Magnetic state of vanadium in chalcogenide V7Se8
- Authors: Utkin N.A.1,2, Kashnikova M.E.1,2, Piskunov Y.V.1, Smolnikov A.G.1, Ogloblichev V.V.1, Sadykov A.F.1, Gerashchenko A.P.1, Selezneva N.V.2, Baranov N.V.1,2
-
Affiliations:
- Mikheev Institute of Metal Physics, Ural Branch, Russian Academy of Sciences
- Ural Federal University named after the First President of Russia B. N. Yeltsin
- Issue: Vol 126, No 2 (2025)
- Pages: 131-139
- Section: ЭЛЕКТРИЧЕСКИЕ И МАГНИТНЫЕ СВОЙСТВА
- URL: https://journals.rcsi.science/0015-3230/article/view/294909
- DOI: https://doi.org/10.31857/S0015323025020017
- EDN: https://elibrary.ru/AZLXRI
- ID: 294909
Cite item
Abstract
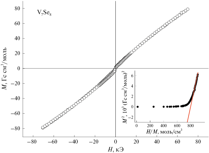
The structural and magnetic properties of V7Se8 chalcogenide were studied using X-ray diffractometry, magnetic susceptibility measurements and nuclear magnetic resonance (NMR) spectroscopy on 51V nuclei. The ordering of vacancies in vanadium cationic layers with the formation of a 4C-type superstructure was found. It is estimated that the effective magnetic moment of vanadium ions is µeff = 0.35 µB. A significant local charge and magnetic heterogeneity of the V7Se8 compound has been revealed. The hyperfine interaction constant in vanadium ions is estimated from the temperature dependences of the magnetic shift of the NMR 51V line and the susceptibility χ(T) in V7Se8. A joint analysis of the NMR line shift data and the spin-lattice relaxation rate of 51V showed that the 3d-electrons of vanadium are in a itinerant state. At the same time, with decreasing temperature in the V7Se8 system, antiferromagnetic correlations are induced between the magnetic moments of vanadium in adjacent layers.
Full Text
About the authors
N. A. Utkin
Mikheev Institute of Metal Physics, Ural Branch, Russian Academy of Sciences; Ural Federal University named after the First President of Russia B. N. Yeltsin
Email: piskunov@imp.uran.ru
Russian Federation, Ekaterinburg; Ekaterinburg
M. E. Kashnikova
Mikheev Institute of Metal Physics, Ural Branch, Russian Academy of Sciences; Ural Federal University named after the First President of Russia B. N. Yeltsin
Email: piskunov@imp.uran.ru
Russian Federation, Ekaterinburg; Ekaterinburg
Yu. V. Piskunov
Mikheev Institute of Metal Physics, Ural Branch, Russian Academy of Sciences
Author for correspondence.
Email: piskunov@imp.uran.ru
Russian Federation, Ekaterinburg
A. G. Smolnikov
Mikheev Institute of Metal Physics, Ural Branch, Russian Academy of Sciences
Email: piskunov@imp.uran.ru
Russian Federation, Ekaterinburg
V. V. Ogloblichev
Mikheev Institute of Metal Physics, Ural Branch, Russian Academy of Sciences
Email: piskunov@imp.uran.ru
Russian Federation, Ekaterinburg
A. F. Sadykov
Mikheev Institute of Metal Physics, Ural Branch, Russian Academy of Sciences
Email: piskunov@imp.uran.ru
Russian Federation, Ekaterinburg
A. P. Gerashchenko
Mikheev Institute of Metal Physics, Ural Branch, Russian Academy of Sciences
Email: piskunov@imp.uran.ru
Russian Federation, Ekaterinburg
N. V. Selezneva
Ural Federal University named after the First President of Russia B. N. Yeltsin
Email: piskunov@imp.uran.ru
Russian Federation, Ekaterinburg
N. V. Baranov
Mikheev Institute of Metal Physics, Ural Branch, Russian Academy of Sciences; Ural Federal University named after the First President of Russia B. N. Yeltsin
Email: piskunov@imp.uran.ru
Russian Federation, Ekaterinburg; Ekaterinburg
References
- Wang H., Salveson I. A review on the mineral chemistry of the non-stoichiometric iron sulphide, Fe1−xS (0 ≤ x ≤ 0.125): polymorphs, phase relations and transitions, electronic and magnetic structures // Phase Transition. 2005. V. 78. P. 547–567.
- Powell A.V., Vaqueiro P., Knight K.S., Chapon L.C., Sanchez R.D. Structure and magnetism in synthetic pyrrhotite Fe7S8; a powder neutron diffraction study // Phys. Rev. B. 2004. V. 70. P. 014415.
- Kawaminami M., Okazaki A. Neutron diffraction study of Fe7Se8 // J. Phys. Soc. Japan. 1967. V. 22. Р. 925.
- Andresen A.F., Leciejewicz J. A neutron diffraction study of Fe7Se8 // J. Phys. 1964. V. 25. Р. 574–578.
- Kawaminami М., Okazaki А. Neutron diffraction study of Fe7Se8 II // J. Phys. Soc. Japan. 1970. V. 29. P. 649–655.
- Terzieff P. The paramagnetism of transition metal substituted Fe7Se8 // J. Phys. Chem. Solids. 1982. V. 43. P. 305–309.
- Piskunov Yu.V., Ogloblichev V.V., Sadykov A.F., Akramov D.F., Smol’nikov A.G., Gerashchenko A.P., Selezneva N.V., Baranov N.V. Magnetic State of Layered Cobalt Chalcogenides Co7Se8 and Co7Te8 // JETP Letters. 2023. V. 117. P. 54–60.
- Piskunov Yu.V., Ogloblichev V.V., Sadykov A.F., Akramov D.F., Smol’nikov A.G., Gerashchenko A.P., Selezneva N.V., Baranov N.V. Magnetic State of Cobalt in Layered Chalcogenide Fe4Co3Se8 // Phys. Met. Metal. 2024. V. 125. P. 12–19.
- Хоссени У.А.Л. Влияние замещения железа ванадием на структуру и свойства системы Fe7-yVySe8 /Магистерская диссертация. Екатеринбург, 2017. 76 с.
- Свидетельство о государственной регистрации программы для ЭВМ #2018663091. Simul 2018. А.П. Геращенко, С.В. Верховский, А.Ф. Садыков, А.Г. Смольников, Ю.В. Пискунов, К.Н. Михалев / Зарегистрировано в Реестре программ для ЭВМ 22.10.2018 г.
- Винтер Ж. Магнитный резонанс в металлах: Пер. с англ. Под ред. А.П. Степанова. М.: Мир, 1976. 288 с.
- Freeman A.J., Frankel R.R. Hyperfine Interactions. New York and London: Academic Press, 1967. 756 p.
- Мория Т. Спиновые флуктуации в магнетиках с коллективизированными электронами: Пер. с англ. Под ред. А.В. Ведяева. М.: Мир, 1988. 288 с.
- Carter G.C., Bennett L.H., Kahan D.J. Metallic shifts in NMR-review of theory and comprehensive critical data compilation of metallic materials. 1. Review chapters NMR tables, evaluated knight-shifts in metals together with other solid-state and nuclear properties // Progress Mater. Sci. 1977. V. 20. P. 1–378.
- Koh A.K., Miller D.J. Hyperfine coupling constants and atomic parameters for electron paramagnetic resonance data // Atomic data and nuclear data tables. 1985. V. 33. P. 235–253.
- Korringa J. Nuclear magnetic relaxation and resonnance line shift in metals // Physica. 1950. V. 16. P. 601–610.
- Obata Y. Nuclear Magnetic Relaxation in Transition Metals // J. Phys. Soc. Japan. 1963. V. 18. P. 1020–1024.
- Moriya T. Nuclear Magnetic Relaxation in Antiferromagnetics // Progress Theoret. Phys. 1956. V. 16. P. 23–44.
Supplementary files










