Верхние Кичаны (на юго-востоке), распространяясь и далее в юго-восточном направлении (рис. 1). Она соответствует ранее выделяемым средней и верхней толщам (Милькевич и др., 2003), хизоварской свите (Государственная…, 2012; Государственная..., 2013) и стратотектонической ассоциации средне-кислых вулканитов (Слабунов, 2008). Ее разрезы изучены в береговых обнажениях и на островах оз. Верхние Кичаны (рис. 1, 2г), а также на западе и юго-востоке Кичанской структуры. Толща представлена гнейсами пестрого минерального состава с широкими вариациями содержаний темноцветных (Bt, Amp, Grt, Ms и редко Px) и светлых (Fsp, Qz) минералов (здесь и далее сокращения названий минералов приведены по Whitney, Evans, 2010). Амфиболиты присутствуют только в виде редких маломощных прослоев, что придает породам в этих случаях полосчатый облик. В гнейсах иногда встречаются реликты косой слоистости, что свидетельствует о присутствии среди лавовых потоков туфогенных пачек. Общее простирание сланцеватости пород северо-западное, падение на северо-восток под углами 50–65°.
Петрография пород
Нижняя толща
Амфиболиты — темно-серые с зеленоватым оттенком породы, мелко-среднезернистые, местами сланцеватые и тонкополосчатые. Среди амфиболитов встречаются как гранатовые, так и безгранатовые разности, редко скаполитовые. В составе амфиболитов преобладает амфибол (обыкновенная роговая обманка) — 30–75% и плагиоклаз (андезин-лабрадор, редко альбит-олигоклаз) — 30–45%, кварц 5–20%, в случае присутствия граната его содержание может достигать 20%, в некоторых случаях присутствует биотит. Вторичные минералы — скаполит, эпидот, хлорит и карбонат; акцессорные — титанит, апатит, циркон, рудные минералы. Структура гранонематобластовая, порфиробластовая. Разновидности амфиболитов имеют между собой постепенные переходы.
Гнейсы варьируют по зернистости от тонко до средне-мелкозернистых и представлены биотитовыми и гранат-биотитовыми разностями, среди которых нередко наблюдаются глиноземистые разновидности с мелкими зернами кианита и турмалина; изредка в гнейсах присутствует амфибол. Зерна кианита видны только в шлифе, поэтому долю глиноземистых гнейсов в разрезе нижней толщи оценить трудно. В составе гнейсов из темноцветных минералов преобладает биотит (7–20%), содержания граната варьируют от 0 до 20%, и он распределен неравномерно: характерны постепенные переходы между безгранатовыми, гранатсодержащими и обогащенными гранатом разностями. Амфибол редок, но его содержание иногда достигает 15–20%. В глиноземистых разностях присутствуют мусковит (5–7%), кианит (1–10%) и турмалин (единичные зерна). Вторичные минералы — хлорит, акцессорные — апатит, циркон, рудные минералы. В случаях, когда пирит присутствует в достаточно ощутимых количествах, породы становятся обохренными и приобретают «медовую» окраску. Структура лепидогранобластовая, порфиробластовая, текстура сланцеватая.
Средняя толща
Амфиболиты представлены плагио- и гранатовыми разностями, мелко-среднезернистыми. В их составе преобладает амфибол — 50–90%, плагиоклаз — 30–40%, в случае присутствия граната его содержание может достигать 20%. В небольшом количестве присутствует скаполит. Вторичные минералы — эпидот (1–7%), карбонат (5–10%), в небольшом количестве хлорит; акцессорные — рудные минералы (до 3%). Структура гранонематобластовая, порфиробластовая. Разновидности амфиболитов имеют между собой постепенные переходы.
Гнейсы содержат биотит (3–15%), амфибол (10–20%), гранат (1–3%), плагиоклаз (30–40%), кварц (20–30%), небольшое количество карбоната и скаполита (до 5–10%), редко мусковит (до 5%), из акцессорных — рудные минералы (1–3%). Структура лепидогранобластовая, порфиробластовая.
Верхняя толща
Представлена гнейсами пестрого минерального состава с большими вариациями темноцветных минералов и редкими маломощными прослоями амфиболитов и кристаллосланцев.
Гнейсы биотитовые — тонко- и мелкозернистые и сложены плагиоклазом 65–70%, кварцем 15–20%, коричневым биотитом 5–20%, мусковитом 1%, иногда скаполитом, карбонатом. Акцессорные минералы — апатит, циркон.
Гнейсы амфибол-биотитовые — мелкозернистые и состоят из плагиоклаза 70–75%, кварца 5–10%, роговой обманки 3–15%, биотита 10–20%, эпидота, хлорита, кальцита. Акцессорные минералы — циркон, рудный минерал.
Гнейсы гранат-биотитовые — мелкозернистые и включают плагиоклаз 60–65%, кварц 20–25%, зеленовато-коричневый биотит 7–20%, гранат 3–7%, акцессорные минералы — апатит, циркон.
Гнейсы гранат-биотит-амфиболовые — мелкозернистые, сложены плагиоклазом 60–65%, кварцем 20–25%, зеленовато-коричневым биотитом 10–15%, гранатом 3–5%, роговой обманкой 1–5%, хлоритом, эпидотом. Акцессорные минералы — апатит, циркон, титанит.
Структуры гнейсов: лепидогранобластовая, порфиробластовая.
Пироксен-амфиболовые кристаллосланцы с гранатом состоят из диопсида (10–15%), амфибола (10–15%), граната (5%), плагиоклаза (55–65%), кварца (5%).
Амфиболиты содержат 35–60% амфибола, 0–20% граната, 1–7% биотита и до 15% эпидота, 30–40% плагиоклаза.
Методика исследований
Концентрации главных, редких и редкоземельных элементов определены в 74 пробах метавулканитов в Центральной лаборатории ВСЕГЕИ, Санкт-Петербург. Концентрации основных породообразующих оксидов определялись методом рентгенофлуоресцентной спектрометрии с использованием спектрометра ARL 9800 по стандартной методике. Нижний предел определения оксидов петрогенных элементов составляет 0.01–0.05%. Содержания редких и редкоземельных элементов определялись методом масс-спектрометрии с индуктивно-связанной плазмой (погрешности до 10%) с помощью системы лазерной абляции NWR 213 (ESI) (США) и квадрупольного масс-спектрометра Agilent 7700 × (Agilent Technologies, США).
U-Pb возраст оценен в цирконах из 5 проб, в этих же пробах определен изотопный состав Sm и Nd. Пробы отбирались из наименее переработанных пород, а затем отбраковывались с помощью шлифов, микрозондового анализа и аналитических данных. Выделение акцессорных цирконов проводилось по стандартной методике с использованием тяжелых жидкостей. Изотопный анализ U и Pb в цирконах выполнен на ионном микрозонде SHRIMP-II в Центре изотопных исследований ФГБУ «ВСЕГЕИ» (Санк-Петербург). Данные обрабатывались согласно процедуре, описанной в (Williams, 1998) с использованием программ SQUID (Ludwig, 2000) и Isoplot/Ex (Ludwig, 2001). Pb/U отношения нормализовались на 0.0665 для 206Pb/238U в стандартном цирконе ТЕМОRА, соответствующем возрасту 416.7 ± 1.30 млн лет (2σ) (Blaсk et al., 2003).
Рис. 3. Положение химических составов пород нижней, средней и верхней толщ на классификационных диаграммах. (а) TAS (Le Maitre et al., 1989) и (б) AFM (Irvine, Baragar, 1971). Верхняя толща: 1 — метабазальты и метаандезибазальты. 2 — метаандезиты. 3 — метадациты; средняя толща: 4 — метабазальты и метаандезибазальты; нижняя толща: 5 — метабазальты и метаандезибазальты, 6 — метадациты, 7 — метариолиты, 8 — метаграувакки.
Для выделения Nd и Sm использована методика, близкая к приведенной в работе (Richard et al., 1976). Изотопные составы Nd и Sm измерены на многоколлекторных масс-спектрометрах Finnigan MAT–261 и TRITON T1. Измеренные отношения 149Sm/147Sm нормализованы к 152Sm/147Sm = 1.783079, а 143Nd/144Nd — к 146Nd/144Nd = 0.7219. Точность определения концентраций Sm и Nd — 0.5%, изотопных отношений 147Sm/144Nd — 0.5%,143Nd/144Nd — 0.003% (2σ). Уровень холостого опыта за время исследований составлял — 0.05 нг для Sm и 0.1 нг для Nd. Средневзвешенное значение 143Nd/144Nd в Nd стандарте La Jolla по результатам 25 измерений равно 0.511850 ± 5 (2σ). При расчете величины εNd(T) использованы современные значения для однородного хондритового резервуара (CHUR) 143Nd/144Nd = 0.512638 и 147Sm/144Nd = 0.1967 (Jacobsen, Wasserburg, 1984). Sm-Nd модельные значения возраста TNd(DM) вычислены в соответствии с моделью (Goldstein, Jacobsen, 1988), согласно которой изотопный состав Nd деплетированной мантии линейно эволюционировал от 4.55 млрд лет назад и имеет современное значение εNd (0) = +10 (143Nd/144Nd) = 0.513151 147Sm/144Nd = 0.2136. Двустадийные Nd-модельные возрасты TNd (DM–2st) рассчитаны в соответствии с моделью (Keto, Jacobsen, 1987).
Геохимическая характеристика пород
Нижняя толща
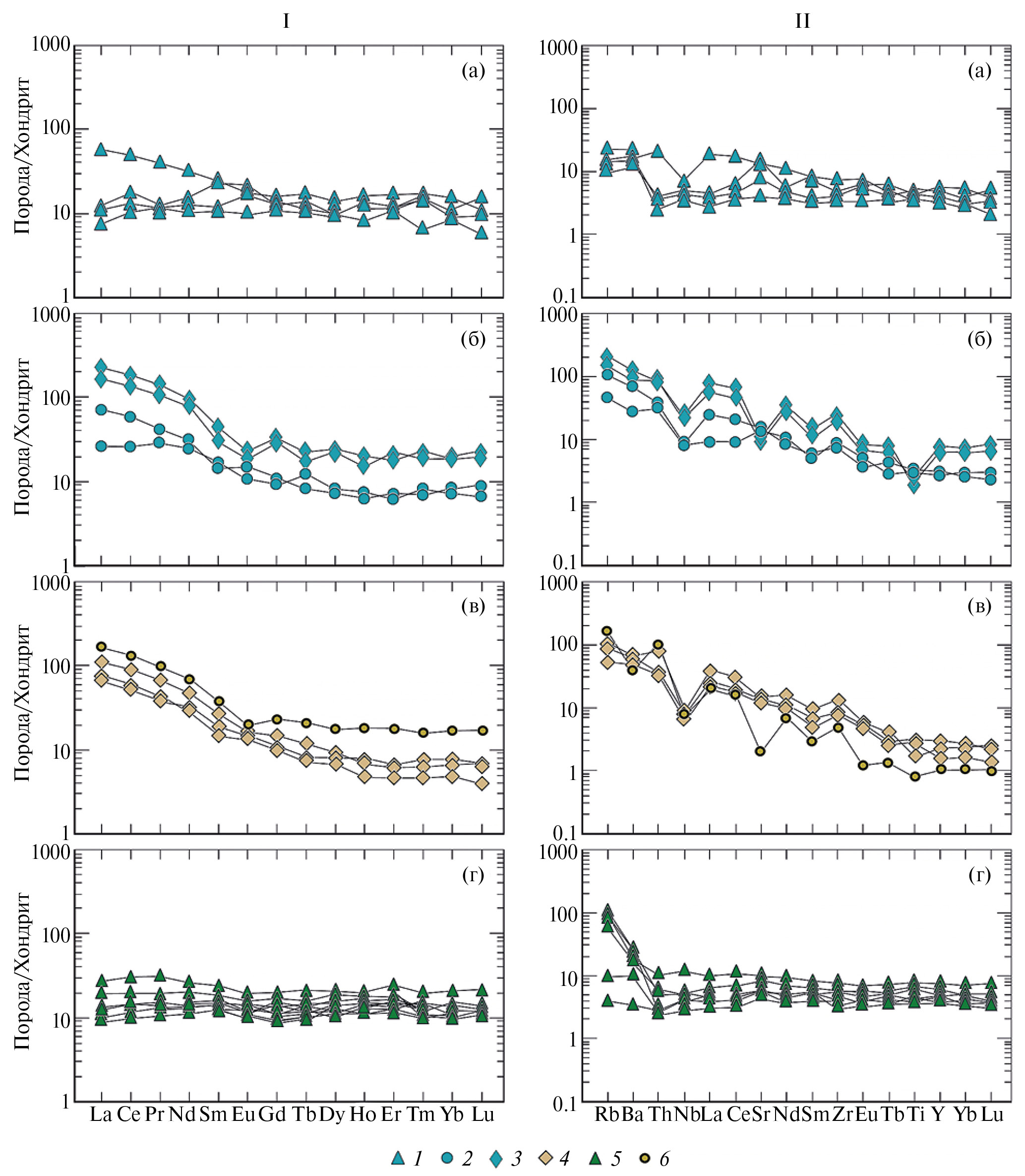
По химическому составу амфиболиты отвечают андезибазальтам, в подчиненном количестве присутствуют базальты (рис. 3а). Они имеют умеренные содержания петрогенных и редких элементов и принадлежат толеитовой серии (рис. 4, 5, 3б, табл. 1). Эти породы характеризуются пологими спектрами распределения редкоземельных элементов и отсутствием отрицательных Nb аномалий (за исключением одной пробы андезибазальта с LaN/LuN = 10 и Nb/Nb* = 0.36) (рис. 6 Iа, 6 IIа).
Большая часть гнейсов по химическому составу отвечает кислым вулканитам. Для находящихся в подчиненном количестве гнейсов с кианитом можно предположить вулканогенно-осадочную природу.
Среди кислых метавулканитов можно выделить две группы пород: дациты и риолиты. Обе разновидности характеризуются нормальной щелочностью (рис. 3а) и имеют натровую специализацию с отношениями K2O/Na2O <1 (табл. 1). Содержания K2O изменяются от 0.97 до 2.76 мас.%, что позволяет отнести породы к средне- и низко-калиевым разностям.
Метариолиты обеднены MgO (0.05–0.30 мас.%) и имеют повышенные содержания высокозарядных элементов (Zr, Hf, Nb), Y и РЗЭ (рис. 4, 5, табл. 1), относятся к толеитовой серии (рис. 3б) и являются высокоглиноземистыми (ASI = 1.17–1.22) и железистыми (Fe# = 0.84–0.97) (рис. 7). Породам свойственны наклонные спектры распределения РЗЭ для легких лантаноидов (LaN/SmN = 5) и пологие — для тяжелых (TbN/LuN = 1) с отчетливыми Eu аномалиями (Eu*/Eu = 0.6) (рис. 6 Iб). На спайдерграммах, нормированных по примитивной мантии, метариолиты демонстрируют Nb-минимумы (рис. 6 IIб).
Метадациты имеют более высокие концентрации FeOобщ, MgO и более низкие — высокозарядных элементов, Y и РЗЭ (рис. 4, 5, 6 и табл. 1). Они отличаются повышенными для данного типа пород содержаниями Cr и Ni (рис. 5, табл. 1). Породы относятся к известково-щелочной серии и являются высокоглиноземистыми и магнезиальными (Fe# = 0.64–0.67) (рис. 3б, 7). Спектры распределения РЗЭ слабо дифференцированы (LaN/LuN = 3–11) без Eu аномалий (рис. 6 Iб). На спайдерграммах присутствуют Nb минимумы (рис. 6IIб).
Химический состав гнейсов с кианитом и турмалином в целом близок кислым эффузивам и на бинарных диаграммах они тяготеют к полям метадацитов (рис. 4, 5), но с иными пропорциями Ca и Mg (CaO/MgO < 1) (табл. 1), что характерно для пород, измененных в процессе литогенеза. На классификационной диаграмме lg (SiO2/Al2O3) — lg (Na2O/K2O) (Rollinson, 1993) химические составы этих гнейсов попадают в группу граувакк (рис. 8а). Согласно классификационной диаграмме ab А.Н. Неелова (1980) они сопоставимы с химическими составами алевролитов и алевропелитов (рис. 8б) и имеют сходные с ними конфигурации линий распределения РЗЭ, приближаясь к спектрам распределения лантаноидов в постархейском среднем глинистом сланце Австралии (PAAS) (Nance, Taylor, 1976) (рис. 6 Iв, 6 IIв).
Средняя толща
По химическому составу амфиболиты отвечают базальтам и значительно реже андезибазальтам нормальной щелочности (рис. 3а) с натриевой специализацией и относятся к низко- и средне-калиевым (табл. 1). По своим геохимическим характеристикам вулканиты средней толщи являются полными аналогами метабазальтов и метаандезибазальтов нижней толщи. Они имеют обычные для базальтов и андезибазальтов содержания петрогенных элементов (рис. 4, табл. 1) и принадлежат толеитовой серии (рис. 3б). Для них характерны пологие спектры распределения РЗЭ и отсутствие ниобиевых минимумов, но часть из них обогащена крупноионными литофильными элементами (Rb и Ва) (рис. 6 Iг, 6 IIг).
Рис. 4. Вариационные диаграммы (SiO2 — петрогенные элементы, мас.%) для пород нижней, средней и верхней толщ. 1–8 — условные знаки те же, что и на рис. 3.
Рис. 5. Вариационные диаграммы (SiO2, мас.% — редкие элементы, мкг/г) для пород нижней, средней и верхней толщ. 1–8 — условные знаки те же, что и на рис. 3.
Верхняя толща
Породы представляют собой метаморфизованные вулканиты, дифференцированные по составу от базальтов до дацитов нормальной щелочности (рис. 3а). Преобладающими в разрезе толщи являются гнейсы, отвечающие вулканитам андезитового и дацитового составов. Базальты и андезибазальты, присутствующие в виде маломощных прослоев, находятся в подчиненном количестве. Дациты и большая часть андезитов принадлежат известково-щелочной серии, базальты и небольшая часть андезибазальтов и андезитов на диаграмме AFM попадает в поле толеитовой серии или занимает пограничное положение между полями толеитовой и известково-щелочной серий (рис. 3б). Вулканиты имеют натриевую специализацию, высокоглиноземистый характер и относятся как к магнезиальным, так и к железистым разностям (рис. 7, табл. 2).
Таблица 1. Представительные химические составы метавулканитов нижней и средней толщи Кичанской структуры
Компоненты | Нижняя толща | ||||||||
Амфиболиты (метабазальты и метаандезибазальты) | Bt и Grt-Bt гнейсы (метадациты) | Bt и Grt-Bt гнейсы (метариолиты) | Grt-Bt гнейсы (метаграувакки) | ||||||
1012/1 | 1111 | 1058/1* | 1113 | 1112/1 | 1112/2 | 1112* | 1109/3 | 1111/1 | |
SiO2 | 50.93 | 53.53 | 56.41 | 67.54 | 68.10 | 72.92 | 75.68 | 66.17 | 70.70 |
TiO2 | 0.99 | 1.06 | 0.79 | 0.61 | 0.57 | 0.63 | 0.43 | 0.59 | 0.37 |
Al2O3 | 14.86 | 15.68 | 17.45 | 15.22 | 15.57 | 14.00 | 13.10 | 16.59 | 15.67 |
Fe2O3 | 14.15 | 11.40 | 8.22 | 5.67 | 5.53 | 4.40 | 3.56 | 5.40 | 4.22 |
MnO | 0.30 | 0.27 | 0.16 | 0.13 | 0.10 | 0.11 | 0.04 | 0.05 | 0.05 |
MgO | 5.28 | 2.99 | 4.41 | 1.38 | 2.17 | 0.30 | 0.05 | 3.62 | 2.68 |
CaO | 11.42 | 12.76 | 6.37 | 6.49 | 3.08 | 3.12 | 3.21 | 2.43 | 2.01 |
Na2O | 1.83 | 2.00 | 5.89 | 1.99 | 2.76 | 1.75 | 2.05 | 3.84 | 2.42 |
K2O | 0.24 | 0.31 | 0.29 | 0.97 | 2.11 | 2.76 | 1.87 | 1.30 | 1.89 |
K2O/Na2O | 0.13 | 0.16 | 0.05 | 0.49 | 0.76 | 1.57 | 0.92 | 0.34 | 0.78 |
Mg# | 0.43 | 0.34 | 0.52 | 0.33 | 0.44 | 0.12 | 0.03 | 0.57 | 0.56 |
CIA | 38 | 37 | 45 | 49 | 56 | 55 | 54 | 58 | 62 |
Ba | 99.8 | 119 | 111 | 196 | 452 | 873 | 593 | 348 | 416 |
Rb | 7 | 10 | 10 | 30 | 62 | 130 | 93 | 34 | 58 |
Sr | 317 | 168 | 279 | 311 | 189 | 222 | 195 | 257 | 281 |
Zr | 53 | 46 | 83 | 91 | 101 | 235 | 268 | 95 | 146 |
Hf | 2 | 2 | 3 | 3 | 3 | 8 | 9 | 3 | 5 |
Y | 25 | 23 | 16 | 13 | 11.1 | 32 | 29 | 7.58 | 10.9 |
Nb | 3 | 3 | 5 | 6 | 4.72 | 16 | 16 | 4.78 | 6.27 |
Ta | <0.1 | <0.1 | 0.17 | 0.24 | 0.29 | 0.68 | 0.55 | 0.52 | 0.70 |
Cr | 302 | 301 | 89 | 231 | 202 | 28 | 19 | 184 | 51 |
Ni | 126 | 119 | 23 | 70 | 53 | 13 | 7 | 62 | 20 |
Co | 51 | 49 | 25 | 18 | 15 | 7 | 4 | 17 | 7 |
V | 371 | 280 | 157 | 112 | 96 | 50 | 20 | 105 | 42 |
La | 2.99 | 2.76 | 13.60 | 6.33 | 14.70 | 38.90 | 54.70 | 16.50 | 26.80 |
Ce | 11.50 | 8.07 | 30.90 | 16.10 | 34.00 | 82.80 | 115.00 | 33.30 | 56.00 |
Pr | 1.22 | 1.10 | 3.88 | 2.85 | 4.03 | 10.10 | 13.60 | 4.00 | 6.46 |
Nd | 7.46 | 6.47 | 15.20 | 11.90 | 15.50 | 37.90 | 44.30 | 15.30 | 22.80 |
Sm | 3.73 | 1.78 | 3.54 | 2.55 | 2.90 | 4.76 | 6.96 | 2.85 | 4.19 |
Eu | 1.02 | 1.07 | 1.27 | 0.63 | 0.83 | 1.07 | 1.37 | 0.85 | 0.96 |
Gd | 3.26 | 2.72 | 2.55 | 1.95 | 2.40 | 6.06 | 6.77 | 2.28 | 3.09 |
Tb | 0.65 | 0.44 | 0.50 | 0.48 | 0.39 | 0.65 | 0.85 | 0.29 | 0.43 |
Dy | 3.62 | 3.34 | 2.59 | 1.99 | 2.41 | 5.69 | 5.89 | 1.69 | 2.41 |
Ho | 0.92 | 0.78 | 0.48 | 0.35 | 0.42 | 0.86 | 1.15 | 0.27 | 0.39 |
Er | 2.87 | 2.06 | 1.76 | 1.14 | 1.39 | 3.42 | 3.05 | 0.78 | 1.07 |
Tm | 0.44 | 0.39 | 0.17 | 0.18 | 0.21 | 0.48 | 0.58 | 0.12 | 0.16 |
Yb | 2.70 | 1.85 | 1.58 | 1.36 | 1.28 | 3.29 | 3.18 | 0.81 | 1.16 |
Lu | 0.28 | 0.40 | 0.15 | 0.23 | 0.22 | 0.58 | 0.50 | 0.10 | 0.17 |
Th | 0.32 | 0.31 | 1.76 | 2.91 | 2.92 | 7.21 | 7.88 | 3.16 | 7.05 |
U | <0.1 | <0.1 | 0.32 | 0.53 | 0.86 | 1.49 | 0.66 | 0.81 | 1.84 |
ΣРЗЭ | 43 | 33 | 78 | 48 | 81 | 197 | 258 | 79 | 126 |
LaN/LuN | 1 | 1 | 6 | 3 | 8 | 8 | 12 | 15 | 17 |
Eu/Eu* | 0.89 | 1.49 | 1.29 | 0.86 | 0.96 | 0.61 | 0.61 | 1.02 | 0.82 |
Sr/Y | 13 | 7 | 18 | 23 | 17 | 7 | 7 | 34 | 26 |
Таблица 1. Окончание
Компоненты | Средняя толща Амфиболиты (метабазальты и метаандезибазальты) | |||||
1058/2 | 1065 | 1069/3 | 1069/5 | 1001/1 | 1068 | |
SiO2 | 47.87 | 48.19 | 50.45 | 50.67 | 51.67 | 52.85 |
TiO2 | 0.97 | 1.33 | 1.73 | 0.94 | 0.87 | 1.46 |
Al2O3 | 15.59 | 15.59 | 15.63 | 16.22 | 15.80 | 15.48 |
Fe2O3 | 13.66 | 14.16 | 14.21 | 13.18 | 13.86 | 13.14 |
MnO | 0.22 | 0.21 | 0.19 | 0.22 | 0.14 | 0.29 |
MgO | 8.12 | 7.09 | 4.46 | 6.05 | 4.19 | 3.04 |
CaO | 11.23 | 10.16 | 10.15 | 9.89 | 12.23 | 10.39 |
Na2O | 2.06 | 2.59 | 2.27 | 1.76 | 1.12 | 2.31 |
K2O | 0.27 | 0.68 | 0.90 | 1.06 | 0.13 | 1.06 |
K2O/Na2O | 0.13 | 0.26 | 0.40 | 0.60 | 0.12 | 0.46 |
Mg# | 0.54 | 0.50 | 0.38 | 0.48 | 0.37 | 0.31 |
CIA | 39 | 40 | 40 | 42 | 39 | 39 |
Ba | 71 | 124 | 127 | 177 | 25 | 168 |
Rb | 6 | 37 | 70 | 67 | 3 | 60 |
Sr | 116 | 121 | 205 | 119 | 119 | 177 |
Zr | 43 | 61 | 87 | 48 | 37 | 67 |
Hf | 2 | 2 | 2 | 2 | 2 | 3 |
Y | 18 | 21.4 | 34 | 21 | 21 | 28 |
Nb | 2.1 | 3.58 | 9 | 3 | 3 | 4 |
Ta | 0.21 | 0.26 | 0.21 | 0.14 | <0.1 | 0.16 |
Cr | 180 | 136 | 234 | 351 | 327 | 196 |
Ni | 67 | 65 | 118 | 166 | 121 | 125 |
Co | 32 | 30 | 46 | 51 | 36 | 52 |
V | 249 | 256 | 394 | 270 | 297 | 309 |
La | 2.13 | 3.15 | 6.63 | 2.75 | 3.44 | 4.71 |
Ce | 5.98 | 8.42 | 19.30 | 7.38 | 9.22 | 12.60 |
Pr | 0.95 | 1.27 | 3.13 | 1.32 | 1.59 | 1.89 |
Nd | 5.09 | 6.57 | 12.60 | 7.05 | 6.97 | 9.67 |
Sm | 1.91 | 2.26 | 3.67 | 2.28 | 2.45 | 2.83 |
Eu | 0.70 | 0.79 | 1.13 | 0.66 | 0.70 | 0.92 |
Gd | 2.28 | 2.74 | 4.07 | 3.10 | 2.08 | 3.41 |
Tb | 0.43 | 0.53 | 0.80 | 0.51 | 0.42 | 0.59 |
Dy | 3.13 | 3.77 | 5.20 | 2.92 | 3.70 | 4.95 |
Ho | 0.63 | 0.76 | 1.12 | 0.79 | 0.82 | 1.01 |
Er | 2.08 | 2.36 | 4.07 | 2.26 | 2.39 | 3.02 |
Tm | 0.25 | 0.31 | 0.51 | 0.38 | 0.37 | 0.31 |
Yb | 1.99 | 2.43 | 3.56 | 1.84 | 2.36 | 2.46 |
Lu | 0.30 | 0.35 | 0.55 | 0.31 | 0.32 | 0.31 |
Th | 0.21 | 0.49 | 0.86 | 0.23 | 0.25 | 0.45 |
U | <0.1 | 0.19 | 0.17 | <0.1 | 0.34 | 0.11 |
ΣРЗЭ | 28 | 36 | 66 | 34 | 37 | 49 |
LaN/LuN | 1 | 1 | 1 | 1 | 1 | 1 |
Eu/Eu* | 1.03 | 0.97 | 0.89 | 0.76 | 0.95 | 0.91 |
Sr/Y | 6 | 6 | 6 | 6 | 6 | 6 |
Примечания. Главные элементы приведены в мас. %, редкие элементы — в мкг/г, все железо в виде Fe2O3. CIA = 100×[Al2O3/(Al2O3+CaOsil+Na2O+K2O)].
1058/1* и 1112* — геохронологические пробы. Mg# — магнезиальность.
Рис. 6. Распределения редких и редкоземельных элементов для пород нижней и средней толщ, нормированные к хондриту и примитивной мантии по (Sun, McDonough, 1989). Нижняя толща: 1 — метабазальты и метаандезибазальты, 2 — метадациты, 3 — метариолиты, 4 — метаграувакки; средняя толща: 5 — метабазальты и метаандезибазальты; 6 — PAAS (постархейский средний глинистый сланец Австралии) (Nance, Taylor, 1976).
Все разновидности вулканитов от базальтов до дацитов характеризуются сходными фракционированными спектрами распределения РЗЭ (LaN/LuN = 10–20), в ряде случаев с существенным обеднением тяжелыми лантаноидами (LaN/LuN до 33–40), без заметных европиевых аномалий и с отчетливыми Nb минимумами (рис. 9).
Результаты геохронологических исследований
Возраст получен для цирконов из двух проб метавулканитов нижней толщи (метариолита и метаандезибазальта) и из трех проб метавулканитов верхней толщи (метадацитов и их туфов и метаандезидацитов). Места отбора проб показаны на рис. 1, а результаты изотопного анализа приведены в таблице 3.
Рис. 7. Классификационные диаграммы для метавулканитов нижней и верхней толщ: (а) — диаграмма FeO*/(FeO*+MgO)–SiO2 (Frost et al., 2001); (б) — диаграмма Al2O3/(Na2O+K2O)–Al2O3/(CaO+Na2O+K2O) (Maniar, Piccoli, 1989). Верхняя толща: 1 — метаандезиты, 2 — метадациты; нижняя толща: 3 — метадациты, 4 — метариолиты.
Рис. 8. Положение метаграувакк нижней толщи на классификационных диаграммах: (а) lg (Na2O/K2O) — lg (SiO2/Al2O3) (Rollinson, 1993), (б) Al/Si — (Fe2+Fe3+Mn+Ca)/1000 (Неелов, 1980) и (в) La–Th–Sc, Th–Sc–Zr/10 и Th–Co–Zr/10 (Bhatia, 1983); (а) 1 — граувакки, 2 — лититовые вакки, 3 — аркозы; (б) петрохимические характеристики приведены в атомных количествах; (в) A — океанические островные дуги, B — континентальные островные дуги, C — активные континентальные окраины, D — пассивные континентальные окраины. ГР — гранит, ТОН — тоналит, КОМ — коматиит, ТОЛ — толеит.
Нижняя толща
Проба 1112 (Grt-Bt гнейс по риолиту, 66°38′13.14″ с.ш., 31°45′46.14″ в.д.). Циркон представлен полупрозрачными светло-розовыми короткопризматическими зернами среднего размера (75–150 мкм), с коэффициентом удлинения 2–3. Им свойственны низкая интенсивность катодолюминесценции и тонкая зональность (рис. 10 Iа), средние содержания U (79–264 мкг/г), Th (58–247 мкг/г) и значения Th/U отношений (0.59–1.18) (табл. 3). Все перечисленные характеристики присущи цирконам магматической природы (Corfu et al., 2003; Hoskin, Schaltegger, 2003) и, рассчитанный для 8 зерен конкордантный возраст 2788 ± 8 млн лет (рис. 10 Iб), скорее всего, соответствует времени кристаллизации пород. Такой же возраст (2788 ± 5 млн лет, СКВО = 1.8) для 10 точек получен и при подсчете средневзвешенного значения по отношению 207Pb/206Pb.
Проба 1058/1 (Scp-Amp гнейс по андезибазальту, 66°37′30.89″ с.ш., 31°46′17.61″ в.д.). Циркон представлен светло-розовыми прозрачными призматическими субидиоморфными кристаллами длиной 200–250 мкм с коэффициентом удлинения 2–3. В катодолюминесценции циркон имеет хорошо сохранившуюся осцилляторную зональность, а некоторые зерна (на рисунке 10 IIа) окаймлены темными незональными оболочками (аналитические точки 6.2, 7.1re, 8.1re, 10.1re). Для областей с тонкой зональностью характерны относительно низкие содержания U (33–103 мкг/г), Th (22–80 мкг/г) и средние Th/U отношения (0.43–0.83) (табл. 3). Оболочки имеют высокие содержания U (410–575 мкг/г) и низкие Th (4–6 мкг/г) и очень низкие Th/U отношения (0.01) (табл. 3). Перечисленные характеристики свидетельствуют в пользу магматической природы тонкозональных зерен и метаморфического происхождения темных незональных оболочек (Rubatto, 2002). Возраст кристаллизации пород, рассчитанный для 8 аналитических точек с тонкой зональностью, как по верхнему пересечению дискордии с конкордией, так и его средневзвешенное значение по отношению 207Pb/206Pb, составил 2766 ± 9 млн лет (СКВО = 0.31) (рис. 10 IIб). Возраст наложенного процесса, рассчитанный для 4-х точек из оболочек, равен 1788 ± 8 млн лет (СКВО = 0.66) (рис. 10 IIв).
Таблица 2. Представительные химические составы метавулканитов верхней толщи Кичанской структуры
Компо- ненты | Амфиболиты (метабазальты и метаандезибазальты) | Bt, Amp-Bt, Grt-Bt, Grt-Amp-Bt гнейсы (метаандезиты и метаандезидациты) | ||||||||
1085 | 1088/3 | 1024/1 | 1097/2 | 1117 | 1006/1 | 1005/3 | 1021/1 | 1005/6 | 1117/3* | |
SiO2 | 49.72 | 49.95 | 53.54 | 53.70 | 55.75 | 57.74 | 59.41 | 61.62 | 62.47 | 63.68 |
TiO2 | 0.97 | 1.03 | 0.79 | 1.07 | 0.50 | 0.76 | 0.63 | 0.57 | 0.75 | 0.59 |
Al2O3 | 13.90 | 18.53 | 16.87 | 17.15 | 16.68 | 19.21 | 19.19 | 16.81 | 16.48 | 17.72 |
Fe2O3 | 10.96 | 11.68 | 11.21 | 10.68 | 9.25 | 8.06 | 8.71 | 6.89 | 8.54 | 5.76 |
MnO | 0.31 | 0.17 | 0.22 | 0.20 | 0.07 | 0.13 | 0.14 | 0.11 | 0.14 | 0.10 |
MgO | 7.60 | 6.72 | 6.38 | 3.89 | 8.34 | 1.92 | 1.09 | 3.29 | 1.53 | 1.75 |
CaO | 13.19 | 7.56 | 7.97 | 9.05 | 6.37 | 7.17 | 5.33 | 6.14 | 5.64 | 4.79 |
Na2O | 2.53 | 1.51 | 2.33 | 2.38 | 0.60 | 3.00 | 2.95 | 3.51 | 2.34 | 3.28 |
K2O | 0.82 | 2.85 | 0.69 | 1.90 | 2.43 | 2.01 | 2.55 | 1.05 | 2.11 | 2.33 |
K2O/Na2O | 0.33 | 1.89 | 0.29 | 0.80 | 4.05 | 0.67 | 0.87 | 0.30 | 0.90 | 0.71 |
Mg# | 0.58 | 0.53 | 0.53 | 0.42 | 0.64 | 0.32 | 0.20 | 0.49 | 0.26 | 0.38 |
CIA | 32 | 49 | 47 | 43 | 52 | 49 | 53 | 48 | 50 | 52 |
Ba | 294 | 997 | 178 | 400 | 499 | 740 | 733 | 412 | 542 | 688 |
Rb | 12 | 96 | 15 | 76 | 74 | 75 | 106 | 27 | 86 | 117 |
Sr | 288 | 906 | 163 | 595 | 158 | 799 | 609 | 471 | 349 | 742 |
Zr | 111 | 83 | 64 | 98 | 68 | 125 | 83 | 84 | 97 | 103 |
Hf | 3.26 | 2.39 | 1.86 | 4.23 | 1.91 | 3.51 | 2.20 | 2.36 | 2.79 | 3.50 |
Y | 20.7 | 18.8 | 16.3 | 20 | 12.6 | 20 | 13 | 10.8 | 19 | 14 |
Nb | 7 | 5 | 4 | 10 | 5 | 6 | 7 | 5 | 6 | 7 |
Ta | 0.61 | 0.40 | 0.35 | 0.26 | 0.81 | 0.14 | 0.13 | 0.45 | 0.15 | 0.29 |
Cr | 250 | 69 | 206 | 134 | 611 | 15 | 28 | 152 | 127 | 167 |
Ni | 94 | 19 | 70 | 28 | 54 | 8 | 26 | 40 | 53 | 47 |
Co | 36 | 24 | 26 | 33 | 24 | 21 | 29 | 23 | 28 | 21 |
V | 143 | 202 | 185 | 202 | 165 | 147 | 153 | 115 | 187 | 117 |
La | 23.50 | 15.40 | 7.24 | 25.50 | 22.00 | 33.30 | 26.90 | 15.10 | 20.20 | 30.60 |
Ce | 52.60 | 33.70 | 16.20 | 56.40 | 48.50 | 66.50 | 58.50 | 32.60 | 39.20 | 63.70 |
Pr | 6.96 | 4.68 | 2.07 | 7.13 | 5.28 | 8.30 | 6.67 | 3.98 | 4.77 | 8.57 |
Nd | 29.90 | 20.50 | 8.98 | 25.80 | 20.90 | 29.80 | 28.00 | 15.20 | 19.70 | 28.10 |
Sm | 5.99 | 4.45 | 2.43 | 4.65 | 4.30 | 4.82 | 4.81 | 2.83 | 2.43 | 5.20 |
Eu | 1.40 | 1.30 | 0.79 | 1.26 | 1.37 | 1.70 | 1.28 | 0.88 | 0.99 | 1.51 |
Gd | 5.33 | 4.04 | 2.46 | 4.75 | 3.74 | 5.43 | 3.70 | 2.67 | 3.34 | 5.48 |
Tb | 0.73 | 0.58 | 0.48 | 0.67 | 0.50 | 0.61 | 0.44 | 0.30 | 0.42 | 0.68 |
Dy | 4.01 | 3.65 | 2.94 | 3.32 | 2.65 | 3.05 | 2.46 | 2.02 | 3.37 | 2.50 |
Ho | 0.71 | 0.65 | 0.57 | 0.65 | 0.43 | 0.65 | 0.49 | 0.39 | 0.61 | 0.39 |
Er | 2.06 | 2.05 | 1.93 | 1.78 | 1.20 | 2.09 | 1.47 | 1.10 | 1.87 | 1.56 |
Tm | 0.29 | 0.27 | 0.26 | 0.36 | 0.18 | 0.25 | 0.15 | 0.16 | 0.39 | 0.15 |
Yb | 2.06 | 1.95 | 1.83 | 2.22 | 1.22 | 1.71 | 1.37 | 0.96 | 1.92 | 1.37 |
Lu | 0.30 | 0.27 | 0.26 | 0.33 | 0.18 | 0.24 | 0.21 | 0.16 | 0.21 | 0.18 |
Th | 3.22 | 1.81 | 1.07 | 2.75 | 5.83 | 4.19 | 3.58 | 2.24 | 2.68 | 4.31 |
U | 0.61 | 0.46 | 0.31 | 0.47 | 1.97 | 0.72 | 0.56 | 0.49 | 0.47 | 0.79 |
ΣРЗЭ | 136 | 93 | 48 | 135 | 112 | 158 | 136 | 78 | 99 | 150 |
LaN/LuN | 8 | 6 | 3 | 8 | 13 | 14 | 14 | 11 | 8 | 16 |
Eu/Eu* | 0.76 | 0.94 | 0.99 | 0.82 | 1.04 | 1.02 | 0.93 | 0.98 | 1.06 | 0.86 |
Sr/Y | 14 | 48 | 10 | 30 | 13 | 41 | 45 | 44 | 19 | 52 |
Таблица 2. Окончание
Компоненты | Bt, Amp-Bt, Grt-Bt, Grt-Amp-Bt гнейсы (метадациты) | ||||
1004/1 | 1019/2* | 1005/1 | 1090* | 1016/1 | |
SiO2 | 64.77 | 65.75 | 67.46 | 66.53 | 70.52 |
TiO2 | 0.47 | 0.54 | 0.35 | 0.64 | 0.39 |
Al2O3 | 15.24 | 16.92 | 17.50 | 16.61 | 15.85 |
Fe2O3 | 5.20 | 5.35 | 4.29 | 5.44 | 3.52 |
MnO | 0.11 | 0.08 | 0.10 | 0.09 | 0.07 |
MgO | 2.00 | 1.40 | 0.69 | 0.91 | 0.80 |
CaO | 7.02 | 4.85 | 4.08 | 4.20 | 3.95 |
Na2O | 2.71 | 3.34 | 3.60 | 3.23 | 2.77 |
K2O | 2.47 | 1.76 | 1.92 | 2.36 | 2.13 |
K2O/Na2O | 0.91 | 0.53 | 0.53 | 0.73 | 0.77 |
Mg# | 0.43 | 0.34 | 0.24 | 0.25 | 0.31 |
CIA | 43 | 51 | 53 | 52 | 53 |
Ba | 790 | 835 | 530 | 764 | 728 |
Rb | 111 | 71 | 80 | 98 | 107 |
Sr | 542 | 947 | 502 | 696 | 571 |
Zr | 104 | 95 | 152 | 113 | 145 |
Hf | 3.12 | 2.80 | 4.10 | 3.92 | 4.13 |
Y | 17 | 13 | 11 | 9 | 9 |
Nb | 7 | 5 | 11 | 6 | 9 |
Ta | 0.31 | 5.65 | 0.33 | 0.15 | 0.32 |
Cr | 50 | 50 | 12 | 44 | 17 |
Ni | 12 | 28 | 8 | 16 | 8 |
Co | 16 | 19 | 9 | 13 | 21 |
V | 118 | 115 | 41 | 100 | 58 |
La | 35.80 | 27.70 | 42.00 | 25.80 | 39.60 |
Ce | 68.00 | 58.20 | 78.70 | 54.70 | 66.50 |
Pr | 8.00 | 6.03 | 8.42 | 6.55 | 7.68 |
Nd | 30.10 | 23.50 | 28.00 | 23.60 | 20.30 |
Sm | 5.38 | 4.98 | 4.34 | 2.53 | 3.86 |
Eu | 1.11 | 1.11 | 0.96 | 0.98 | 1.26 |
Gd | 4.82 | 2.96 | 3.36 | 3.23 | 2.89 |
Tb | 0.58 | 0.49 | 0.42 | 0.34 | 0.34 |
Dy | 3.29 | 2.04 | 1.67 | 2.27 | 1.78 |
Ho | 0.53 | 0.34 | 0.53 | 0.29 | 0.31 |
Er | 1.47 | 0.90 | 0.98 | 0.77 | 0.98 |
Tm | 0.28 | 0.16 | 0.25 | 0.08 | 0.11 |
Yb | 1.50 | 1.12 | 1.29 | 0.87 | 0.89 |
Lu | 0.22 | 0.15 | 0.16 | 0.13 | 0.13 |
Th | 6.62 | 5.09 | 7.00 | 3.32 | 9.32 |
U | 1.37 | 0.81 | 1.14 | 0.56 | 1.34 |
ΣРЗЭ | 161 | 130 | 171 | 122 | 147 |
LaN/LuN | 17 | 18 | 23 | 21 | 32 |
Eu/Eu* | 0.67 | 0.88 | 0.77 | 1.05 | 1.15 |
Sr/Y | 32 | 71 | 45 | 77 | 63 |
Примечания. Главные элементы приведены в мас.%, редкие элементы — в мкг/г, все железо в виде Fe2O3.
CIA = 100×[Al2O3/(Al2O3+CaOsil+Na2O+K2O)].
1117/3*, 1019/2* и 1090* — геохронологические пробы, Mg# — магнезиальность.
Верхняя толща
Проба 1019/2 (Amp-Bt гнейс по дациту, 66°34′42.65″ с.ш., 31°48′55.52″ в.д.). Циркон представлен коричневато-розовыми прозрачными и полупрозрачными короткопризматическими, реже изометричными субидиоморфными зернами размером 150–300 мкм, с коэффициентом удлинения 1–3. Для них характерна средняя интенсивность катодолюминесценции и преимущественно осцилляторная, реже секториальная зональность (рис. 11 Iа). Циркон имеет относительно низкие концентрации U (39–186 мкг/г) и Th (18–129 мкг/г) и средние Th/U отношения (0.41–1.39) (табл. 3). Все приведенные характеристики свидетельствуют в пользу магматической природы циркона (Corfu et al., 2003; Hoskin, Schaltegger, 2003). Средневзвешенное значение возраста кристаллизации по отношению 207Pb/206Pb для 11 точек составляет 2738 ± 7 млн лет (СКВО = 1.14). Аналогичный возраст получен по верхнему пересечению дискордии с конкордией (рис. 11 Iб).
Проба 1090 (Ms-Scp-Bt гнейс по туфу дацита, 66°35′12.93″ с.ш., 31°44′26.54″ в.д.). Зерна циркона светло-розовые полупрозрачные субидиоморфные короткопризматические, размером от 150 до 300 мкм, с удлинением 2–3. Для них характерна осцилляторная зональность (рис. 11 IIа), невысокие содержания U (62–109 мкг/г), Th (30–83 мкг/г) и средние значения Th/U отношений (0.50–1.01) (табл. 3), что свойственно цирконам магматического происхождения (Corfu et al., 2003; Hoskin, Schaltegger, 2003). Для 8 аналитических точек получен средневзвешенный возраст по отношению 207Pb/206Pb 2735 ± 7 млн лет (СКВО = 1.3) такой же, как и рассчитанный по верхнему пересечению дискордии с конкордией (рис. 11 IIб).
Рис. 9. Распределения редких и редкоземельных элементов для метавулканитов верхней толщи, нормированные к хондриту и примитивной мантии по (Sun, McDonough, 1989): 1 — метабазальты и метаандезибазальты, 2 — метаандезиты, 3 — метадациты.
Проба 1117–3 (Amp-Bt гнейс по андезидациту, 66°35′44.7″ с.ш., 31°34′11.98″ в.д.). Циркон представлен светло-розовыми с коричневатым оттенком прозрачными короткопризматическими зернами среднего размера (150–250 мкм), с коэффициентом удлинения 1.5–2. Им свойственна низкая интенсивность катодолюминесценции с плохо различимыми реликтами зональности (рис. 11 IIIа), низкие и средние содержания U (54–229 мкг/г), Th (37–131 мкг/г) и средние значения Th/U (0.40–0.97) (табл. 3). Призматический габитус зерен циркона, присутствие реликтов осцилляторной зональности и Th/U отношения свидетельствуют в пользу их магматической природы (Corfu et al., 2003; Hoskin, Schaltegger, 2003), и полученный возраст, вероятнее всего, соответствует времени кристаллизации пород. Рассчитанное по верхнему пересечению дискордии с конкордией и средневзвешенное значение возраста по отношению 207Pb/206Pb для 10 аналитических точек, расположенных на конкордии и вблизи нее, составляет 2716 ± 7 млн лет (СКВО = 0.59) (рис. 11 IIIб).
Обсуждение результатов
Проведенные исследования позволили предложить новый вариант стратификации зеленокаменных образований Кичанской структуры, в боль-шинстве моментов совпадающий со схемой Р.И. Милькевич с соавторами (2003), но заметно подкорректированный и дополненный новыми данными по строению разреза, геохимии и возрасту пород. Супракрустальные образования разделены авторами статьи на три толщи (нижнюю, среднюю и верхнюю). Разрез наращивается с востока на запад.
Нижняя толща, изученная авторами статьи на востоке Кичанской структуры, ранее исследователями не выделялась. Она представлена чередующимися в разрезе приблизительно в одинаковых объемах основными (базальты и андезибазальты) и кислыми (дациты и риолиты) метавулканитами, в подчиненном количестве присутствуют вулканогенно-осадочные породы (метаграувакки).
Рис. 10. Изображения в катодолюминесценции (а) и графики с конкордией (б, в) для цирконов из метавулканитов нижней толщи. I — метариолит (проба 1112), II — метаандезибазальт (проба 1058/1).
Рис. 11. Изображения в катодолюминесценции (а) и графики с конкордией (б) для цирконов из метавулканитов верхней толщи. I — метадацит (проба 1019/2), II — туф метадацита (проба 1090), III – метаандезидацит (проба 1117/3).
Метариолиты нижней толщи по геохимическим характеристикам (повышенные содержания высокозарядных элементов и железистость) (рис. 5б,в,г; 7а; табл. 1) и высокой сумме редких и редкоземельных элементов (Zr+Nb+Ce+Y) (рис. 12в) близки гранитам A-типа. Присутствие Nb-минимумов (рис. 6 IIб) и положение химических составов на дискриминационных диаграммах Y–Nb, Yb–Ta (рис. 12б,г) в поле островных дуг роднит метариолиты с породами надсубдукционных обстановок.
Метадациты нижней толщи также обладают характеристиками островодужных вулканитов: относятся к известково-щелочной серии, имеют дифференцированные спектры распределения РЗЭ с Nb минимумами (рис. 6 Iб, 6 IIб) и на дискриминационных диаграммах Y–Nb и Yb–Ta (рис. 12 б,г) их составы попадают в поля островных дуг.
Таблица 3. U-Pb изотопные данные для цирконов из метавулканитов Кичанской структуры
Зерно точка | 206Pbc, % | Содержания | 232Th/ 238U | Изотопные отношения с коррекцией на обыкновенный свинец | Rho | Изотопный возраст с коррекцией на обыкновенный свинец | Disc, % | |||||
206Pb*, мкг/г | U, мкг/г | Th, мкг/г | 207Pb/206Pb, ±% | 206Pb/238U, ±% | 207Pb/235U, ±% | 206Pb/238U, млн лет | 207Pb/206Pb, млн лет | |||||
Метариолит нижней толщи (проба 1112) | ||||||||||||
8.1 | 0.00 | 120 | 264 | 151 | 0.59 | 0.19345 ± 0.41 | 0.53 ± 2 | 14.14 ± 2 | 0.979 | 2742 ± 45 | 2772 ± 7 | 1 |
10.1 | 0.06 | 67 | 145 | 124 | 0.89 | 0.19424 ± 0.44 | 0.539 ± 2 | 14.44 ± 2.1 | 0.977 | 2780 ± 45 | 2778 ± 7 | 0 |
3.1 | 0.04 | 70 | 153 | 96 | 0.65 | 0.1945 ± 0.55 | 0.532 ± 2 | 14.27 ± 2.1 | 0.964 | 2750 ± 45 | 2781 ± 9 | 1 |
2.1 | 0.06 | 36.7 | 79 | 58 | 0.77 | 0.1953 ± 0.6 | 0.542 ± 2 | 14.58 ± 2.1 | 0.959 | 2790 ± 46 | 2787 ± 10 | 0 |
10.1re | 0.00 | 79 | 179 | 134 | 0.77 | 0.1953 ± 0.99 | 0.512 ± 2 | 13.8 ± 2.2 | 0.896 | 2667 ± 44 | 2788 ± 16 | 5 |
9.1 | 0.08 | 54.8 | 123 | 95 | 0.80 | 0.19543 ± 0.47 | 0.519 ± 2 | 14 ± 2.1 | 0.973 | 2697 ± 44 | 2788 ± 8 | 3 |
7.1 | 0.39 | 54.4 | 115 | 111 | 1.00 | 0.1955 ± 0.55 | 0.548 ± 2 | 14.79 ± 2.1 | 0.965 | 2819 ± 46 | 2789 ± 9 | –1 |
4.1 | 0.05 | 98 | 216 | 247 | 1.18 | 0.19627 ± 0.36 | 0.528 ± 2 | 14.28 ± 2 | 0.984 | 2731 ± 45 | 2795 ± 6 | 2 |
6.1 | 0.04 | 84.9 | 179 | 147 | 0.85 | 0.19694 ± 0.38 | 0.553 ± 2 | 15.01 ± 2 | 0.982 | 2837 ± 46 | 2801 ± 6 | –1 |
1.1 | 0.07 | 45.6 | 97 | 62 | 0.67 | 0.197 ± 0.53 | 0.547 ± 2 | 14.86 ± 2.1 | 0.968 | 2814 ± 47 | 2802 ± 9 | 0 |
Метаандезибазальт нижней толщи (проба 1058/1) | ||||||||||||
10.1re | 0.00 | 112 | 410 | 6 | 0.01 | 0.10966 ± 0.51 | 0.3194 ± 1.3 | 4.829 ± 1.4 | 0.933 | 1787 ± 21 | 1794 ± 9 | 0 |
6.2 | 0.00 | 148 | 536 | 4 | 0.01 | 0.10879 ± 0.43 | 0.3209 ± 1.3 | 4.813 ± 1.4 | 0.950 | 1794 ± 21 | 1779 ± 8 | –1 |
7.1re | 0.03 | 155 | 552 | 6 | 0.01 | 0.10956 ± 0.53 | 0.3259 ± 1.4 | 4.913 ± 1.5 | 0.934 | 1819 ± 22 | 1788 ± 10 | –2 |
8.1re | 0.02 | 162 | 575 | 6 | 0.01 | 0.10977 ± 0.42 | 0.3272 ± 1.3 | 4.944 ± 1.4 | 0.951 | 1825 ± 21 | 1792 ± 8 | –2 |
5.1 | 0.00 | 44.6 | 101 | 80 | 0.83 | 0.1922 ± 0.65 | 0.516 ± 1.4 | 13.67 ± 1.6 | 0.912 | 2682 ± 32 | 2761 ± 11 | 3 |
9.1 | 0.14 | 30.3 | 65 | 36 | 0.57 | 0.1957 ± 0.84 | 0.5459 ± 1.5 | 14.63 ± 1.7 | 0.869 | 2808 ± 33 | 2780 ± 14 | –1 |
1.1 | 0.07 | 27.2 | 58 | 24 | 0.43 | 0.1934 ± 0.82 | 0.546 ± 1.8 | 14.51 ± 1.9 | 0.907 | 2809 ± 40 | 2766 ± 13 | –2 |
9.1re | 0.09 | 35.9 | 76 | 47 | 0.63 | 0.193 ± 0.74 | 0.547 ± 1.5 | 14.5 ± 1.7 | 0.894 | 2813 ± 34 | 2761 ± 12 | –2 |
2.1 | 0.09 | 21.7 | 46 | 22 | 0.50 | 0.1932 ± 0.93 | 0.5474 ± 1.6 | 14.52 ± 1.9 | 0.866 | 2814 ± 37 | 2763 ± 15 | –2 |
6.1 | 0.13 | 28.1 | 60 | 25 | 0.43 | 0.1953 ± 0.92 | 0.5477 ± 1.5 | 14.66 ± 1.7 | 0.851 | 2816 ± 34 | 2778 ± 15 | –1 |
7.1 | 0.00 | 15.8 | 33 | 23 | 0.72 | 0.1922 ± 1.5 | 0.5537 ± 1.6 | 14.67 ± 2.2 | 0.737 | 2841 ± 37 | 2761 ± 24 | –3 |
3.1 | 0.09 | 49.3 | 103 | 66 | 0.66 | 0.1934 ± 0.62 | 0.5547 ± 1.4 | 14.72 ± 1.6 | 0.918 | 2845 ± 33 | 2764 ± 10 | –3 |
Метадацит верхней толщи (проба 1019/2) | ||||||||||||
2.1re | 0.03 | 40.8 | 92 | 48 | 0.54 | 0.1898 ± 0.54 | 0.514 ± 2 | 13.46 ± 2.1 | 0.967 | 2675 ± 44 | 2741 ± 9 | 2 |
5.1re | 0.10 | 20.3 | 45 | 18 | 0.41 | 0.1925 ± 0.8 | 0.527 ± 2.1 | 13.98 ± 2.2 | 0.933 | 2728 ± 46 | 2763 ± 13 | 1 |
4.1 | 0.17 | 37.2 | 82 | 77 | 0.97 | 0.1906 ± 0.83 | 0.53 ± 2.2 | 13.92 ± 2.3 | 0.933 | 2740 ± 48 | 2748 ± 14 | 0 |
3.1 | 0.05 | 44 | 96 | 129 | 1.39 | 0.1893 ± 0.78 | 0.532 ± 2.1 | 13.9 ± 2.3 | 0.940 | 2752 ± 48 | 2736 ± 13 | –1 |
2.1 | 0.11 | 73.5 | 160 | 114 | 0.74 | 0.18853 ± 0.45 | 0.535 ± 2 | 13.9 ± 2.1 | 0.976 | 2762 ± 45 | 2729.3 ± 8 | –1 |
5.1 | 0.14 | 58.3 | 126 | 56 | 0.45 | 0.1908 ± 1.5 | 0.537 ± 2.1 | 14.13 ± 2.5 | 0.815 | 2771 ± 47 | 2749 ± 24 | –1 |
Метадацит верхней толщи (проба 1019/2) | ||||||||||||
6.1 | 0.04 | 86.7 | 186 | 107 | 0.60 | 0.1896±0.6 | 0.541±2 | 14.15±2.1 | 0.958 | 2789±45 | 2739±10 | -2 |
10.1re | 0.15 | 27.1 | 58 | 53 | 0.94 | 0.1885±0.74 | 0.545±2.1 | 14.16±2.2 | 0.941 | 2803±47 | 2729±12 | -3 |
1.1 | 0.36 | 46.6 | 99 | 72 | 0.75 | 0.1909±0.82 | 0.546±2.1 | 14.36±2.2 | 0.931 | 2807±48 | 2750±13 | -2 |
9.1 | 0.15 | 34 | 72 | 61 | 0.87 | 0.1874±0.67 | 0.546±2 | 14.1±2.2 | 0.951 | 2807±47 | 2719±11 | -3 |
7.1 | 0.12 | 30.3 | 64 | 52 | 0.84 | 0.1914±0.89 | 0.549±2.1 | 14.49±2.3 | 0.920 | 2820±47 | 2754±15 | -2 |
Туф метадацита верхней толщи (проба 1090) | ||||||||||||
9.1 | 0.04 | 41.7 | 89 | 53 | 0.62 | 0.1875 ± 0.56 | 0.544 ± 2 | 14.05 ± 2.1 | 0.964 | 2799 ± 46 | 2720 ± 9 | –3 |
4.1 | 0.07 | 39.8 | 85 | 50 | 0.61 | 0.1878 ± 0.6 | 0.546 ± 2 | 14.14 ± 2.1 | 0.959 | 2809 ± 46 | 2723 ± 10 | –3 |
5.1 | 0.17 | 30.1 | 64 | 40 | 0.64 | 0.188 ± 0.72 | 0.549 ± 2.1 | 14.23 ± 2.2 | 0.944 | 2820 ± 47 | 2725 ± 12 | –3 |
1.1 | 0.12 | 36.3 | 81 | 54 | 0.69 | 0.189 ± 0.64 | 0.522 ± 2 | 13.62 ± 2.1 | 0.954 | 2709 ± 45 | 2734 ± 11 | 1 |
6.1 | 0.13 | 36.7 | 78 | 44 | 0.59 | 0.1894 ± 0.63 | 0.547 ± 2.1 | 14.3 ± 2.2 | 0.956 | 2814 ± 47 | 2737 ± 10 | –3 |
2.1 | 0.13 | 52.1 | 109 | 62 | 0.58 | 0.19008 ± 0.52 | 0.554 ± 2 | 14.51 ± 2.1 | 0.968 | 2841 ± 46 | 2743 ± 9 | –3 |
8.1 | 0.10 | 40.3 | 86 | 83 | 1.01 | 0.1906 ± 0.63 | 0.547 ± 2.1 | 14.38 ± 2.2 | 0.956 | 2814 ± 47 | 2748 ± 10 | –2 |
10.1 | 0.13 | 52.5 | 113 | 102 | 0.93 | 0.1907 ± 0.59 | 0.540 ± 2 | 14.19 ± 2.1 | 0.961 | 2782 ± 46 | 2748 ± 10 | –1 |
Метадацит верхней толщи (1117/3) | ||||||||||||
9.1 | 0.07 | 37.1 | 80 | 39 | 0.51 | 0.1856 ± 0.77 | 0.5376 ± 1.5 | 13.75 ± 1.7 | 0.888 | 2774 ± 34 | 2703 ± 13 | –3 |
8.1re | 0.02 | 92.3 | 203 | 131 | 0.67 | 0.186 ± 0.82 | 0.5294 ± 1.3 | 13.58 ± 1.6 | 0.852 | 2739 ± 30 | 2707 ± 14 | –1 |
4.1 | 0.16 | 25.4 | 54 | 37 | 0.71 | 0.1861 ± 0.95 | 0.5422 ± 1.6 | 13.91 ± 1.8 | 0.857 | 2793 ± 36 | 2708 ± 16 | –3 |
6.1 | 0.04 | 59 | 129 | 108 | 0.87 | 0.1863 ± 0.57 | 0.5305 ± 1.4 | 13.63 ± 1.5 | 0.924 | 2744 ± 31 | 2710 ± 9 | –1 |
1.1 | 0.04 | 40 | 88 | 82 | 0.97 | 0.1865 ± 0.94 | 0.5303 ± 1.4 | 13.64 ± 1.7 | 0.834 | 2743 ± 32 | 2712 ± 16 | –1 |
7.1 | 0.03 | 100 | 217 | 113 | 0.54 | 0.18664 ± 0.44 | 0.5364 ± 1.3 | 13.8 ± 1.4 | 0.949 | 2769 ± 30 | 2713 ± 7 | –2 |
8.1 | 0.04 | 52.3 | 118 | 45 | 0.40 | 0.1868 ± 1 | 0.5171 ± 1.4 | 13.32 ± 1.7 | 0.804 | 2687 ± 31 | 2714 ± 17 | 1 |
10.1re | 0.25 | 38.6 | 83 | 45 | 0.56 | 0.187 ± 1 | 0.5367 ± 1.4 | 13.84 ± 1.8 | 0.817 | 2770 ± 32 | 2716 ± 17 | –2 |
9.1re | 0.08 | 103 | 229 | 122 | 0.55 | 0.18798 ± 0.5 | 0.5228 ± 1.4 | 13.55 ± 1.4 | 0.938 | 2711 ± 30 | 2725 ± 8 | 0 |
3.1 | 0.04 | 58.7 | 128 | 86 | 0.69 | 0.1885 ± 0.57 | 0.533 ± 1.4 | 13.85 ± 1.5 | 0.923 | 2754 ± 31 | 2729 ± 9 | –1 |
Примечания. Погрешности приведены для интервала 1σ. Pbc и Pb* — обыкновенная и радиогенная составляющие соответственно. Ошибка калибровки стандарта 0.22–1.05%. Коррекция на обыкновенный свинец проведена по измеренному 204Pb. Rho — коэффициент корреляции отношений 207Pb/235U –206Pb/238U. Disk=100*(T²⁰⁷/²⁰⁶/T²⁰⁶/²³⁸–1).
Возраст кристаллизации риолитов нижней толщи равен 2788 ± 5 млн лет. Их Sm-Nd модельный возраст составляет 2.89 млрд лет и εNd = 2.59 (табл. 4), что позволяет предположить в качестве источника расплавов для этих пород материал с непродолжительной коровой предысторией. О локальном присутствии более древней континентальной коры в регионе свидетельствуют возрасты цирконов из кислых вулканитов соседних структур: Хизоваарской (2.78–2.82 млрд лет) и Керетьозерской (2.82–2.88 млрд лет) (Слабунов, 2008).
В разрезе нижней толщи среди Grt-Bt гнейсов выделяется еще одна группа пород, по своим химическим особенностям отвечающих незрелым осадкам. По внешнему виду их трудно отличить от метадацитов толщи. Они имеют сходный минеральный состав и в одинаковой степени были преобразованы в процессе метаморфизма преимущественно в Grt-Bt гнейсы и сланцы. Но между этими двумя группами пород обнаруживаются небольшие минералогические и геохимические различия. Так, в минеральном составе метавулканитов в качестве дополнительного темноцветного минерала иногда выступает амфибол, а в составе метаосадков — кианит и турмалин. Кроме того, в гнейсах, отнесенных к метаосадкам, наблюдаются нарушения пропорций в содержаниях петрогенных элементов и повышенные значения индекса химического выветривания CIA=100×[Al2O3 / /(Al2O3+CaOsil+Na2O+K2O)] (Nesbitt, Young, 1982). Химический состав этой группы гнейсов на первый взгляд близок составам кислых эффузивов. На бинарных диаграммах по петрогенным и редким элементам они попадают в поле метадацитов толщи (рис. 4, 5), но в парагнейсах устанавливаются более низкие концентрации Ca (что связано с разрушением плагиоклаза и выносом кальция из пород в процессе литогенеза) и более высокие содержания Mg, который накапливается в осадках (рис. 4, табл. 1). Это приводит к повышенным отношениям MgO/CaO >1, не характерным для магматических пород. С другой стороны, сохранившиеся на высоком уровне концентрации Na2O и Sr свидетельствуют о низкой зрелости изученных метаосадков. Этот вывод подтверждается и относительно невысоким значением индекса химического выветривания (CIA), составляющим 58–62 (табл. 1). При его подсчете учитывается предпочтительная подвижность Ca, Na и K в процессе выветривания в противовес инертному Al. Параметр CIA позволяет судить, в первую очередь, о сохранности полевых шпатов. Для сравнения значение CIA для полевых шпатов составляет 50, для гранитов — 45–55, для иллита — 75 и для каолинита — 100.
Таблица 4. Sm-Nd изотопно-геохимические данные для пород Кичанской структуры
Название породы № пробы | U-Pb возраст, млн лет | Sm (мкг/г) | Nd (мкг/г) | 147Sm/144Nd | 143Nd/144Nd±2σ | εNd (T) | TNd(DM), млн лет | TNd(DM–2st), млн лет |
Метариолит (проба 1112) | 2788 | 6.156 | 34.48 | 0.1079 | 0.511136 ± 5 | 2.59 | 2887 | 2900 |
Метаандезибазальт (проба 1058/1) | 2766 | 2.233 | 10.75 | 0.1256 | 0.511489 ± 11 | 2.92 | 2861 | 2855 |
Метадацит (проба 1019/2) | 2738 | 3.422 | 19.38 | 0.1067 | 0.511146 ± 8 | 2.67 | 2841 | 2856 |
Туф метадацита (проба 1090) | 2735 | 2.242 | 12.74 | 0.1064 | 0.51103 ± 12 | 0.41 | 2996 | 3034 |
Метадацит (проба 1117/3) | 2716 | 4.992 | 27.27 | 0.1107 | 0.511185 ± 9 | 1.73 | 2894 | 2911 |
Примечания. 143Nd/144Nd±2σ — величины погрешностей соответствуют последней значащей цифре после точки.
На классификационной диаграмме lg (SiO2/Al2O3) — lg (Na2O/K2O) (Rollinson, 1993) изученные метаосадки попадают в поле граувакк (рис. 8а), сопоставимы по составу с алевролитами и алевропелитами (рис. 8б) и распределения РЗЭ в них в первом приближении близки спектрам распределения лантаноидов в постархейском среднем глинистом сланце Австралии (PAAS) (Nance, Taylor, 1976) (рис. 6 Iв, 6 IIв). Источниками терригенного материала в изученных метаграувакках, скорее всего, служили дациты толщи, с которыми они находятся в тесном переслаивании в едином стратиграфическом разрезе. Такой вывод напрашивается при сравнении химических составов этих двух групп пород (рис. 4, 5, 6, табл. 1). Граувакки такого происхождения относятся к вулканомиктовым.
По типу осадков изученные породы сходны с метатерригенными породами архейской гимольской серии Костомукшской структуры (Милькевич, Мыскова, 1998). В.М. Чернов (1964) основные черты палеогеографии во время осадконакопления гимольской серии определял как трансгрессирующий морской бассейн с многочисленными погружающимися и разрушающимися островами и подводной вулканической деятельностью, что вполне согласуется с полученными для изученных метаосадков геохимическими данными. Слабое химическое выветривание пород в области сноса предполагает быструю эрозию и относительно высокий рельеф источника питания. На диаграммах М. Бхатия (Bhatia, 1983) La-Th-Sc, Th-Sc-Zr/10, Th-Co-Zr/10, предложенных для фанерозойских граувакк, составы метаосадков нижней толщи попадают в поля океанических и континентальных островных дуг (рис. 8 в).
Рис. 12. Дискриминационные диаграммы (а) Nb/Y–Zr/Y (Condie, 2005), (б) Nb–Y, (в) Ta-Yb (Pearce et al., 1984), (г) FeO/MgO — (Zr+Nb+Ce+Y) (Whalen et al., 1987) для метавулканитов Кичанской зеленокаменной структуры. OIB — базальты океанических островов, N-MORB — базальты срединно-океанических хребтов, ARC — базальты островных дуг, UC — верхняя кора, EN — литосферная мантия, PM — примитивная мантия, DM — деплетированная мантия, DEP — глубинная деплетированная мантия, EM1 и EM2 — обогащенная мантия, REC — рециклированный компонент. Верхняя толща: 1 — метабазальты и метаандезибазальты, 2 — метаандезиты, 3 — метадациты; средняя толща: 4 — метабазальты и метаандезибазальты; нижняя толща: 5 — метабазальты и метаандезибазальты, 6 — метадациты, 7 — метариолиты.
Метабазальты и метаандезибазальты нижней толщи принадлежат к толеитовой серии (рис. 3б), имеют пологие спектры распределения редкоземельных элементов и характеризуются отсутствием отрицательных Nb аномалий (рис. 6 Iа, 6 IIа), что роднит их с базальтами срединных океанических хребтов кайнозоя. На дискриминационной диаграмме Zr/Y-Nb/Y фигуративные точки изученных основных вулканитов попадают в поле базальтов океанических плато (за исключением пробы андезибазальта с Nb минимумом, лежащей в поле островодужных составов) (рис. 12а), имеющих плюмовый источник, и сосредоточены вблизи предполагаемого состава примитивной мантии. Все это свидетельствуют в пользу их океанической природы.
Кристаллизация расплавов основного состава нижней толщи происходила 2766 ± 9 млн лет назад. Полученный для метаандезибазальтов Sm-Nd модельный возраст 2.86 млрд лет и εNd = 2.92 (табл. 4) свидетельствуют в пользу мантийной природы первичных магм и практически полного отсутствия контаминации коровым веществом.
С одной стороны, присутствие в разрезах нижней толщи океанических базальтов может быть признаком существования рифтогенной обстановки. С другой стороны, кислые разности, на долю которых приходится почти половина разреза, обладают геохимическими метками островодужных вулканитов. В этих же разрезах в небольших количествах присутствуют метаграувакки. Вся эта совокупность пород была сформирована на этапе 2788 ± 5 — 2766 ± 9 млн лет.
Средняя толща Кичанской структуры сложена базальтами и в редких случаях андезибазальтами, которые по своим геохимическим характеристикам являются полными аналогами вышеописанных основных вулканитов нижней толщи. Эта толща по уровню и наполнению соответствует ранее выделенной Р.И. Милькевич с соавторами нижней толще (Милькевич и др., 2003) и коматиит-толеитовой стратотектонической ассоциации по А.И. Слабунову (2008). Для метавулканитов характерны недифференцированные спектры распределения РЗЭ и отсутствие ниобиевых минимумов (рис. 6 Iг, 6 IIг), что свойственно базальтам срединно-океанических хребтов (Sun, McDonough, 1989). Часть базальтов при этом обогащена крупноионными литофильными элементами (рис. 6 IIг), что позволяет предположить в расплавах базальтов небольшую примесь корового компонента. На дискриминационной диаграмме Zr/Y-Nb/Y (рис. 12а) фигуративные точки пород попадают в поле составов, близких к веществу примитивной мантии. Перечисленные геохимические характеристики основных вулканитов средней толщи свидетельствуют в пользу их океанической природы. Они, скорее всего, являются продуктами глубинного плавления мантийного субстрата и могли формироваться в рифтогенной обстановке. Р.И. Милькевич с соавторами (Милькевич и др., 2003) предположили, что данный комплекс образовался скорее в условиях заостроводужного, чем срединно-океанического спрединга.
Можно предложить два альтернативных варианта интерпретации геодинамических обстановок, в которых были сформированы нижняя и средняя толщи.
Ассоциация пород, включающая контрастные серии вулканитов, подобные встреченным в нижней толще Кичанской структуры, ближе всего к обстановкам современного эпиорогенного рифтогенеза и формирование нижней толщи может знаменовать собой начало рифтогенного режима, который свойственен краевым подвижным поясам и развивается на месте уже ранее сформированных островных дуг с образованием грабенов, перерастающих в глубоководные котловины и троги окраинных морей (Фролова, Бурикова, 1997). Таким образом, нижняя толща представляет собой сочетание более раннего (2788 ± 5 млн лет) островодужного комплекса и наложенного базитового (2766 ± 9 млн лет) рифтогенного. Максимальное развитие рифтогенеза связано с формированием средней толщи метатолеитов. При этом два этих вулканогенных комплекса разделяет временной интервал в 20 млн лет.
Но возможна и другая интерпретация. В это же время (2785 ± 13 млн лет) севернее, в смежной к Кичанской, архейской Каликорвинской структуре формируется похожая ассоциация пород, включающая метатолеиты (идентифицированные как продукты плавления мантийного субстрата) с горизонтами островодужных известково-щелочных метадацитов и метаграувакк (Милькевич и др., 2007). Авторы указанной статьи пришли к выводу, что подобная ассоциация пород могла образоваться в переходных условиях — между этапом спрединга и началом островодужного режима. Такая же геодинамическая обстановка могла иметь место и во время формирования нижней толщи Кичанской структуры.
С точки зрения авторов настоящей статьи первый вариант интерпретации более предпочтителен.
Верхняя толща соответствует средней и верхней толщам, описанной ранее Р.И. Милькевич с соавторами (Милькевич и др., 2003), и стратотектонической ассоциации средне-кислых вулканитов (Слабунов, 2008). Она представлена комплексом вулканитов, дифференцированных по составу от базальтов до дацитов, с преобладанием кислых и средних разностей. Породы отличаются высокими содержаниями Al2O3 (16–20 мас.%), Sr (500–900 мкг/г), Ba (600–800 мкг/г), низкими концентрациями Y (7–19 мкг/г), Yb (0.4–1.9 мкг/г), Nb (4–10 мкг/г) и высокими Sr/Y отношениями (30–120) (рис. 4, 5, табл. 2), что роднит их с кайнозойскими адакитами — индикаторами субдукционных обстановок (Defant, Drummond, 1990). Преобладающие в разрезе дациты и большая часть андезитов принадлежат известково-щелочной серии (рис. 3б). Находящиеся в подчиненном количестве метабазальты и андезибазальты и часть андезитов занимают промежуточное положение между полями известково-щелочной и толеитовой серий. Все разности (от базальтов до дацитов) имеют сходные хорошо дифференцированные спектры распределения РЗЭ и отчетливые Nb минимумы (рис. 9), характерные для вулканитов современных островодужных систем и активных континентальных окраин. Островодужная природа изученных вулканитов подтверждается также близостью к составам вулканитов островных дуг на дискриминационных диаграммах Y–Nb и Yb–Ta для средних и кислых разностей (рис. 12 б, г) и Zr/Y-Nb/Y — для основных составов (рис. 12а).
В легендах к государственным геологическим картам Карелии (Государственная…, 2012, 2013) описанная выше ассоциация метавулканитов верхней толщи Кичанской структуры была отнесена к хизоварской свите тикшеозерской серии неоархея и сопоставлялась со стратотипическим разрезом этой свиты, изученном в пределах Хизоваарской зеленокаменной структуры Северо-Карельского пояса с возрастом 2.78–2.82 млрд лет (Бибикова и др., 2003). Полученные авторами настоящей статьи геохронологические данные не согласуются с такой точкой зрения. Формирование средне-кислых вулканитов верхней толщи в пределах Кичанской структуры происходило в более позднее время на этапе 2.72–2.74 млрд лет.
Магмы, из которых кристаллизовались средне-кислые вулканиты верхней тощи, в разной степени обогащены древним коровым материалом.
Для метадацита (пр. 1019/2), отобранного из основания разреза, возраст кристаллизации составил 2738 ± 7 млн лет. Его Sm-Nd модельный возраст 2.84 млрд лет и εNd = 2.67 (табл. 4) позволяют говорить о том, что промежуток времени между отделением исходного расплава от мантии и последующей эволюцией пород в коровых условиях был непродолжительным.
Метатуфы дацита (пр. 1090) имеют близкий возраст кристаллизации 2735 ± 7 млн лет. Их Sm-Nd модельный возраст 3 млрд лет и значение εNd = 0.4 (табл. 4) указывают на присутствие в материнских расплавах значительной доли древнего корового материала.
Андезидациты (пр. 1117/3), излившиеся на заключительных этапах вулканической деятельности в 2716 ± 7 млн лет, имеют Sm-Nd модельный возраст 2.89 млрд лет и εNd = 1.73 (табл. 4), что свидетельствует о меньшей примеси древнего корового материала.
Перечисленные значения возраста согласуются с уже имеющимися для вулканитов этой толщи возрастами: андезитового метатуфа 2735 ± 20 млн лет (Милькевич и др. 2007) и метаандезита 2720 ± 20 млн лет (Левченков и др., 2003).
Комплексное изучение U-Pb и Sm-Nd изотопных систем позволили сделать предположение о возможных источниках пород каждой из изученных толщ. Магмообразующие очаги для толеитовых метабазальтов нижней толщи располагались, скорее всего, в мантии, а кислые метавулканиты были выплавлены из пород с непродолжительной коровой предысторией. Метавулканиты верхней толщи произошли из разных источников в зоне субдукции. Базальтовые расплавы, вероятнее всего, были получены при частичном плавлении перидотитов мантийного клина, а кислые расплавы имеют разную примесь древнего корового материала и могли возникнуть путем частичного плавления субдуцирующей океанической коры.
Геохимические характеристики дифференцированной серии вулканитов верхней толщи, демонстрирующие сочетание средне-кислых вулканитов с признаками адакитов и богатыми ниобием базальтами и андезибазальтами, свидетельствуют в пользу формирования толщи в условиях, близких к обстановкам зрелых островных дуг кайнозоя, а, возможно, и перехода к обстановке активной континентальной окраины. К такому выводу в свое время пришли Р.И. Милькевич с соавторами (2003). Подобные неоархейские ассоциации с возрастом 2.7 млрд лет установлены и на других континентах, например, в зеленокаменных поясах провинции Сьюпириор, Канада (Hollings et al., 2000; Hollings, Kerrich, 2000; Polat., Kerrich., 2000).
Представленные в настоящей статье новые данные по геохимии и возрасту супракрустальных пород Кичанской структуры в целом согласуются и существенно дополняют ранее опубликованные (Милькевич и др., 2003, 2007), подтверждая высказанное этими авторами предположение о формировании изученной вулканической ассоциации пород Кичанской структуры в результате последовательной эволюции магматизма от стадии более ранней островодужной обстановки и последующего рифтогенеза до обстановки активной континентальной окраины.
В палеопротерозое зеленокаменные образования Кичанской структуры подверглись метаморфизму в условиях амфиболитовой и эпидот-амфиболитовой фаций. Этот этап определен по близким значениям U-Pb возраста циркона в двух пробах метавулканитов: 1788 ± 4 млн лет (настоящая статья, рис. 1) и 1796 ± 6 млн лет (Мыскова и др., 2022), и возраста титанита — 1786 ± 11 млн лет (Мыскова и др., 2022).
Выводы
- В основании разреза Кичанской структуры архейского Тикшеозерского зеленокаменного пояса выделена новая толща. Она представлена метаморфизованной в условиях амфиболитовой фации бимодальной серией, включающей два типа вулканитов: основные (толеитовые базальты и андезибазальты) и кислые (дациты и риолиты), в подчиненном количестве присутствуют метаграувакки.
- В разрезе Кичанской структуры выделены три толщи и установлена примерная продолжительность формирования каждой из них. Для нижней толщи этот интервал составляет приблизительно 20 млн лет с 2788 ± 5 до 2766 ± 9 млн лет. О возможной продолжительности этапа формирования средней толщи толеитовых метабазальтов можно судить приблизительно, на основании косвенных данных — как промежутка времени между излияниями вулканитов нижней и верхней толщ (с 2766 ± 9 до 2738 ± 7 млн лет). На заключительном этапе такой же продолжительности, как и первый (около 20 млн лет), с 2738 ± 7 до 2716 ± 7 млн лет происходило формирование ассоциации вулканитов верхней толщи.
- Верхняя толща средне-кислых вулканитов Кичанской структуры, сопоставляемая рядом исследователей с зеленокаменными образованиями архейской Хизоваарской структуры, сформирована в более позднее время (на этапе 2.72–2.74 млрд лет), и не может рассматриваться в качестве аналога хизоварской свиты.
- Супракрустальные образования Кичанской структуры претерпели метаморфические преобразования в условиях амфиболитовой фации на этапе 1786 ± 11 — 1796 ± 6 млн лет.
Авторы выражают искреннюю благодарность Г.П. Плескач за помощь в оформлении графического материала, а также рецензентам и научному редактору Н.В. Сорохтиной за конструктивные замечания.
Источники финансирования. Работа выполнена в рамках госзадания № FMUW-2022-0004 и FMUW-2025-0003.
作者简介
T. Myskova
Institute of Precambrian Geology and Geochronology RAS
编辑信件的主要联系方式.
Email: tmyskova@gmail.com
俄罗斯联邦, 199034, Nab. Makarova, 2, St. Petersburg
A. Nikonova
A.P. Karpinsky Russian Geological Research Institute
Email: tmyskova@gmail.com
俄罗斯联邦, 199106, Sredny prospect, 74, St. Petersburg
K. Nikonov
A.P. Karpinsky Russian Geological Research Institute
Email: tmyskova@gmail.com
俄罗斯联邦, 199106, Sredny prospect, 74, St. Petersburg
I. Zhitnikova
A.P. Karpinsky Russian Geological Research Institute
Email: tmyskova@gmail.com
俄罗斯联邦, 199106, Sredny prospect, 74, St. Petersburg
P. Lvov
Institute of Precambrian Geology and Geochronology RAS; A.P. Karpinsky Russian Geological Research Institute
Email: tmyskova@gmail.com
俄罗斯联邦, 199034, Nab. Makarova, 2, St. Petersburg; 199106, Sredny prospect, 74, St. Petersburg
参考
- Бибикова Е.В., Самсонов А.В., Щипанский А.А., Грачева Т.В., Макаров В.А. (2003) Хизоваарская структура Северо-Карельского зеленокаменного пояса как аккретированная островная дуга позднего архея: изотопно-геохронологические и петрологические данные. Петрология. 11(3), 289–320.
- Государственная геологическая карта РФ масштаба 1:1 000 000 (третье поколение). Серия Балтийская. Лист Q-(35), 36 (Апатиты). Объяснительная записка. СПб.: Картографическая фабрика ВСЕГЕИ. 2012. 487 с.
- Государственная геологическая карта РФ масштаба 1:200 000 (издание второе). Лист Q–36-XXI, XXII (Амбарный). Объяснительная записка. М.: МФ ВСЕГЕИ. 2013. 189 с.
- Другова Г.М., Левченков О.А., Савельева Т.Е. (1995) Гранитоиды раннего докембрия в Северо-Западном Беломорье // Записки ВМО. 124(1), 35–51.
- Кожевников В.Н. (2000) Архейские зеленокаменные пояса Карельского кратона как аккреционные орогены. Петрозаводск: КарНЦ РАН. 223 с.
- Левченков О.А., Милькевич Р.И., Миллер Ю.В., Зингер Т.Ф., Львов А.Б., Мыскова Т.А., Шулешко И.К. (2003) U-Pb возраст метаандезитов верхней части разреза супракрустальных образований северной части Тикшеозерского зеленокаменного пояса (Северная Карелия). ДАН. 389(3), 378–381.
- Мыскова Т.А., Никонова А.С., Никонов К.А., Житникова И.А., Львов П.А. (2022) Кичанская островодужная система архея (новые геохимические и изотопно-геохронологические доказательства). Труды Карельского научного центра РАН. (5), 103–106.
- Милькевич Р.И., Миллер Ю.В., Глебовицкий В.А., Богомолов Е.М., Гусева В.Ф. (2003) Толеитовый и известково-щелочной магматизм в северной части Тикшеозерского зеленокаменного пояса: геохимические признаки субдукционной обстановки. Геохимия. (12), 1262–1274.
- Milkevich R.I., Miller Yu.V., Glebovitsky V.A., Bogomolov E.M., Guseva V.F. (2003) Tholeiitic and calc-alkaline magmatism in the northern part of the Tikshozero Greenstone Belt: Geochemical evidence of an subduction environment. Geochem. Int. 41(12), 1152–1164.
- Милькевич Р.И., Мыскова Т.А. (1998) Позднеархейские метатерригенные породы Западной Карелии (литология, геохимия, источники сноса). Литология и полезные ископаемые. (2), 177–194.
- Милькевич Р.И., Мыскова Т.А. Глебовицкий В.А., Львов А.Б., Бережная Н.Г. (2007) Каликорвинская структура и ее положение в системе северо-карельских зеленокаменных поясов: геохимические и геохронологические данные. Геохимия. (5), 483–506.
- Milkevich R.I., Myskova T.A. Glebovitsky V.A., Lvov A.B., Berezhnaya N.G. (2007) Kalikorva structure and its position in the system of the northern Karelian greenstone belts: Geochemical and geochronological data. Geochem. Int. 45(5), 428–450.
- Неелов А.Н. (1980) Петрохимическая классификация метаморфизованных осадочных и вулканических пород. Л.: Наука, 100 с.
- Слабунов А.И. (2008) Геология и геодинамика архейских подвижных поясов (на примере Беломорской провинции Фенноскандинавского щита). Петрозаводск: КарНЦ РАН, 296 с.
- Фролова Т.И., Бурикова И.А. (1997) Магматические формации современных геотектонических остановок. М.: Изд-во МГУ 320 с.
- Чернов В.М. (1964) Стратиграфия и условия осадконакопления вулканогенных (лептитовых) железисто-кремнистых формаций Карелии. М-Л.: Наука, 187 с.
- Щипанский А.А., Бабарина И.И., Крылов К.А., Самсонов А.В., Богина Е.В., Слабунов А.И. (2001) Древнейшие офиолиты на Земле: Неоархейский супрасубдукционый комплекс Ириногорской структуры Северо-Карельского зеленокаменного пояса. ДАН. 377(3), 376–380.
- Bhatia M.R. (1983) Plate Tectonics and Geochemical Composition of Sandstones. The J. Geol. 91, 611–627.
- Blaсk L.P., Kamo S.L., Alen C.M., Aleinikoff J.N., Davis D.W., Korsch R.J., and Foudoulis C. (2003) TEMORA 1: a new zircon standard for U-Pb geochronology. Chemical Geology. 200(1–2), 155–170.
- Condie K.C. (2005) High fild strength element ratios in Archean basalts: a window to evolving sources of mantle plumes? Lithos. 79, 491–504.
- Corfu F., Hanchar J.M., Hoskin O.P.W., Kinny P. (2003) Atlas of zircon textures // Zircon. Rev. Miner. Geochem. 53, 469–500.
- Defant M.J., Drummond M.S. (1990) Derivation of some modem arc magmas by melting of young subducted lithosphere. Nature. 347, 662–665.
- Eby G.N. (1992) Chemical subdivision of the A-type granitoids: petrogenetic and tectonic implications. Geology. 20, 641–644.
- Frost B.R., Barnes C.G., Collins W.J., Arculus R.J., Ellis D.J., Frost C.D. (2001) A geochemical classification for granitic rocks. J. Petrology. 42, 2033–2048.
- Goldstein S.J., Jacobsen S.B. (1988) Nd and Sr isotopic systematics of rivers water suspended material: implications for crustal evolution // Earth Planet. Sci. Lett. 87, 249–265.
- Hollings P., Kerrich R. (2000) An Archean arc basalt — Nb-enriched basalt — adakite association: the 2.7 Ga Confederation assemblage of the Birch-Uchi greenstone belt. Contrib. Mineral. Petrol. 139(2), 208–226.
- Hollings, P., Stott G., and Wyman D. (2000) Trace element geochemistry of the MeenDempster greenstone belt, Uchi subprovince Superior Province, Canada: back-arc development on the margins of an Archean protocontinent. Canad. J. Earth Sci. 37, 1021–1038.
- Hoskin P.W.O., Schaltegger U. (2003) The Composition of zircon and igneous and metamorphic petrogenesis // Zirkon: Reviews in mineralogy and geochemistry. 53, 27–62.
- Irvine, T.N., and Baragar, W.R.A. (1971) A guide to the chemical classification of the common volcanic rocks. Canad. J. Earth Sci. 8, 523–548.
- Jacobsen S.B., Wasserburg G.J. (1984) Sm-Nd evolution of chondrites and achondrites. Earth Planet. Sci. Lett. 67, 137–150.
- Keto L.S., Jacobsen S.B. (1987) Nd and Sr isotopic variations of Early Paleozoic oceans. Earth Planet. Sci. Lett. 84, 27–41.
- Le Maitre R.W., Bateman P., Dudek, A.J. and Keller M.J. (1989) A classification of igneous rocks and glossary of terms. Oxford: Blackwell, 193 p.
- Ludwig K.P. (2000) SQUID 1. 00. A User’s Manual. Berkeley Geochronology Center. Special Publication. (2), 17 p.
- Ludwig K.P. (2001) Isoplot/Ex. A User’s Manual. Berkeley Geochronology Center. Special Publication. (1), 56 p.
- Maniar P.D., Piccoli P.M. (1989) Tectonic discrimination of granitoids. Geol. Soc. Am. Bull. 101, 635–643.
- Nance W.B., Taylor S.R. (1976) Rare earth element patterns and crustal evolution — I. Australian post-Archean sedimentary rocks. Geochim. Cosmochim. Acta. 40, 1539–1545.
- Nesbitt H.W., Yong G.M. (1982) Early Proterozoic climates and plate motions inferred from major element chemistry of lutites. Nature. 299, 715–717.
- Pearce J.A., Harris N.B.W., Tindle A.G. (1984) Trace element discrimination diagrams for the tectonic interpretation of granitic rocks. J. Petrol. 25, 956–983.
- Polat A., Kerrich R. (2000) Magnesian andesites, Nb-enriched basalt-andesites, and adakites from late-Archean 2.7 Ga Wawa greenstone belts, Superior Province, Canada: Implications for late Archean subduction zone petrogenetic processes. Contrib. Mineral. Petrol. 141(1), 36–52.
- Richard P., Shimizu N., Allegre C.J. (1976) 143Nd/144Nd a natural tracer: An application to oceanic basalts. Earth Planet. Sci. Lett. 31, 269–278.
- Rollinson H.R. (1993) Using geochemical data: evaluation, presentation, interpretation. New York. 352 p.
- Rubatto D. (2002) Zircon trace element geochemistry: partitioning with garnet and the link between U–Pb ages and metamorphism // Chem. Geol. 184, 123–138.
- Sun S.S., McDonough W.F. (1989) Chemical and isotopic systematics of oceanic basalts: implications for mantle composition and processes. Geological Society London Special Publication. 42, 313–345.
- Whalen J.B., Currie K.L., Chappel B.W. (1987) A-type granites: geochemical characteristic, discrimination and petrogenesis // Contrib. Mineral. Petrol. 95, 407–419.
- Whitney D.L., Evans B.W. (2010) Abbreviations for names of rock-forming minerals. American Mineralogist. 95, 185–187.
- Williams I.S. (1998) U-Th-Pb geochronology by ion microprobe. In Rev. Econ. Geol. (Eds. McKibben M.A., Shanks III W.С., Ridley W.I.). 7, 1–35.
补充文件














