Геохимические критерии разделения протерозойских долеритов даек центральной части Байкальского выступа фундамента Сибирского кратона
- Авторы: Донская Т.В.1, Гладкочуб Д.П.1, Мазукабзов А.М.1, Демонтерова Е.И.1, Ефремова У.С.1
-
Учреждения:
- Институт земной коры Сибирского отделения Российской академии наук
- Выпуск: Том 68, № 5 (2023)
- Страницы: 488-507
- Раздел: Статьи
- URL: https://journals.rcsi.science/0016-7525/article/view/134809
- DOI: https://doi.org/10.31857/S0016752523050047
- EDN: https://elibrary.ru/EKWRDO
- ID: 134809
Цитировать
Полный текст
Аннотация
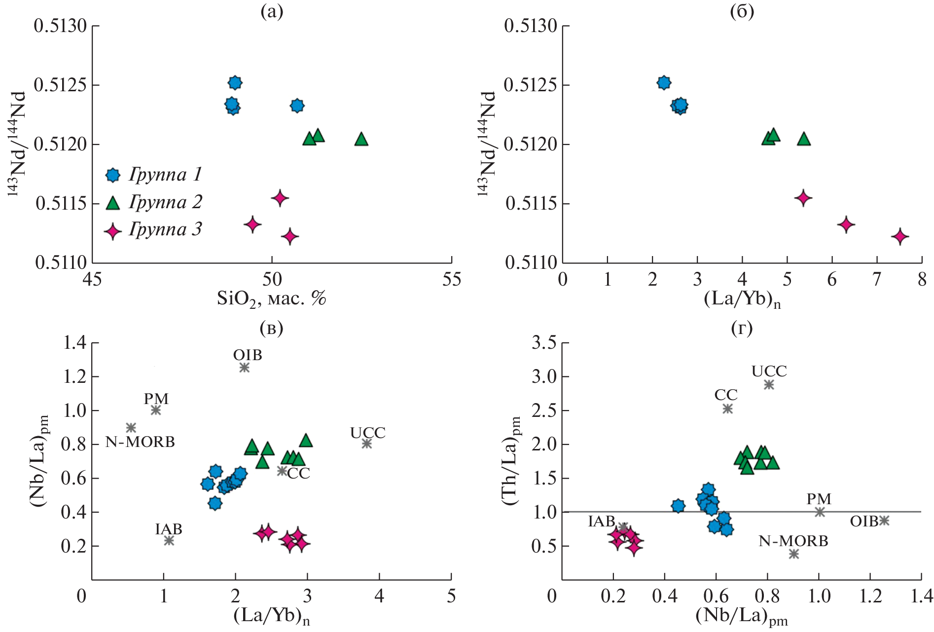
Проведено детальное геологическое, петрографическое, геохимическое и изотопное изучение долеритов даек Прибайкальского дайкового поля центральной части Байкальского выступа фундамента Сибирского кратона. На основании полученных результатов выявлены основные геохимические и изотопные критерии для разнесения близких по геолого-структурному положению и по минеральному составу долеритов региона в три различные геохимические группы, а также сделаны выводы об их возрастной позиции. Отмечено, что долериты первой группы и, предположительно, долериты второй группы слагают дайки неопротерозойского возраста (715 млн лет). В первую группу объединены средне-крупнозернистые долериты, формирующие относительно мощные (более 5–10 метров) дайковые тела. Долериты этой группы характеризуются достаточно низкими концентрациями Th (0.6–2.1 мкг/г) и Nb (3.3–9.2 мкг/г), а также значениями εNd(T) = ‒0.5…‒3.9. Совокупность геохимических и изотопных данных показывает, что эти долериты могли быть образованы в результате плавления мантийного источника, образованного при смешении мантийных компонентов близких по составам к базальтам океанических плато и надсубдукционной субконтинентальной литосферной мантии. Во вторую группу отнесены мелкозернистые долериты, слагающие маломощные (1–5 метров) дайки, в том числе дайки, располагающиеся в контакте с дайками первой группы. Для долеритов второй группы характерны более высокие концентрации Th (3.0–5.3 мкг/г) и Nb (9.8–21.1 мкг/г) и значения εNd(T) = ‒5.3…‒6.0. Геохимические и изотопные данные долеритов второй группы указывают на добавление материала континентальной коры к мантийному источнику, вероятно, единому для долеритов первой и второй групп. В третью группу отнесены среднезернистые долериты, слагающие отдельные дайковые тела, отчетливо отличающиеся по геохимическим и изотопным характеристикам от неопротерозойских долеритов первой и второй групп. Долериты этой группы обнаруживают низкие концентрации Th (0.6–1.6 мкг/г) и Nb (2.7–5.1 мкг/г), низкие значения отношений (Th/La)pm (0.29‒0.71) и 143Nd/144Nd (0.511223‒0.511544), что указывает на возможное формирование этих долеритов в результате плавления субконтинентальной литосферной мантии, обогащенной субдукционными компонентами. Долериты третьей группы демонстрируют геохимические характеристики близкие долеритам палеопротерозойских (1.84 млрд лет) даек, что позволяет допускать их принадлежность Южно-Сибирскому постколлизионному магматическому поясу.
Ключевые слова
Об авторах
Т. В. Донская
Институт земной коры Сибирского отделения Российской академии наук
Email: tatiana_donskaya@mail.ru
Россия, 664033, Иркутск, ул. Лермонтова, 128
Д. П. Гладкочуб
Институт земной коры Сибирского отделения Российской академии наук
Email: tatiana_donskaya@mail.ru
Россия, 664033, Иркутск, ул. Лермонтова, 128
А. М. Мазукабзов
Институт земной коры Сибирского отделения Российской академии наук
Email: tatiana_donskaya@mail.ru
Россия, 664033, Иркутск, ул. Лермонтова, 128
Е. И. Демонтерова
Институт земной коры Сибирского отделения Российской академии наук
Email: tatiana_donskaya@mail.ru
Россия, 664033, Иркутск, ул. Лермонтова, 128
У. С. Ефремова
Институт земной коры Сибирского отделения Российской академии наук
Автор, ответственный за переписку.
Email: tatiana_donskaya@mail.ru
Россия, 664033, Иркутск, ул. Лермонтова, 128
Список литературы
- Арискин А.А., Костицын Ю.А., Конников Э.Г., Данюшевский Л.В., Меффре С., Николаев Г.С., Мак-Нил Э., Кислов Е.В., Орсоев Д.А. (2013) Геохронология Довыренского интрузивного комплекса в неопротерозое (Северное Прибайкалье, Россия). Геохимия. (11), 955-972.
- Ariskin A.A., Kostitsyn Yu.A., Konnikov E.G., Danyushevsky L.V., Meffre S., Nikolaev G.S., McNeill A., Kislov E.V., Orsoev D.A. (2013) Geochronology of the Dovyren Intrusive Complex, Northwestern Baikal Area, Russia, in the Neoproterozoic. Geochemistry International. 51(11), 859-875.
- Арискин А.А., Данюшевский Л.В., Конников Э.Г., Маас Р., Костицын Ю.А., Мак-Нил Э., Меффре С., Николаев Г.С., Кислов Е.В. (2015) Довыренский интрузивный комплекс (Северное Прибайкалье, Россия): изотопно-геохимические маркеры контаминации исходных магм и экстремальной обогащенности источника. Геология и геофизика. 56(3), 528-556.
- Гладкочуб Д.П., Донская Т.В., Мазукабзов А.М., Станевич А.М., Скляров Е.В., Пономарчук В.А. (2007) Комплексы-индикаторы процессов растяжения на юге Сибирского кратона в докембрии. Геология и геофизика. 48(1), 22-41.
- Гладкочуб Д.П., Писаревский С.А., Эрнст Р., Донская Т.В., Седерлунд У., Мазукабзов А.М., Хейнс Дж. (2010) Крупная магматическая провинция (КМП) с возрастом ~1750 млн лет на площади Сибирского кратона. ДАН. 430(5), 654-657.
- Гладкочуб Д.П., Донская Т.В., Эрнст Р.Е., Седерлунед У. Мазукабзов А.М., Шохонова М.Н. (2019) Расширение ареала Тимптонской крупной магматической провинции (~1.75 млрд лет) Сибирского кратона. Геодинамика и тектонофизика. 10(4), 829-839.
- Донская Т.В., Гладкочуб Д.П., Шохонова М.Н., Мазукабзов А.М. (2014) Особенности составов и источники расплавов позднепалеопротерозойских базитов Северного Прибайкалья. Геология и геофизика. 55(11), 1615-1634.
- Ковач В.П., Рыцк Е.Ю., Великославинский С.Д., Кузнецов А.Б., Ван К.-Л., Чун С.-Л. (2020) Возраст детритового циркона и источники сноса терригенных пород Олокитской зоны (Северное Прибайкалье). Доклады Российской Академии наук. Науки о Земле. 493(2), 36-40.
- Мехоношин А.С., Эрнст Р., Седерлунд У., Гамильтон М.А., Колотилина Т.Б., Изох А.Э., Поляков Г.В., Толстых Н.Д. (2016) Связь платиноносных ультрамафит-мафитовых интрузивов с крупными изверженными провинциями (на примере Сибирского кратона). Геология и геофизика. 57(5), 1043-1057.
- Неймарк Л.А., Ларин А.М., Немчин А.А., Овчинникова Г.В., Рыцк Е.Ю. (1998) Геохимические, геохронологические (U-Pb) и изотопные (Pb, Nd) свидетельства анорогенного характера магматизма Северо-Байкальского вулкано-плутонического пояса. Петрология. 6(4), 139-164.
- Орсоев Д.А., Гордиенко И.В., Булгатов А.Н., Бадмацыренова Р.А., Дриль С.И., Посохов В.Ф. (2022). Неопротерозойские метабазальты тыйского комплекса Олокитского рифтогенного прогиба (Байкало-Муйский пояс): состав, U-Pb возраст, изотопно-геохимическая характеристика, геодинамические следствия. Геология и геофизика. 63(7), 915-934.
- Попов Н.В., Котов А.Б., Сальникова Е.Б., Постников А.А., Тимофеев В.Ф., Березкин В.И., Ларин А.М., Федосеенко А.М., Яковлева С.З. (2012) Диабазы куранахского комплекса западной части Алдано-Станового щита: возраст и тектоническое положение. ДАН. 442(3), 365-368.
- Рыцк Е.Ю., Шалаев В.С., Ризванова Н.Г., Крымский Р.Ш., Макеев А.Ф., Риле Г.В. (2002) Олокитская зона Байкальской складчатой области: новые изотопно-геохронологические и петрохимические данные. Геотектоника. (1), 29-41.
- Скляров Е.В. (ред.) (2006) Эволюция южной части Сибирского кратона в докембрии. Новосибирск: Изд-во СО РАН, 367 с.
- Туркина О.М., Ножкин А.Д. (2008) Океанические и рифтогенные метавулканические ассоциации зеленокаменных поясов северо-западной части Шарыжалгайского выступа, Прибайкалье. Петрология. 16(5), 501-526.
- Шохонова М.Н., Донская Т.В., Гладкочуб Д.П., Мазукабзов А.М., Падерин И.П. (2010) Палеопротерозойские базальтоиды Северо-Байкальского вулканоплутонического пояса Сибирского кратона: возраст и петрогенезис. Геология и геофизика. 51(8), 1049-1072.
- Эрнст Р.Е., Округин А.В., Веселовский Р.В., Камо С.Л., Гамильтон М.А., Павлов В.Э., Сёдерлунд У., Чемберлейн К.Р., Роджерс К. (2016) Куонамская крупная изверженная провинция (север Сибири, 1501 млн лет): U-Pb геохронология, геохимия и корреляция с синхронным магматизмом других кратонов. Геология и геофизика. 57(5), 833-855.
- Donskaya T.V. (2020) Assembly of the Siberian Craton: Constraints from Paleoproterozoic granitoids. Precambrian Res. 348, 105 869.
- Donskaya T.V., Gladkochub D.P. (2021) Post-collisional magmatism of 1.88–1.84 Ga in the southern Siberian Craton: An overview. Precambrian Res. 367, 106447.
- Dorendorf F., Wiechert U., Wörner G. (2000) Hydrated sub-arc mantle: a source for the Klyuchevskoy volcano, Kamchatka/Russia. Earth Planet. Sci. Lett. 175, 69-86.
- Ernst R.E., Buchan K.L., Hamilton M.A., Okrugin A.V., Tomshin M.D. (2000) Integrated paleomagnetism and U‒Pb geochronology of mafic dikes of the eastern Anabar Shield region, Siberia: implications for Mesoproterozoic paleolatitude of Siberia and comparison with Laurentia. J. Geol. 108(4), 381-401.
- Ernst R.E., Hamilton M.A., Söderlund U., Hanes J.A., Gladkochub D.P., Okrugin A.V., Kolotilina T., Mekhono-shin A.S., Bleeker W., LeCheminant A.N., Buchan K.L., Chamberlain K.R., Didenko A.N. (2016) Long-lived connection between southern Siberia and northern Laurentia in the Proterozoic. Nat. Geosci. 9(6), 464-469.
- Evans D.A.D., Veselovsky R.V., Petrov P.Yu., Shatsillo A.V., Pavlov V.E. (2016) Paleomagnetism of Mesoproterozoic margins of the Anabar Shield: A hypothesized billion-year partnership of Siberia and northern Laurentia. Precambrian Res. 281, 639-655.
- Gladkochub D.P., Donskaya T.V., Reddy S.M., Poller U., Bayanova T.B., Mazukabzov A.M., Dril S., Todt W., Pisarevsky S.A. (2009) Palaeoproterozoic to Eoarchaean crustal growth in southern Siberia: a Nd-isotope synthesis. Geol. Soc. London, Spec. Publ. 323, 127-143.
- Gladkochub D.P., Pisarevsky S.A., Donskaya T.V., Ernst R.E., Wingate M.T.D., Söderlund U., Mazukabzov A.M., Sklyarov E.V., Hamilton M.A., Hanes J.A. (2010) Proterozoic mafic magmatism in Siberian craton: An overview and implications for paleocontinental reconstruction. Precambrian Res. 183, 660-668.
- Gladkochub D.P., Donskaya T.V., Pisarevsky S.A., Salnikova E.B., Mazukabzov A.M., Kotov A.B., Motova Z.L., Stepanova A.V., Kovach V.P. (2021) Evidence of the latest Paleoproterozoic (~1615 Ma) mafic magmatism the southern Siberia: extensional environments in Nuna supercontinent. Precambrian Res. 354, 106049.
- Ivanov A.V., Levitskii I.V., Levitskii V.I., Corfu F., Demonterova E.I., Reznitskii L.Z., Pavlova L.A., Kamenetsky V.S., Savatenkov V.M., Powerman V.I. (2019) Shoshonitic magmatism in the Paleoproterozoic of the south-western Siberian Craton: An analogue of the modern post-collision setting. Lithos. 328–329, 88-100.
- Jacobsen S.B., Wasserburg G.J. (1984) Sm-Nd isotopic evolution of chondrites and achondrites, II. Earth Planet. Sci. Lett. 67, 137-150.
- Jensen L.S. (1976) A new cation plot for classifying subalkalic volcanic rocks. Ontario Department of Mines, Miscellaneous Pap.
- LeBas M.J., Lemaitre R.W., Streckeisen A., Zanettin B. (1986) A chemical classification of volcanic rocks based on the total alkali silica diagram. J. Petrol. 27(3), 745-750.
- Mahoney J.J., Storey M., Duncan R.A., Spencer K.J., Pringle M. (1993) Geochemistry and age of the Ontong Java Plateau. In: The Mesozoic Pacific: Geology, Tectonics, and Volcanism. Washington, D.C.: AGU. Geophys. Monogr. Ser. 77, 233-261.
- Panteeva S.V., Gladkochoub D.P., Donskaya T.V., Markova V.V., Sandimirova G.P. (2003) Determination of 24 trace elements in felsic rocks by inductively coupled plasma mass spectrometry after lithium metaborate fusion. Spectrochim. Acta, Part B. 58(2), 341-350.
- Pearce J.A. (2008) Geochemical fingerprinting of oceanic basalts with applications to ophiolite classification and the search for Archean oceanic crust. Lithos. 100, 14-48.
- Pearce J.A., Ernst R.E., Peate D.W., Rogers C. (2021) LIP printing: Use of immobile element proxies to characterize Large Igneous Provinces in the geologic record. Lithos. 392–393, 106068.
- Pin C., Santos-Zalduegui J.F. (1997). Sequential separation of light rare- earth elements, thorium and uranium by miniaturized extraction chromatography: Application to isotopic analyses of silicate rocks. Analytica Chimica Acta. 339, 79-89.
- Romanov M., Sovetov Ju.K., Vernikovsky V.A., Rosenbaum G., Wilde S.A., Vernikovskaya A.E., Matushkin N.Yu., Kadilnikov P.I. (2021) Late Neoproterozoic evolution of the southwestern margin of the Siberian Craton: evidence from sedimentology, geochronology and detrital zircon analysis. Int. Geol. Rev. 63(13), 1658-1681.
- Rudnick R.L., Fountain D.M. (1995) Nature and composition of the continental crust: A lower crustal perspective. Reviews of Geophysics. 33, 267-309.
- Savelev A.D., Malyshev S.V., Savatenkov V.M., Ignatov D.D., Kuzkina A.D. (2020) Meso-Neoproterozoic Mafic Sills along the South-Eastern Margin of the Siberian Craton, SE Yakutia: Petrogenesis, Tectonic and Geochemical Features. Minerals. 10, 805.
- Saunders A.D., Norry M.J., Tarney J. (1988) Origin of MORB and chemically-depleted mantle reservoirs: Trace element constraints. J. Petrol. (Special Lithosphere Issue), 415-445.
- Sklyarov E.V., Gladkochub D.P., Mazukabzov A.M., Menshagin Yu.V., Watanabe T., Pisarevsky S.A. (2003) Neoproterozoic mafic dike swarms of the Sharyzhalgai metamorphic massif (southern Siberian craton). Precambrian Res. 122, 359-376.
- Sun S., McDonough W.F. (1989) Chemical and isotopic systematics of oceanic basalts: implications for mantle composition and processes Basins. In Magmatism in the oceanic basins (Eds. Saunders A.D., Norry M.J.). Geol. Soc. London, Spec. Publ. 42, 313-345.
- Villa I.M., Holden N.E., Possolo A., Ickert R.B., Hibbert D.B., Renne P.R. (2020) IUPAC-IUGS recommendation on the half-lives of 147Sm and 146Sm. Geochimica et Cosmochimica Acta 285, 70-77.
- Wakita H., Schmitt R.A., Rey P. (1970) Elemental abundances of major, minor, and trace elements in Apollo 11 lunar rocks, soil and core samples. Proceedings of the Apollo 11 Lunar Science Conference, 1685-1717.
- Wingate M.T.D., Pisarevsky S.A., Gladkochub D.P., Donskaya T.V., Konstantinov K.M., Mazukabzov A.M., Stanevich A.M. (2009) Geochronology and paleomagnetism of mafic igneous rocks in the Olenek Uplift, northern Siberia: Implications for Mesoproterozoic supercontinents and paleogeography. Precambrian Res. 170(3–4), 256-266.
Дополнительные файлы












