Charge and spin density distribution in VSe2 dichalcogenide according to NMR 51V data
- Authors: Smolnikov A.G.1, Utkin N.A.1,2, Kashnikova M.Е.1,2, Piskunov Y.V.1, Ogloblichev V.V.1, Sadykov A.F.1, Gerashchenko A.P.1
 - 
							Affiliations: 
							
- Mikheev Institute of Metal Physics, Ural Branch, Russian Academy of Sciences
 - Ural Federal University named after the First President of Russia B. N. Yeltsin
 
 - Issue: Vol 126, No 2 (2025)
 - Pages: 140-150
 - Section: ЭЛЕКТРИЧЕСКИЕ И МАГНИТНЫЕ СВОЙСТВА
 - URL: https://journals.rcsi.science/0015-3230/article/view/294956
 - DOI: https://doi.org/10.31857/S0015323025020022
 - EDN: https://elibrary.ru/AZJTGQ
 - ID: 294956
 
Cite item
Abstract
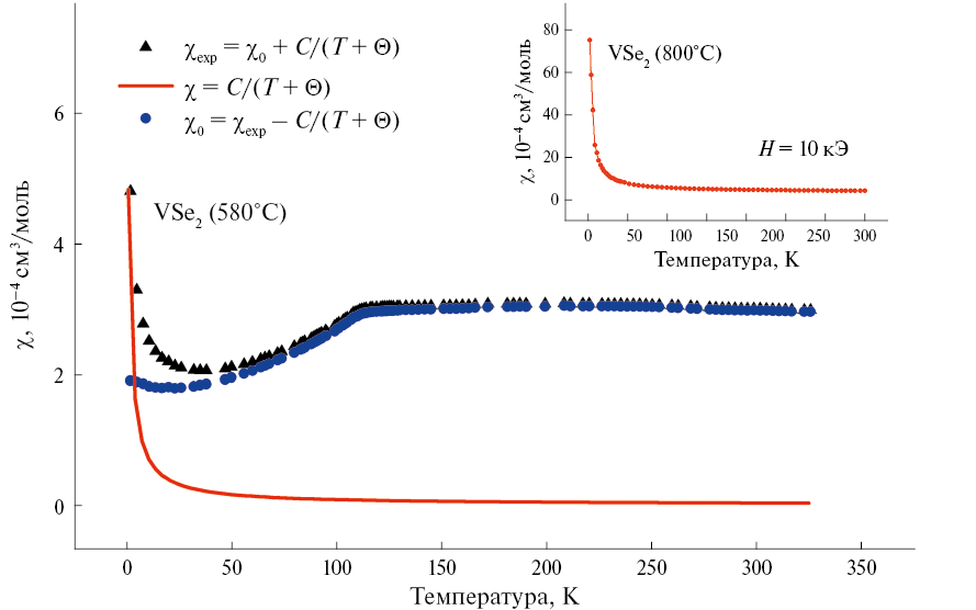
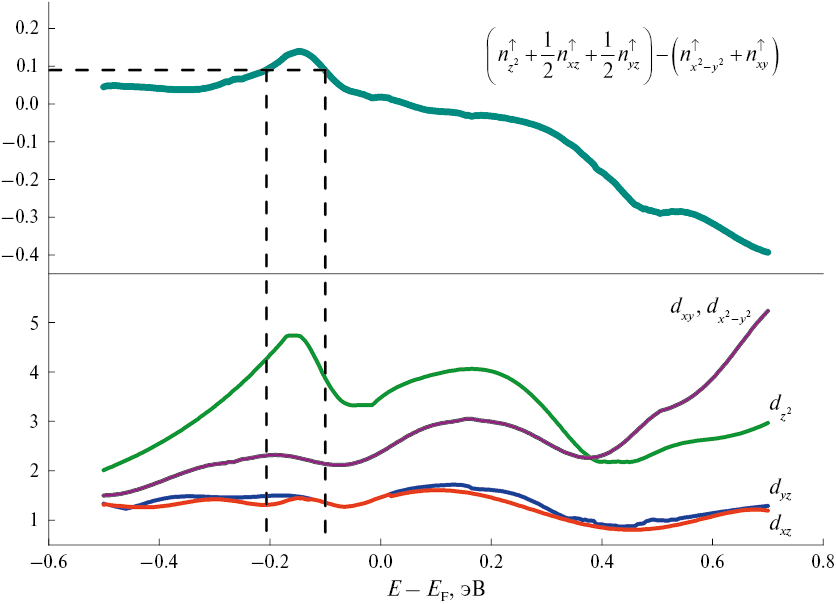
A polycrystalline sample of VSe2 was studied using magnetometry and nuclear magnetic resonance (NMR) spectroscopy on 51V nuclei. The values of the components of the magnetic shift tensors and the electric field gradient (EFG) at the location of vanadium nuclei were determined from the processing of the NMR spectra recorded in the range from 300 K to 10 K. It was found that the valence contribution to the EFG is opposite to the lattice contribution. At temperatures below T0 ≈ 110 K, the 51V NMR line undergoes significant inhomogeneous broadening, which is associated with a transition to a state with a charge density wave (CDW). From the data on the 51V NMR line broadening, changes in the quadrupole frequency nQ across the crystal were determined, which is a characteristic of the charge density distribution near the 51V nuclei. A combined analysis of the temperature dependences of the NMR line shift and magnetic susceptibility allowed us to estimate the hyperfine magnetic fields on vanadium nuclei in VSe2 in the CDW state. An estimate was obtained for the difference in spin polarization of various 3d-orbitals of the V ion, which corresponds to the density of electron states with an energy slightly below the Fermi level.
Full Text
About the authors
A. G. Smolnikov
Mikheev Institute of Metal Physics, Ural Branch, Russian Academy of Sciences
														Email: utkin_imp@mail.ru
				                					                																			                												                	Russian Federation, 							Ekaterinburg						
N. A. Utkin
Mikheev Institute of Metal Physics, Ural Branch, Russian Academy of Sciences; Ural Federal University named after the First President of Russia B. N. Yeltsin
							Author for correspondence.
							Email: utkin_imp@mail.ru
				                					                																			                												                	Russian Federation, 							Ekaterinburg; Ekaterinburg						
M. Е. Kashnikova
Mikheev Institute of Metal Physics, Ural Branch, Russian Academy of Sciences; Ural Federal University named after the First President of Russia B. N. Yeltsin
														Email: utkin_imp@mail.ru
				                					                																			                												                	Russian Federation, 							Ekaterinburg; Ekaterinburg						
Yu. V. Piskunov
Mikheev Institute of Metal Physics, Ural Branch, Russian Academy of Sciences
														Email: utkin_imp@mail.ru
				                					                																			                												                	Russian Federation, 							Ekaterinburg						
V. V. Ogloblichev
Mikheev Institute of Metal Physics, Ural Branch, Russian Academy of Sciences
														Email: utkin_imp@mail.ru
				                					                																			                												                	Russian Federation, 							Ekaterinburg						
A. F. Sadykov
Mikheev Institute of Metal Physics, Ural Branch, Russian Academy of Sciences
														Email: utkin_imp@mail.ru
				                					                																			                												                	Russian Federation, 							Ekaterinburg						
A. P. Gerashchenko
Mikheev Institute of Metal Physics, Ural Branch, Russian Academy of Sciences
														Email: utkin_imp@mail.ru
				                					                																			                												                	Russian Federation, 							Ekaterinburg						
References
- Katzke H., Tolédano P., Depmeier W. Phase transitions between polytypes and intralayer superstructures in transition metal dichalcogenides // Phys. Rev. B. 2004. V. 69. P. 134111.
 - Wilson J.A., Yoffe A.D. The transition metal dichalcogenides discussion and interpretation of the observed optical, electrical and structural properties // Advan. Phys. 1969. V. 18. P. 193–335.
 - Hibma T. Structural aspects of monovalent cation intercalates of layered dichalcogenides / Intercalation Chemistry. Academic Press. 1982. P. 285–313.
 - Булаевский Л.Н. Сверхпроводимость и электронные свойства слоистых соединений // Успехи физич. наук. 1975. Т. 116. № 7. С. 449–483.
 - Huang B., Clark G., Navarro-Moratalla E., Klein D.R., Cheng R., Seyler K.L., Zhong D., Schmidgall E., McGuire M.A., Cobden D.H., Yao W., Xiao D., Jarillo-Herrero P., Xu X. Layer-dependent ferromagnetism in a van der Waals crystal down to the monolayer limit // Nature. 2017. V. 546. P. 270–273.
 - Gong C., Li L., Li Z., Ji H., Stern A., Xia Y., Cao T., Bao W., Wang C., Wang Y., Qiu Z.Q., Cava R.J., Louie S.G., Xia J., Zhang X. Discovery of intrinsic ferromagnetism in two-dimensional van der Waals crystals // Nature. 2017. V. 546. P. 265–269.
 - O’Hara D.J., Zhu T., Trout A.H., Ahmed A.S., Luo Y.K., Lee C.H., Brenner M.R., Rajan S., Gupta J.A., McComb D.W., Kawakami R.K. Room temperature intrinsic ferromagnetism in epitaxial manganese selenide films in the monolayer limit // Nano letters. 2018. V. 18. P. 3125–3131.
 - Bonilla M., Kolekar S., Ma Y., Diaz H.C., Kalappattil V., Das R., Eggers T., Gutierrez H.R., Phan M., Batzill M. Strong room-temperature ferromagnetism in VSe2 monolayers on van der Waals substrates // Nature nanotechnology. 2018. V. 13. P. 289–293.
 - Gao D., Xue Q., Mao X., Wang W., Xu Q., Xue D. Ferromagnetism in ultrathin VS2 nanosheets // J. Mater. Chem. C. 2013. V. 1. P. 5909–5916.
 - Chazarin U., Lezoualc’h M., Chou J., Pai W., Karn A., Sankar R., Cyril C., Girard C., Repain V., Bellec A., Rousset S., Smogunov A., Dappe Y., Lagoute J. Formation of monolayer charge density waves and anomalous edge doping in Na doped bulk VSe2 // Adv. Mater. Interfaces. 2023. V. 10. P. 2201680.
 - Myron H.W. The electronic structure of the vanadium dichalcogenides // Physica B+ C. 1980. V. 99. P. 243–249.
 - Bayard M., Sienko M.J. Anomalous electrical and magnetic properties of vanadium diselenide // J. Solid State Chem. 1976. V. 19. P. 325–329.
 - Strocov V., Shi M., Kobayashi M., Monney C., Wang X., Krempasky J., Schmitt T., Patthey L., Berger H., Blaha P. Three-Dimensional Electron Realm in VSe2 by Soft-X-Ray Photoelectron Spectroscopy: Origin of Charge-Density Waves // Phys Rev. Letters. 2012. V. 109. P. 086401.
 - Thompson A.H., Silbernagel B.G. Correlated magnetic and transport properties in the charge-density-wave states of VSe2 // Phys. Rev. B. 1979. V. 19. P. 3420.
 - Tsuda T., Kitaoka Y., Yasuoka H. NMR studies of the CDW state in 1T-VSe2 // Physica B+C. 1981. V. 105. P. 414–418.
 - Prigge C., Müller-Warmuth W., Schöllhorn R. NMR Studies of Lithium Intercalated in the Host Compounds 1T-TiS2, c-TiS2 and VSe2 // Zeitschrift Für Physikalische Chemie. 1995. V. 189. P. 153–168.
 - Skripov A.V., Stepanov A.P., Shevchenko A.D., Kovalyuk Z.D. NMR study of the charge-density-wave state in VSe2 // Phys. Stat. Sol. (b). 1983. V. 119. P. 401–410.
 - Skripov A.V., Sibirtsev D.S., Cherepanov Yu.G., Aleksashin B.A. 77Se NMR study of the charge density wave state in 2H-NbSe2 and 1T-VSe2 // J. Phys.: Condensed Matter. 1995. V. 7. P. 4479.
 - Smol’nikov A.G., Ogloblichev V.V., Germov A.Y., Mikhalev K.N., Sadykov A.F., Piskunov Y.V., Gerashchenko A.P., Yakubovskii A.Y., Muflikhonova M.A., Barilo S.N., Shiryaev S.V. Charge Distribution and Hyperfine Interactions in the CuFeO2 Multiferroic According to 63,65Cu NMR Data // JETP Letters. 2018. V. 107. P. 134–138.
 - Ogloblichev V.V., Smolnikov A.G., Sadykov A.F., Piskunov Y.V., Gerashchenko A.P., Furukawa Y., Kumagai K., Yakubovskii A.Y., Mikhalev K.N., Barilo S.N., Shhiryaev S.V., Belozerov A.S. 17O NMR study of the triangular lattice antiferromagnet CuCrO2 // J. Magn. Magn. Mater. 2018. V. 458. P. 1–9.
 - Sadykov A.F., Piskunov Y.V., Gerashchenko A.P., Ogloblichev V.V., Smol’nikov A.G., Verkhovskii S.V., Arapova I.Y., Volkova Z.N., Mikhalev K.N., Bush A.A. NMR study of the paramagnetic state of low-dimensional magnets LiCu2O2 and NaCu2O2 // J. Exp. Theoret. Phys. 2017. V. 124. P. 286–294.
 - Chen G., Howard S.T., Maghirang A.B., Nguyen C.K., Villaos R.A.B., Feng L.Y., Chai K., Ganguli S.C., Sweich W., Morosan E., Oleynik I.I., Chuang F.C., Lin H., Madhavan V. Correlating structural, electronic, and magnetic properties of epitaxial VSe2 thin films // Phys. Rev. B. 2020. V. 102. P. 115149.
 - He J., Xie Q., Xu G. Confinement effect enhanced Stoner ferromagnetic instability in monolayer 1T-VSe2 // New J. Phys. 2021. V. 23. P. 023027.
 - Karbalaee Aghaee A., Belbasi S., Hadipour H. Ab initio calculation of the effective Coulomb interactions in MX 2 (M= Ti, V, Cr, Mn, Fe, Co, Ni; X= S, Se, Te): Intrinsic magnetic ordering and Mott phase // Phys. Rev. B. 2022. V. 105. P. 115115.
 - Sherokalova E.M., Selezneva N.V., Pleshchev V.G. Electrical and magnetic properties of vanadium diselenide intercalated with chromium atoms // Phys. Solid State. 2022. V. 64. P. 434–439.
 - DiSalvo F.J., Waszczak J.V. Magnetic studies of VSe2 // Phys. Rev. B. 1981. V. 23. P. 457.
 - Геращенко А.П., Верховский С.В., Садыков А.Ф., Смольников А.Г., Пискунов Ю.В., Михалев К.Н. Свидетельство о государственной регистрации программы для ЭВМ № 2018663091. Simul 2018.
 - Slichter C.P. Principles of magnetic resonance. Springer Science & Business Media. 2013. V. 1. P. 657.
 - Abragam A. The Principles of Nuclear Magnetism. Clarendon Press, 1961. P. 580.
 - Stauss G.H. Nuclear magnetic resonance determination of some microscopic parameters of LiAl5O8 // J. Chem. Phys. 1964. V. 40. P. 1988–1991.
 - Kushida T., Benedek G.B., Bloembergen N. Dependence of the pure quadrupole resonance frequency on pressure and temperature // Phys. Rev. 1956. V. 104. P. 1364.
 - Гречишкин В.С. Ядерные квадрупольные взаимодействия в твердых телах. 1973. С. 264.
 - Gippius A.A., Gunbin A.V., Iarygina D.A., Tkachev A.V., Zhurenko S.V., Verchenko V.Yu., Plenkin D.S., Shevelkov A.V. Microscopic properties of Mo4Ga20Sb intermetallic superconductor in normal and superconducting states as evidenced by NMR and NQR spectroscopy // J. Alloys Compounds. 2022. V. 927. P. 166970.
 - Wiegers G.A. The characterisation of VSe2: A study of the thermal expansion // J. Phys. C: Solid State Physics. 1981. V. 14. P. 4225–4235.
 - Sen K.D., Narasimhan P.T. Sternheimer antishielding factors for core electrons in metals: Comparison with free-ion results // Phys. Rev. A. 1977. V. 16. P. 1786–1788.
 - Hanzawa Katsurou. Analysis of the electric field gradients and the Knight shifts at all Cu and O nuclei in YBa2Cu3O7 // J. Phys. Soc. Japan. 1993. V. 62. P. 3302–3314.
 - Koh A.K., Miller D.J. Hyperfine coupling constants and atomic parameters for electron paramagnetic resonance data // Atomic data and nuclear data tables. 1985. V. 33. P. 235–253.
 - Yadav C.S., Rastogi A.K. Electronic transport and specific heat of 1T-V Se2 // Solid State Com. 2010. V. 150. P. 648–651.
 - Creel R.B., Segel S.L., Schoenberger R.J., Barnes R.G., Torgeson D.R. Nuclear magnetic resonance study of the transition metal monoborides. II. Nuclear electric quadrupole and magnetic shift parameters of the metal nuclei in VB, CoB, and NbB // J. Chem. Phys. 1974. V. 60. P. 2310–2322.
 - Clogston A.M., Gossard A.C., Jaccarino V., Yafet Y. Orbital paramagnetism and the Knight shift in transition metal superconductors // Rev. Modern Phys. 1964. V. 36. P. 170–175.
 - Carter G.C., Bennett L.H., Kahan D.J. Metallic Shifts in NMR. Volume 20 of Progress in Materials Science. In four parts. Oxford: Pergamon Press, 1977. P. 2326.
 
Supplementary files
				
			
					
						
						
						
						
				











