Особенности экспрессии eGFP гена у транспластомных растений табака Nicotiana tabacum L. CV. Petit havana
- Authors: Сидорчук Ю.В.1, Белавин П.А.1, Загорская А.А.1, Маренкова Т.В.1, Кузнецов В.В.1, Хайрулина Е.С.1, Дейнеко Е.В.1
-
Affiliations:
- Федеральное государственное бюджетное научное учреждение Федеральный исследовательский центр Институт цитологии и генетики Сибирского отделения Российской академии наук
- Issue: Vol 71, No 5 (2024): Генетическая инженерия растений – достижения и перспективы
- Pages: 620-631
- Section: ЭКСПЕРИМЕНТАЛЬНЫЕ СТАТЬИ
- URL: https://journals.rcsi.science/0015-3303/article/view/269482
- DOI: https://doi.org/10.31857/S0015330324050105
- EDN: https://elibrary.ru/MMAIBU
- ID: 269482
Cite item
Full Text
Abstract
Методом биобаллистики получены транспластомные растения табака, экспрессирующие репортерный ген egfp и ген селективного маркера aadA в составе бицистронного оперона. Исследованы особенности экспрессии гена egfp в двух группах транспластомных растений: семенного потомства, полученного от самоопыления, и растений, полученных в результате двух последовательных циклов регенерации из листьев исходных трансформантов. Проведен сравнительный флуориметрический анализ накопления рекомбинантного белка в группах транспластомных растений и ядерных трансформантов. Установлено, что количество рекомбинантного белка eGFP, накапливаемого в листьях транспластомных растений, оказалось неожиданно низким и не превышало уровня установленного для ядерных трансформантов. Результаты ПЦР в реальном времени показали, что низкий уровень накопления рекомбинантного eGFP не связан c низким уровнем экспрессии трансгена или с присутствием в хлоропластах нетрансгенных копий пластидного генома. Вероятнее всего, это связано с ограничениями, налагаемыми на уровне трансляции рекомбинантных белков в хлоропластах.
Full Text
ВВЕДЕНИЕ1
Трансформация пластидного генома имеет ряд преимуществ по сравнению с ядерной. Прежде всего это связано с возможностью направленной интеграции трансгенов в пластидный геном по принципу гомологичной рекомбинации, что позволяет избежать эффекта положения, генного сайленсинга и перекрывания с собственными генами пластома [1, 2]. Кроме того, такой подход является более безопасным с точки зрения переноса трансгенов в окружающую среду за счет материнского типа наследования пластид [1].
С точки зрения биотехнологического приложения наиболее привлекательной является способность транспластомных растений достигать высокого выхода рекомбинантных белков по сравнению с ядерной трансформацией, что обеспечивается высокой копийностью пластома в клетках. Например, показана возможность наработки фагового лизина PlyGBS в хлоропластах табака на уровне более 70% от общего растворимого белка (ОРБ) [3]. Однако такие количества чужеродных рекомбинатных белков могут негативно влиять на биосинтетическую активность хлоропластов, мешая фотосинтезу и приводя к различным плейотропным эффектам, самым очевидным из которых является хлороз [3, 4].
Прокариотический тип экспрессии позволяет интегрировать в пластом искусственные опероны, что в свою очередь дает возможность переносить в растительные клетки новые метаболические пути и развивать метаболическую инженерию [5–7]. В целом спектр применения хлоропластной инженерии очень широк и направлен на создание стрессоустойчивых форм растений, синтез ферментов и материалов, биофортификацию и биофармацевтику [8, 9]. Таким образом, создание высокопродуктивной системы экспрессии на основе модификации пластидных геномов растений представляется весьма перспективной задачей современной биотехнологии.
Несмотря на всю привлекательность, технология модификации пластидного генома растений до сих пор не стала рутинной процедурой. На пути ее создания существует ряд трудностей, основными из которых являются крайне низкая эффективность трансформации и отбора высокопродуктивных гомопластидных трансформантов [2]. Благодаря пополнению списка секвенированных пластидных геномов увеличивается и список видов растений, у которых проведена трансформация пластома [8–10]. Однако воспроизводимые результаты получены с использованием узкого круга модельных видов растений, а выход целевых рекомбинантных белков сильно варьирует и часто не превышает уровня, который наблюдается у ядерных трансформантов [9].
В лаборатории биоинженерии растений ИЦиГ СО РАН были получены транспластомные растения табака, экспрессирующие репортерный ген egfp и селективный маркер aadA в составе бицистронного оперона. Целью данной работы было оценить уровень экспрессии репортерного egfp-гена по накоплению мРНК и его белкового продукта в листьях транспластомных растений. Проведено сравнение накопления рекомбинантного eGFP-белка в транспластомных и ядерных трансформантах, а также в растениях-регенерантах, полученных в результате двух циклов регенерации из эксплантов исходных транспластомных растений. Определен уровень гомоплазмии. В статье обсуждаются вопросы неожиданно низкого уровня накопления целевого белка в тканях транспластомных растений и возможности решения этой проблемы.
МАТЕРИАЛЫ И МЕТОДЫ
Растительный материал
В качестве исходного материала для биобаллистической трансформации генома пластид и агробактериальной трансформации ядерного генома использовали листья, полученные от стерильных растений табака Nicotiana tabacum L. cv. Petit Havana, выращенных в асептических условиях in vitro на МС-среде [11]. Исходные стерильные растения, а также листовые экспланты, растения-регенеранты и проростки культивировали в условиях факторостатной комнаты при температуре 24°С и фотопериоде 16/8 ч (день/ночь). Растения выращивали в условиях гидропонной теплицы с использованием раствора Кнопа при световом режиме 16/8 ч (день/ночь), температуре 21°–24°С.
Создание экспрессионного вектора pPlastEx-GFP для трансформации пластидного генома табака
Общая схема конструирования экспрессионного вектора представлена на рис. 1 (Дополнительные материалы, рис. 1). В качестве места инсерции в пластидный геном был выбран район между генами, кодирующими тРНК изолейцина – tRNA-Ile и аланина – tRNA-Ala, располагающийся в инвертированном повторе. Поскольку встройка кассеты экспрессии в пластидный геном происходит по принципу гомологичной рекомбинации, были подобраны соответствующие фланкирующие последовательности, гомологичные сайту встраивания. Левую и правую фланкирующие последовательности длиной 1260 и 884 п.н., соответственно, получали при помощи ПЦР с матрицы пластидной ДНК табака, используя праймеры, представленные в табл. 1 (Дополнительные материалы, табл. 1). Полученные фрагменты ДНК клонировали в составе плазмиды pUC19 в два этапа (Дополнительные материалы, рис. 1а). По сайтам EcoRI/Acc65I клонировали левый фланк длиной 1260 п.н, с последующим делетированием сайта EcoRI. Затем по сайтам HindIII/SalI клонировали правый фланк длиной 884 п.н. На данном этапе получали промежуточную плазмиду pUC19_left_right-(deltaRI-HIII) (Дополнительные материалы, рис. 1б).
Ранее нами была получена генетическая конструкция, в которой репортерный ген egfp (фенотипический маркер) и селективный маркер aadA были поставлены под управление конститутивного пластидного промотора оперона рРНК (Prrn), слитого с лидерной последовательностью гена 10 фага Т7 (G10L) и терминатора TpsbA гена psbA, кодирующего белок D1 фотосистемы II (Дополнительные материалы, рис. 1в). Эта конструкция была клонирована в составе отдельной плазмиды pUC19, из которой кассету экспрессии получали в виде ПЦР-фрагмента с использованием праймеров, представленных в табл. 2 (Дополнительные материалы, табл. 2). Полученный фрагмент ДНК клонировали в составе плазмиды pUC_left_right_(delts_RI-HIII) по сайтам Acc65I/SalI c образованием конечной плазмиды pPlastEx-GFP, используемой для трансформации пластидного генома (Дополнительные материалы, рис. 1г).
Оценка экспрессионной активности генетической конструкции в прокариотической системе экспрессии
Полученную плазмиду pPlastEx-GFP клонировали в клетках E. coli штамма DH10B и выращивали на стандартной среде LB с добавлением антибиотика спектиномицина в концентрациях от 50 до 400 мг/л. Флуоресценцию eGFP в коллониях E. coli детектировали с помощью освещения чашек Петри лампой темно-синего света (HL34T, “Clare Chemical Research”, США) при длине волны ex/em = 488/507 нм.
Трансформация и отбор транспластомных растений табака
Трансформацию листовых эксплантов табака N. tabacum проводили с помощью биобаллистики по стандартной методике. Стерильные листья помещали на чашки Петри с базовой МС-средой [11] абаксиальной стороной вверх и дважды обстреливали золотыми частицами при давлении разрыва мембраны 1100 psi, расстоянии до экспланта 6 см и вакууме в камере 25 мм.рт.ст. Иммобилизацию плазмидной ДНК на золотые частицы размером 0.6 мкм проводили с помощью CaCl2 и спермидина согласно инструкции производителя “генной пушки” PDS-1000/He (“Bio-Rad”, США). После биобаллистики листья культивировали на той же среде в темноте в течение 48 ч при 24°С. Затем листья разрезали на части размером примерно 1 см2, экспланты раскладывали на поверхности среды для регенерации (МС-среда с добавлением 1 мг/л N6-бензиладенина, 0.1 мг/л 1-нафтилуксусной кислоты и 300 мг/л спектиномицина) по площади всей чашки Петри. Каждые 4 нед. экспланты пассировали на свежую среду того же состава до появления зеленых каллусов через 4–6 нед. Появившиеся и подрощенные зеленые каллусы пересаживали на свежую среду для индукции побегообразования (МС-среда с добавлением 0.1 мг/л N6-бензиладенина, 300 мг/л антибиотика спектиномицина и 300 мг/л антибиотика стрептомицина). Сформировавшиеся регенеранты отделяли и укореняли на безгормональной МС-среде.
Исходные транспластомные растения Т0 адаптировали к условиям гидропонной теплицы, выращивали и получали семена от самоопыления. Полученные семена извлекали из коробочек и стерилизовали спиртом 96% в течение 90 с. Семена дважды промывали стерильной водой, подсушивали на фильтровальной бумаге и высевали на МС-среду с добавлением двух селективных агентов (спектиномицина и стрептомицина) в максимальной концентрации 500 мг/л для устранения гетеропластидности. Зеленые Т1 проростки, устойчивые к антибиотикам, подращивали в стерильных условиях, а затем адаптировали к условиям гидропонной теплицы и выращивали для дальнейшего анализа.
Для устранения химерности и гетеропластидности у 4 исходных T0 транспластомных растений стерильно отбирали листья и в условиях селективного отбора (спектиномицин в концентрации 500 мг/л) регенерировали новые побеги, цикл повторяли дважды. Полученные молодые регенеранты подращивали на МС-среде с добавлением спектиномицина и стрептомицина в максимальной концентрации 500 мг/л. Хорошо укоренившиеся регенеранты R2 адаптировали к условиям гидропонной теплицы и выращивали зрелые растения для дальнейшего анализа.
Получение ядерных трансформантов
Агробактериальную трансформацию листовых эксплантов табака и получение растений-трансформантов проводили по общепринятому протоколу [12] с использованием штамма A. tumefaciens C58C1RifR, несущей плазмиду pCAMBIA 1300 GFP, экспрессирующую репортерный ген egfp и ген доминатного селективного маркера hptII (Дополнительные материалы, рис. 2). В качестве селективного агента использовали антибиотик гигромицин В в концентрации 20 мг/л. Трансформанты T0, устойчивые к гигромицину В, адаптировали к условиям гидропонной теплицы и выращивали зрелые растения для дальнейшего анализа.
Молекулярный анализ трансформантов
Наличие перенесенных генов в геноме трансформантов оценивали с помощью стандартной ПЦР. Тотальную ДНК растений выделяли в соответствии с методикой, опубликованной ранее [13]. Структура праймеров приведена в табл. 3 (Дополнительные материалы, табл. 3). Программа амплификации: 95°С – 1 мин.; далее 29 циклов: 95°С – 20 с, 52°С – 20 с, 72°С – 30 с, и затем 72°С – 2 мин. Уровень экспрессии перенесенных генов egfp и aadA в транспластомных растениях оценивали при помощи ПЦР в реальном времени против контрольной экспрессии собственного пластидного референсного гена табака ycf2 [14].
Для проведения анализа экспрессии генов для каждого образца была выделена тотальная РНК при помощи реагента ExtractRNA (“Евроген”, Россия), РНК обрабатывали DNase I (“Qiagen”, Германия). Затем с помощью набора реактивов (“Thermo Scientific RevertAid First Strand cDNA Synthesis Kit”, США) получали раствор кДНК из 4 мкг суммарной РНК в 20 мкл реакционной смеси.
В реакцию мультиплексной ПЦР в реальном времени брали 1 мкл раствора ДНК или кДНК и амплифицировали в 20 мкл реакционной смеси следующего состава: 50 мМ Tris-SO4, pH 9.0, 30 мМ KCl, 10 мМ сульфата аммония, 0.01% Tween-20, 3 мМ MgCl2, 0.2 мМ смеси дезоксирибонуклеозидтрифосфатов, смесь праймеров и зонда по 0.4 мкМ каждого и 0.1 е.а./мкл Hot Start ДНК-полимеразы (“СибЭнзим”, Россия). Структура праймеров и зондов приведены в табл. 4 (Дополнительные материалы, табл. 4). Программа амплификации: 95°С – 3 мин., далее 40 циклов с детекцией на стадии отжига (каналы FAM, HEX, ROX): 95°С – 10 с, 60°С – 20 с. Каждый образец амплифицировали в трех повторах. Уровень экспрессии оценивали при помощи ПО “Bio-Rad CFX Manager 3.1”.
Для определения и контроля гомоплазмии использовали ПЦР в реальном времени [15]. Степень гомоплазмии оценивали в препаратах тотальной ДНК растений, выделенной в соответствии с методикой, опубликованной ранее [13]. Структура праймеров и зондов приведены в табл. 4 (Дополнительные материалы, табл. 4). Каждый образец амплифицировали в трех повторах. Уровень экспрессии оценивали при помощи ПО “Bio-Rad CFX Manager 3.1”.
Микроскопия
Детекцию автофлуоресценции хлоропластов и флуоресценцию рекомбинантного белка eGFP в хлоропластах клеток листовой паренхимы, замыкающих клеток устьиц транспластомных растений проводили на конфокальном микроскопе NLO 780 (“Zeiss”, Германия) при использовании лазеров с длинной волны 488 нм, 633 нм и комплектами фильтров Ch1: 493–598 нм, Ch2: 647–721 нм. Изображения обрабатывали с использованием програмного обеспечения ZEN (“Zeiss”, Германия).
Определение eGFP флуориметрическим методом
Определение количества рекомбинантного eGFP (% от ОРБ) в листьях транспластомных растений проводили флуориметрическим методом в 3–5 повторностях. На каждом этапе получения транспластомных растений проводили контроль eGFP-флуоресценции хлоропластов с использованием конфокальной микроскопии.
Для определения количества рекомбинантного белка eGFP в транспластомных растениях табака и ядерных трансформантах с каждого анализируемого растения брали среднюю пробу из трех листьев разного возраста. Примерно 250 мг ткани растирали в жидком азоте, порошок переносили в 1.5 мл пробирки с 500 мкл буфера PBS (phosphate buffered saline) pH 7.4 с добавлением ингибитора протеаз (Pierce Protease Inhibitor Tablets, “Thermo Scientific”, США) и тщательно встряхивали. Пробирки держали на льду. Дебрис осаждали центрифугированием при 4°С в течение 10 мин. при 13000 об/мин. Супернатант отбирали, стараясь не захватить осадок, и переносили в новые пробирки на лед. Экстракт разводили буфером PBS в 10 раз и определяли флуоресценцию eGFP в 200 мкл раствора флуориметрическим способом на приборе Clariostar Plus (“BMG Labtech”, Германия) при длине волны 485 нм.
Определение общего растворимого белка
ОРБ выделяли из листьев зрелых растений (см. выше). Определение ОРБ проводили с использованием реактива Бредфорд на приборе Clariostar Plus (“BMG Labtech”, Германия) при длине волны 595 нм. Калибровку строили по БСА в рабочей концентрации 1 мг/мл.
Статистическая обработка полученных данных
Для сравнения групп применяли непараметрический критерий Краскела–Уоллиса. Критическое значение уровня значимости принималось равным 5%, Р– достигнутый уровень значимости. Для множественного сравнения выборок разного объема использовали критерий Данна (Qкр = 2.394; k = 3; α = 0.05), где Qкр – критическое значение, к – число сравниваемых групп, α – уровень значимости. Статстическую обработку проводили с использованием программного пакета Statistica 5.5.
РЕЗУЛЬТАТЫ
Генетическая конструкция
Для оценки уровня экспрессии и накопления рекомбинантного белка в модельных транспластомных растениях табака была создана генетическая конструкция pPlastEx-GFP, схема которой представлена на рис. 1. В состав конструкции входили репортерный ген egfp в качестве фенотипического маркера и целевого гена, а также селективный маркер aadA, обеспечивающий устойчивость к антибиотикам спектиномицину и стрептомицину, разделенные сайтом связывания рибосом.
Рис. 1. Схема генетической конструкции pPlastEx-GFP для экспрессии генов egfp и aadA в пластидах (хлоропластах) табака. PrrnG10L – промотор оперона рРНК (Prrn), слитый с лидерной последовательностью гена 10 фага Т7 (G10L), egfp – кодирующая последовательность гена зеленого флуоресцирующего белка, RBS – сайт связывания рибосом, aadA – кодирующая последовательность гена устойчивости к спектиномицину, TpsbA – терминатор гена psbA, кодирующего белок D1 фотосистемы II, LF и RF – левая и правая фланкирующие последовательности.
Конструкция организована в виде бицистронного оперона [16, 17], в котором оба гена поставлены под управление конститутивного пластидного промотора оперона рРНК (Prrn), слитого с лидерной последовательностью гена 10 фага Т7 (G10L) и терминатора TpsbA гена psbA, кодирующего белок D1 фотосистемы II. Кодирующая часть конструкции фланкирована последовательностями, обеспечивающими ее инсерцию в район между генами тРНК изолейцина и аланина, которые располагаются в инвертированном повторе пластидного генома табака.
Оценка эффективности генетических конструкций для трансформации пластидного генома в прокариотической системе экспрессии
Функциональную активность создаваемых генетических конструкций для ядерной трансформации возможно предварительно оценивать в эукариотических клетках в режиме транзиентной экспрессии. Особенности дизайна генетических конструкций для пластидной экспрессии делают предварительную проверку их функциональности (экспрессионной активности) проблематичной. Это связано с использованием в их составе регуляторных элементов прокариотического типа, которые делают трансген функционально активным только при встройке в геном пластид, но не в ядро. Для решения этой проблемы мы предлагаем проводить оценку экспрессионной активности новых конструкций в прокариотической системе экспрессии E. coli.
Данный подход позволяет оценить экспрессионную активность созданной нами генетической конструкции сразу по двум генам. Из представленных на рис. 2 данных видно, что экспрессия в E. coli генетической конструкции pPlastEx_GFP обеспечивает устойчивость клеток к антибиотику спектиномицину в том диапазоне концентраций, который используется для отбора транспластомных растений (рис. 2а—г). В тоже время флуоресценция eGFP свидетельствует о наработке репортерного/целевого белка и, соответственно, о функциональности кассеты экспрессии.
Рис. 2. Оценка экспрессионной активности генетической конструкции pPlastEx_GFP в клетках E. coli. а-г – клетки E. coli, трансформированные экспрессионным вектором, на питательной среде с различным содержанием спектиномицина. (а) – 50 мг/л; (б) – 100 мг/л; (в) – 200 мг/л; (г) – 400 мг/л. Зеленый цвет – флуоресценция eGFP. * – колонии не экспрессирующие egfp.
Отбор и анализ транспластомных растений
Из числа первичных трансформантов были отобраны растения, которые послужили основой для создания 19 независимых линий T1 поколения, а также 8 линий растений-регенерантов R2. Наличие встройки генов доминатного селективного маркера aadA и флуоресцентного репортера egfp в пластоме полученных растений доказывали с помощью ПЦР.
Все анализируемые транспластомные растения показали наличие в пластидном геноме перенесенных генов (рис. 3).
Рис. 3. Электрофореграмма продуктов амплификации в 1% агарозном геле (на примере 7 образцов), подтверждающая наличие генов aadA и egfp в геноме транспластомных растений. М – маркер молекулярных весов Step100 Long.
Кроме того полученные транспластомные растения тестировали с помощью конфокальной микроскопии на наличие флуоресценции рекомбинатного eGFP в хлоропластах на всех этапах проводимого исследования. Из-за сильного наложения сигналов eGFP в клетках мезофилла листа наиболее удобными для анализа оказались замыкающие клетки устьиц. Флуоресценция eGFP наблюдалась в хлоропластах всех исследованных растений поколения Т1 и R2, устойчивых к используемым селективным агентам (рис. 4 а—г).
Рис. 4. Детекция рекомбинантного eGFP с помощью конфокальной микроскопии на примере замыкающих клеток устьиц в листьях табака. а – флуоресценция eGFP в хлоропластах; б – автофлуоресценция хлоропластов; в – фазовый контраст; г – совмещение. Масштабная линейка: 10 мкм.
Сравнительный анализ накопления рекомбинантного eGFP в исследуемых группах растений
Согласно полученным данным количество рекомбинантного eGFP в группе транспластомных растений поколения T1, полученных от самоопыления исходных независимых трансформантов, в среднем составило 0.37 ± 0.02%. Разброс изменчивости в этой группе растений был незначительным и составил от минимального значения равного 0.22 ± 0.04% у линии C9 до максимального значения равного 0.65 ± 0.07% от ОРБ у линии C18 (рис. 5а). Это соответствует примерно трехкратному превышению максимальных значений по накоплению eGFP над минимальными.
Рис. 5. Накопление рекомбинатного eGFP-белка в линиях транспластомных растений и ядерных трансформантов. а – транспластомные растения табака поколения T1, полученные от самоопыления исходных T0 трансформантов; б – транспластомные растения-регенеранты табака R2, полученные в результате двух раундов регенерации из листовых эксплантов исходных транспластомных трансформантов T0 (синие столбики – транспластомные растения T1 поколения, для сравнения, полученные от тех же самых исходных T0); в – ядерные трансформанты поколения T0.
На рисунке 5б представлены результаты по накоплению eGFP в группе транспластомных растений-регенерантов поколения R2, полученных из листьев исходных трансформантов T0 после двух циклов регенерации в условиях селективного отбора. Как видно из представленных данных, максимальное значение признака равное 0.59 ± 0.05% от ОРБ у линий R3.2 и R4.2 превышало минимальное значение равное 0.35 ± 0.04% у линии R4.1 примерно в 1.7 раза (рис. 5б), соответственно, размах изменчивости в данной группе был минимальным. В среднем рекомбинатный eGFP накапливался в листьях этой группы растений на уровне 0.48 ± 0.05% от ОРБ.
В качестве контрольной группы для проведения сравнительного анализа нами также были получены ядерные трансформанты Т0 (21 растение), продуцирующие eGFP. Структура генетической конструкции, использованной для векторного переноса, и результаты ПЦР анализа на наличие встройки гена egfp в ядерный геном трансформантов представлены на рис. 3 (Дополнительные материалы, рис. 3). Согласно данным флуориметрического определения в листьях растений данной группы количество рекомбинатного eGFP в среднем составило 0.50 ± 0.05%, а минимальное и максимальное значения определялись на уровне 0.07 ± 0.02% и 1.01 ± 0.04% от ОРБ у растений N4 и N11, соответственно, показывая разницу между этими значениями в 14 раз (рис. 5в).
Сравнительный анализ полученных данных с помощью непараметрического критерия Краскела-Уоллиса подтвердил наличие достоверных различий между исследуемыми (T1, R2, T0) группами растений (H(2N=48) = 10.082, Р = 0.0065). Попарное сравнение групп анализируемых растений с использованием критерия Данна позволяют утверждать, что в среднем ядерные трансформанты T0 накапливали в листьях достоверно больше eGFP, чем транспластомные растения T1 поколения (QT0,T1 = 2.808, К = 3, α = 0.05). Однако, по этому параметру они достоверно не отличались от транспластомных растений-регенерантов поколения R2 (QT0,R2 = 0.364, К = 3, α = 0.05). В целом можно отметить тенеденцию к статистически значимому увеличению (примерно на 30%) количества рекомбинатного eGFP у растений-регенерантов R2, по сравнению с транспластомными растениями T1 поколения, полученных от самоопыления (QT1,R2 = 2.468, К = 3, α = 0.05).
Уровень экспрессии по накоплению мРНК генов aadA и egfp
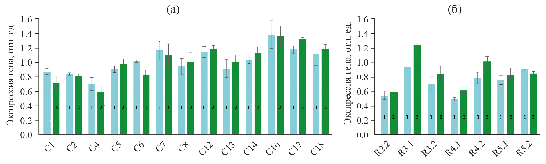
Одним из важных факторов, определяющих накопление рекомбинантного продукта в тканях трансгенных растений, является уровень экспрессии перенесенных генов, оцениваемый по количеству их мРНК. На рис. 6 представлены данные по определению уровня экспрессии генов aadA и egfp в листьях транспластомных растений поколения Т1, а также растений-регенерантов поколения R2. Результаты, представленные на рисунке, нормированы по уровню экспрессии референсного гена ycf2, представленного в пластидном геноме табака одной копией.
Во всех исследованных транспластомных растениях табака поколения Т1, полученного от самоопыления исходных трансформантов, обнаруживалась экспрессия генов aadA и egfp с незначительной степенью вариабельности между растениями (рис. 6а). Так, минимальное значение по количеству мРНК, транскрибируемой с гена aadA, составило от 0.70 ± 0.09, а максимальное – 1.39 ± 0.19 относительных единиц у линий C4 и C16, соответственно, а гена egfp – от 0.59 ± 0.07 до 1.37 ± 0.14 у тех же самых линий. В среднем же уровень экспрессии по анализируемым генам в данной группе относительно экспрессии референсного гена ycf2 оказался одинаковым и составил 1.02 ± 0.05 для aadA и 1.02 ± 0.06 для egfp.
Рис. 6. Уровень экспрессии генов aadA и egfp в составе генетической конструкции pPlastEx_GFP в пластидах транспластомных растений по накоплению матричной РНК. а – растения поколения Т1; б – растения регенеранты поколения R2; синий цвет (1) – aadA; зеленый цвет (2) – egfp; отн. ед. – относительные единицы.
Транспластомные растения-регенеранты R2 были получены для устранения химерности и достижения гомоплазмии. У растений данной группы уровень экспрессии гена aadA варьировал от 0.49 ± 0.02 до 0.94 ± 0.10 относительных единиц у линий R4.1 и R3.1, а уровень экспрессии гена egfp – от 0.59 ± 0.05 до 1.24 ± 0.14 у линий R2.2 и R3.1, соответственно (рис. 6б). В целом можно отметить тенденцию к некоторому незначительному снижению значений уровня экспрессии у растений этой группы, которые составили в среднем 0.73 ± 0.06 относительных единиц для гена aadA и 0.85 ± 0.09 для гена egfp.
Интересно отметить, что сравнительный анализ полученных данных с помощью непараметрического критерия Краскела-Уоллиса не выявил достоверных различий между исследуемыми группами растений по уровню экспрессии репортерного/целевого гена egfp (H(1, N=20) = 0.982, Р = 0.3216), но показал достоверные отличия по уровню экспрессии гена aadA (H(1, N=20) = 8.603, Р = 0.0034).
Определение гомоплазмии в транспластомных растениях
Согласно условиям, разработанной нами ПЦР в реальном времени, статус гомоплазмии подтверждается, если количество продукта, нормированного на контрольный ген ycf2, присутствующий в пластидном геноме табака в одной копии, варьирует в границах от 0.8 до 1.2 относительных единиц. Как видно из представленных данных при оценке степени гомоплазмии по гену доминантного селективного маркера aadA все исследованные транспластомные растения как поколения Т1 (рис. 7а), так и растения-регенеранты R2 (рис. 7б), являются гомоплазматическими, то есть все копии пластидного генома у них трансгенные.
Рис. 7. Определение гомоплазмии транспластомных растений. а – в транспластомных растениях Т1 поколения; б – в транспластомных растениях-регенерантах R2: желтый цвет (1) – ген aadA; зеленый цвет (2) – ген egfp; красная рамка – границы гомоплазмии; отн. ед. – относительные единицы.
Интересно отметить, что при оценке степени гомоплазмии по гену egfp большая часть растений Т1 показала результат, превысивший верхнюю границу, определенную для гомоплазматических растений, несмотря на то, что оба гена находятся в одной кассете экспрессии, представляющей собой бицистронный оперон (рис. 7а). Однако у транспластомных растений R2 табака подобного явления не наблюдалось (рис. 7б).
ОБСУЖДЕНИЕ
Для повышения частоты интеграции и уровня экспрессии трансгена в пластидном геноме важное значение имеют выбор места встраивания и правильный подбор элементов экспрессионной кассеты: промотора, 5'- и 3'-UTRs. Наиболее сильный промотор в пластидах высших растений, prrn, управляет опероном рРНК, и он использовался при создании многих наиболее интенсивно экспрессирующихся кассет [8, 9]. Так как рРНК не транслируется, для высокой экспрессии трансгена prrn-промотор должен быть дополнен соответствующим сигналом о начале трансляции [10]. По уровню экспрессии репортерных генов были протестированы не только пластидные, но и некоторые экзогенные 5'-UTRs [18]. Одним из таких сильнейших факторов, инициирующих трансляцию, оказался 5'-UTR гена 10 бактериофага T7, который в сочетании с пластидным промотором prrn обеспечивает очень высокие уровни аккумуляции чужеродных белков [3]. Исследования роли пластидных 3'-UTRs говорят о том, что, хотя они и влияют на уровень аккумуляции мРНК, стабилизируя транскрипты, их вклад в экспрессию трансгена сильно ограничен [19]. Это согласуется с тем, что регуляция генной экспрессии в пластидах происходит преимущественно на трансляционном уровне. В созданном нами экспрессионном векторе pPlastEx_GFP гены доминатного селективного маркера aadA и репортера egfp поставлены под управление регуляторных элементов, которые согласно данным литературы способны обеспечивать высокий выход рекомбинантных белков в тканях транспластомных растений [8, 9]. Подобранные фланкирующие последовательности обеспечивают интеграцию кассеты экспрессии в пластидный геном между генами, кодирующими тРНК изолейцина и аланина, локализованные в инвертированном повторе пластидного генома. Это не только повышает частоту трансформации, но также способствует экспрессии трансгена и более высокому накоплению целевого продукта [8, 9]. Интеграция трансгенной кассеты в одну копию инвертированного повтора облегчает интеграцию в другую посредством механизма коррекции копий, который является характерной особенностью реорганизации генома хлоропластов, усиливая тем самым эффективность отбора и достижение гомоплазмии [20].
Как фланкирующие последовательности, так и регуляторные элементы должны быть получены из пластидного генома того вида, который трансформируется. Это связано с тем, что замена последовательностей одного вида на последовательности другого вида может приводить к значительному снижению не только уровня экспрессии перенесенных генов в пластидах, но и частоты интеграции трансгена в пластом [21]. Это еще раз доказывает, что для получения высоких уровней экспрессии трансгена в пластидах необходимо конструировать видоспецифичные векторы.
Процедура получения и отбора транспластомных растений все еще сложна и требует большого количества времени, поэтому весьма желательна предварительная оценка работоспособности векторов, создаваемых для трансформации пластома. Одним из возможных вариантов предварительной оценки вновь создаваемых генетических конструкций является их проверка в режиме транзиентной экспрессии [22]. Это особенно удобно при наличии в конструкции слитых с целевыми генами флуоресцентных репортеров, детекция которых достаточно проста. Однако такой подход возможен при работе с генетическими конструкциями, рассчитанными на ядерную экспрессию эукариотического типа. В случае пластидной трансформации для экспрессии как репортерных, целевых генов, так и генов доминатных селективных маркеров используют регуляторные элементы, промоторы, рассчитанные на прокариотический тип экспрессии, характерный для пластид. Такие генетические конструкции при ядерной инсерции не будут экспрессироваться. Оценка же их экспрессионной активности при доставке непосредственно в пластиды требует длительного отбора и не укладывается во временные рамки транзиентной экспрессии. Существует примеры оценки транзиентной (полученной в течение 2–4 сут.) экспрессии еGFP в различных типах пластид табака и A. thaliana при доставке генетических конструкций с помощью биобаллистики [23]. Однако такой подход имеет серьезные ограничения: очень низкое число пластид в клетке, экспрессирующих еGFP после доставки (в 80% случаев в клетке обнаруживался только один хлоропласт), и необходимость использования конфокальной микроскопии [23]. Все это усложняет процедуру оценки особенно при низком уровне экспрессии флуоресцентного репортера.
На сегодняшний день в научной литературе представлен еще один подход, позволяющий достичь транзиентной экспрессии флуоресцентных репортеров в пластидах разных видов растений. Он основан на доставке экспрессионных векторов в хлоропласты с помощью наночастиц, связанных с полимером, например, однослойных углеродных нанотрубок, покрытых положительно заряженным хитозаном (CS-SWNT) [24]. Такой способ доставки более эффективен, чем биобаллистика, поскольку до 88% хлоропластов могут содержать SWNT [24]. Однако подходы, связанные с использованием наночастиц, в данный момент находятся на стадии разработки и не применимы для решения рутинных задач. Таким образом, оценка функциональности новых генетических конструкций, создаваемых для транспластомной трансформации, в экспрессионной системе E. coli является наиболее удобным подходом для решения подобных задач. Она проста и не ограничена использованием флуоресцентных репортеров, поскольку показана возможность трансляции в клетках E. coli, например, инсулиноподобного фактора роста 1 человека при использовании хлоропластного экспрессионного вектора [25].
Одним из главных преимуществ транспластомных растений по сравнению с ядерными трансформантами является их способность нарабатывать значительные количества рекомбинантных белков [9]. Полученные нами транспластомные растения табака с экспрессионным вектором pPlastEx_GFP поколения Т1 продуцировали рекомбинатный eGFP-белок на уровне достоверно меньшем, чем контрольные ядерные трансформанты. Интересно отметить, что транспластомные растения-регенеранты R2, прошедшие два раунда регенерации под давлением отбора на двух антибиотиках, продуцировали eGFP на уровне ядерных трансформантов, что примерно на 30% больше, чем у потомков T1 полученных от самоопыления исходных трансформантов.
Таким образом, уровень накопления рекомбинантного белка eGFP и разброс изменчивости по этому признаку, выявленные в листьях ядерных трансформантов табака, являются нормой, отражающей особенности случайной интеграции трансгена в ядерный геном. Однако уровень накопления рекомбинантного белка eGFP в листьях транспластомных растений оказался неожиданно низким вне зависимости от выбранного уровня селективного давления при отборе и расхимеривании. Это может быть связано либо с недостаточным уровнем экспрессии трансгена, либо с тем, что при использованных методах отбора не был достигнут уровень полной гомоплазмии хлоропластов.
Количественный анализ мРНК, транскрибируемой с pPlastEx_GFP экспрессионного вектора, не показал очевидной прямой взаимосвязи между накоплением рекомбинтного eGFP у отдельных образцов с наблюдаемыми флуктуациями по экспрессии соответствующих транскриптов. Результаты показывают отсутствие значимых отличий по уровню экспрессии целевого egfp между исследуемыми группами, несмотря на то, что количество нарабатываемого белкового продукта в них достоверно отличается. В целом полученные данные не позволяют связать низкий уровень накопления рекомбинантного eGFP c низким уровнем его экспрессии. Вероятнее всего, это связано с ограничениями, налагаемыми на уровне трансляции рекомбинантных белков.
Характерной особенностью пластидного генома является его огромная копийность. С одной стороны, это позволяет нарабатывать высокие уровни рекомбинантных белков в клетках транспластомных растений, но с другой стороны, создает серьезные трудности при их отборе и преодолении химеризма. Достижение гомоплазмии, то есть такого состояния пластидного генома, при котором все его копии содержат трансген, обусловлено еще и необходимостью предотвращения генной конверсии, рекомбинационного механизма, в результате которого может произойти потеря трансгена и реверсия к дикому типу [10, 26]. Кроме того, предполагается, что при гетероплазмии наличие нетрансгенных копий пластома может снижать выход рекомбинантных белков [2]. Учитывая неожиданно низкий уровень накопления рекомбинантного eGFP в полученных нами транспластомных растениях табака, мы предположили, что это может быть обусловлено гетероплазмией.
Переход на уровень гомоплазмии у транспластомных растений достигается с помощью разных подходов, например, отбором на двух антибиотиках и дополнительными раундами регенерации под давлением отбора [10, 27–29]. В нашей работе мы использовали оба этих подхода для получения исследуемых групп транспластомных растений. Представленные данные свидетельствуют о том, что низкий уровень накопления рекомбинантного eGFP в изученных группах транспластомных растений с кассетой экспрессии pPLastEx_GFP не связан с присутствием нетрансгенных копий пластидного генома.
Одним из подходов, который, как предполагается, влияет на итоговое накопление рекомбинантных белков в пластидах растений, является оптимизация кодонного состава генетических конструкций. Действительно, в некоторых случаях высокие уровни экспрессии (от 12 до 70% рекомбинантных белков от ОРБ) были получены именно с трансгенами, оптимизированными по кодонному составу [3, 29–31]. Однако в этих случаях использовались только синтетические, то есть оптимизированные по кодонному составу кодирующие области и не проводилось сравнения с нативными кодирующими областями. Кроме того, данный подход не всегда приводит к усилению экспрессии и разница в накоплении белка в хлоропластах при использовании трансгенов с синтетическими кодирующими районами и нативными может быть незначительной. Так, показано, что транспластомные растения табака, экспрессирующие оптимизированную генетическую конструкцию, накапливали 11.3% инсулиноподобного фактора роста 1 человека в листьях, а не оптимизированную – 9.5% от ОРБ [25]. Следовательно, реальный вклад оптимизации кодонного состава в достижение высоких уровней экспрессии и накопления рекомбинантных белков не вполне очевиден.
ЗАКЛЮЧЕНИЕ
Трансформация пластидного генома растений является весьма привлекательной альтернативой ядерной трансформации и активно разрабатывается уже не один десяток лет. Достаточно хорошо изучены молекулярно-генетические механизмы этого процесса, и отработаны технологические варианты доставки трансгенов в пластиды по крайней мере для модельных видов растений. Однако до сих пор ожидаемые результаты этого подхода в каждом конкретном случае плохо прогнозируются на всех этапах его реализации, начиная с создания экспрессионного вектора. Даже использование оптимизированных по характеристикам регуляторных элементов и нацеливание генетической конструкции в наиболее эффективные для экспрессии сайты пластидного генома не гарантирует высоких уровней выхода продукта. Широкая вариабельность уровня накопления рекомбинантных белков (от 0.85% до 45.0% от общего растворимого белка) отмечалась даже для случаев оптимального сочетания регуляторных элементов и сайта интеграции [2]. На самом деле этот разброс может быть еще больше. Отобранные нами транспластомные растения табака показали накопление рекомбинантного eGFP на неожиданно низком уровне, соответствующем экспрессии ядерных трансформантов. Кроме того, полученные транспластомные растения табака показали незначительную степень изменчивости как по уровню экспрессии, так и по уровню накопления рекомбинантного eGFP, что, очевидно, обусловлено молекулярно-генетическими особенностями самого процесса трансформации пластидного генома. Соответственно, даже увеличение выборки исходных трансформантов не гарантирует того, то что будут выделены высокопродуктивные формы. Полученные нами данные не позволяют связать низкий уровень накопления рекомбинантного eGFP c низким уровнем экспрессии трансгена или с присутствием в хлоропластах нетрансгенных копий пластидного генома. Вероятнее всего, это связано с ограничениями, налагаемыми на уровне трансляции рекомбинантных белков в хлоропластах, что требует дальнейшего исследования.
Авторы благодарны Центру коллективного пользования микроскопического анализа биологических объектов ИЦиГ СО РАН за предоставленное оборудование.
Работа выполнена при поддержке гранта Российского Научного Фонда (№ 23-24-00545). Авторы заявляют об отсутствии конфликта интересов. Настоящая работа не содержит каких-либо исследований с участием людей и животных в качестве объектов исследования.
1 Дополнительные материалы размещены в электронном виде по DOI статьи: 10.31857/S0015330324050105
About the authors
Ю. В. Сидорчук
Федеральное государственное бюджетное научное учреждение Федеральный исследовательский центр Институт цитологии и генетики Сибирского отделения Российской академии наук
Author for correspondence.
Email: sidorch@bionet.nsc.ru
Russian Federation, Новосибирск
П. А. Белавин
Федеральное государственное бюджетное научное учреждение Федеральный исследовательский центр Институт цитологии и генетики Сибирского отделения Российской академии наук
Email: sidorch@bionet.nsc.ru
Russian Federation, Новосибирск
А. А. Загорская
Федеральное государственное бюджетное научное учреждение Федеральный исследовательский центр Институт цитологии и генетики Сибирского отделения Российской академии наук
Email: sidorch@bionet.nsc.ru
Russian Federation, Новосибирск
Т. В. Маренкова
Федеральное государственное бюджетное научное учреждение Федеральный исследовательский центр Институт цитологии и генетики Сибирского отделения Российской академии наук
Email: sidorch@bionet.nsc.ru
Russian Federation, Новосибирск
В. В. Кузнецов
Федеральное государственное бюджетное научное учреждение Федеральный исследовательский центр Институт цитологии и генетики Сибирского отделения Российской академии наук
Email: sidorch@bionet.nsc.ru
Russian Federation, Новосибирск
Е. С. Хайрулина
Федеральное государственное бюджетное научное учреждение Федеральный исследовательский центр Институт цитологии и генетики Сибирского отделения Российской академии наук
Email: sidorch@bionet.nsc.ru
Russian Federation, Новосибирск
Е. В. Дейнеко
Федеральное государственное бюджетное научное учреждение Федеральный исследовательский центр Институт цитологии и генетики Сибирского отделения Российской академии наук
Email: sidorch@bionet.nsc.ru
Russian Federation, Новосибирск
References
- Meyers B., Zaltsman A., Lacroix B., Kozlovsky S.V., Krichevsky A. Nuclear and plastid genetic engineering of plants: comparison of opportunities and challenges // Biotechnol. Adv. 2010. V. 28. P. 28747. https:doi: 10.1016/j.biotechadv.2010.05.022
- Rozov S.M., Sidorchuk Yu.V., Deineko E.V. Transplastomic plants: problems of production and their solution. // Russ. J. Plant Physiol. 2022. V. 69. P. 132. https:doi.org/10.1134/S1021443722020157
- Oey M., Lohse M., Kreikemeyer B., Bock R. Exhaustion of the chloroplast protein synthesis capacity by massive expression of a highly stable protein antibiotic // Plant J. 2009. V. 57. P. 436. https:doi.org/10.1111/j.1365-313X.2008.03702.x
- Scotti N., Cardi T. Transgene-induced pleiotropic effects in transplastomic plants // Biotechnol Lett. 2014. V. 36. P. 229. https:doi: 10.1007/s10529-013-1356-6
- Fuentes P., Armarego-Marriott T., Bock R. Plastid transformation and its application in metabolic engineering // Curr. Opin. Biotechnol. 2018. V. 49. P. 10. https:doi.org/10.1016/j.copbio.2017.07.004
- Jensen P.E., Scharff L.B. Engineering of plastids to optimize the production of high-value metabolites and proteins // Curr. Opin. Biotechnol. 2019. V. 59. P. 8. https:doi.org/10.1016/j.copbio.2019.01.009
- Bock R. Transplastomic approaches for metabolic engineering // Curr. Opin. Plant Biol. 2022. V. 66. Р. 102185. https:doi.org/10.1016/j.pbi.2022.102185
- Daniell H., Lin Ch.-S., Yu M., Chang W.-J. Chloroplast genomes: diversity, evolution, and applications in genetic engineering // Genome Biol. 2016. V. 17. Р. 134. https:doi.org/10.1186/s13059-016-1004-2
- Yu Y., Yu P.-C., Chang W.-J., Yu K., Lin C.-S. Plastid transformation: how does it work? Can it be applied to crops? What can it offer? // Int. J. Mol. Sci. 2020. V. 21. Р. 4854. https:doi.org/10.3390/ijms21144854
- Bock R. Engineering plastid genomes: methods, tools, and applications in basic research and biotechnology // Ann. Rev. Plant Biol. 2015. V. 66. P. 211. https:doi.org/10.1146/annurev-arplant-050213-040212
- Murashige T., Skoog F. A revised medium for rapid growth and bioassays with tobacco tissue culture // Physiol. Plant. 1962. V. 15. P. 473. https:doi.org/10.1111/j.1399-3054.1962.tb08052.x
- Horsch R.B., Fraley R.T., Rogers S.G., Sanders P.R., Lloyd A., Hoffmann N. Inheritance of functional foreign genes in plants // Sci. 1984. V. 223. P. 496. https:doi: 10.1126/science.223.4635.496
- Allen G., Flores-Vergara M., Krasynanski S., Kumar S., Thompson W.F. A modified protocol for rapid DNA isolation from plant tissues using cetyltrimethylammonium bromide // Nat. Protoc. 2006. V. 1. P. 2320. https:doi.org/10.1038/nprot.2006.384
- Drescher A., Ruf S., Calsa T.Jr., Carrer H., Bock R. The two largest chloroplast genome-encoded open reading frames of higher plants are essential genes. // Plant J. 2000. V. 22. P. 97. https:doi.org/10.1046/j.1365-313x.2000.00722.x
- Shen H., Qian B., L Yang., Liang W., Chen W., Liu Z., Zhang D. Estimation of the homoplasmy degree for transplastomic tobacco using quantitative real-time PCR // Eur. Food Res. Technol. 2010. V. 231. P. 143. https:doi: 10.1007/s00217-010-1265-z
- Yu Q., LaManna L.M., Kelly M.E., Lutz K.A., Maliga P. New tools for engineering the arabidopsis plastid genome // Plant Physiol. 2019. V. 181. P. 394. https:doi.org/10.1104/pp.19.00761
- Yu Q., Tungsuchat-Huang T., Verma K., Radler M.R., Maliga P. Independent translation of ORFs in dicistronic operons, synthetic building blocks for polycistronic chloroplast gene expression // Plant J. 2020. V. 103. P. 2318. https:doi.org/10.1111/tpj.14864
- Herz S., Füßl M., Steiger S. Koop H.-U. Development of novel types of plastid transformation vectors and evaluation of factors controlling expression // Transgenic Res. 2005. V. 14. P. 969. https:doi.org/10.1007/s11248-005-2542-7
- Tangphatsornruang S., Birch-Machin I., Newell C.A., Gray J.C. The effect of different 3′ untranslated regions on the accumulation and stability of transcripts of a gfp transgene in chloroplasts of transplastomic tobacco // Plant Mol. Biol. 2011. V. 76. P. 385. https:doi.org/10.1007/s11103-010-9689-1
- Dhingra A., Daniell H. Chloroplast genetic engineering via organogenesis or somatic embryogenesis // Meth. Mol. Biol. 2006. V. 323. P. 245. https:doi: 10.1385/1-59745-003-0:245.
- Ruhlman T., Verma D., Samson N., Daniell H. The role of heterologous chloroplast sequence elements in transgene integration and expression // Plant Physiol. 2010. V. 152. P. 2088. https:doi.org/10.1104/pp.109.152017
- Lacroix B., Citovsky V. Biolistic approach for transient gene expression studies in plants // Meth. Mol. Biol. 2020. V. 2124. P. 125. https:doi.org/10.1007/978-1-0716-0356-7_6
- Hibberd J.M., Linley Ph.J., Khan M.S., Gray J.C. Transient expression of green fluorescent protein in various plastid types following microprojectile bombardment // Plant J. 1998. V. 16. P. 627. https:doi.org/10.1046/j.1365-313x.1998.00328.x
- Kwak S.Y., Lew T.T.S., Sweeney C.J., Koman V.B., Wong M.H., Bohmert-Tatarev K., Snell K.D., Seo J.S., Chua N.H., Strano M.S. Chloroplast-selective gene delivery and expression in planta using chitosan-complexed single-walled carbon nanotube carriers // Nat. Nanotech. 2019. V. 14. P. 447. https:doi.org/10.1038/s41565-019-0375-4
- Daniell H., Ruiz G., Denes B., Sandberg L., Langridge W. Optimization of codon composition and regulatory elements for expression of human insulin like growth factor-1 in transgenic chloroplasts and evaluation of structural identity and function // BMC Biotech. 2009. V. 9. Р. 33. https:doi.org/10.1186/1472-6750-9-33
- Khakhlova O., Bock R. Elimination of deleterious mutations in plastid genomes by gene conversion. // Plant J. 2006. V. 46. P. 85. https:doi.org/10.1111/j.1365-313X.2006.02673.x
- Gerasymenko I.M., Sheludko Y.V., Klebanovych A.A., Rudas V.A., Shakhovsky A.M., Klein T.M., Kuchuk N.V. Comparison of effectiveness of 5′-regulatory sequences in transplastomic tobacco chloroplasts // Transgenic Res. 2017. V. 26. P. 65. https:doi.org/10.1007/s11248-016-9980-2
- Sheludko Y.V., Gerasymenko I.M., Herrmann F.J., Warzecha H. Evaluation of biotransformation capacity of transplastomic plants and hairy roots of Nicotiana tabacum expressing human cytochrome P450 2D6 // Transgenic Res. 2022. V. 31. P. 351. https:doi.org/10.1007/s11248-022-00305-x
- Wang Y., Wei Zh., Fan J., Song X., Xing Sh. Hyper-expression of GFP-fused active hFGF21 in tobacco chloroplasts // Protein Expr. Purif. 2023. V. 208. Р. 106271. https:doi.org/10.1016/j.pep.2023.106271.
- Zhou F., Badillo-Corona J.A., Karcher D., Gonzalez-Rabade N., Piepenburg K., Borchers A.-M.I., Maloney A.P., Kavanagh T.A., Gray J.C., Bock R. High-level expression of human immunodeficiency virus antigens from the tobacco and tomato plastid genomes // Plant Biotech. J. 2008. V. 6. P. 897. https:doi.org/10.1111/j.1467-7652.2008.00356.x
- Kwon K.-C., Chan H.-T., Leon I.R., Williams-Carrier R., Barkan A., Daniell H. Codon optimization to enhance expression yields insights into chloroplast translation // Plant Physiol. 2016. V. 172. P. 62. https:doi.org/10.1104/pp.16.00981
Supplementary files









