Electronic structure and hyperfine interactions in dichalcogenides CrxVSe2 (x ≤ 0.5)): 51V NMR study
- Authors: Utkin N.A.1,2, Kashnikova M.Е.1,2, Smolnikov A.G.1, Ogloblichev V.V.1, Piskunov Y.V.1, Sadykov A.F.1, Sherokalova E.M.2, Selezneva N.V.2, Baranov N.V.1
-
Affiliations:
- Mikheev Institute of Metal Physics, Ural Branch, Russian Academy of Sciences
- Ural Federal University named after the First President of Russia B.N. Yeltsin
- Issue: Vol 126, No 1 (2025)
- Pages: 11-22
- Section: ЭЛЕКТРИЧЕСКИЕ И МАГНИТНЫЕ СВОЙСТВА
- URL: https://journals.rcsi.science/0015-3230/article/view/288512
- DOI: https://doi.org/10.31857/S0015323025010027
- EDN: https://elibrary.ru/CAIDXR
- ID: 288512
Cite item
Abstract
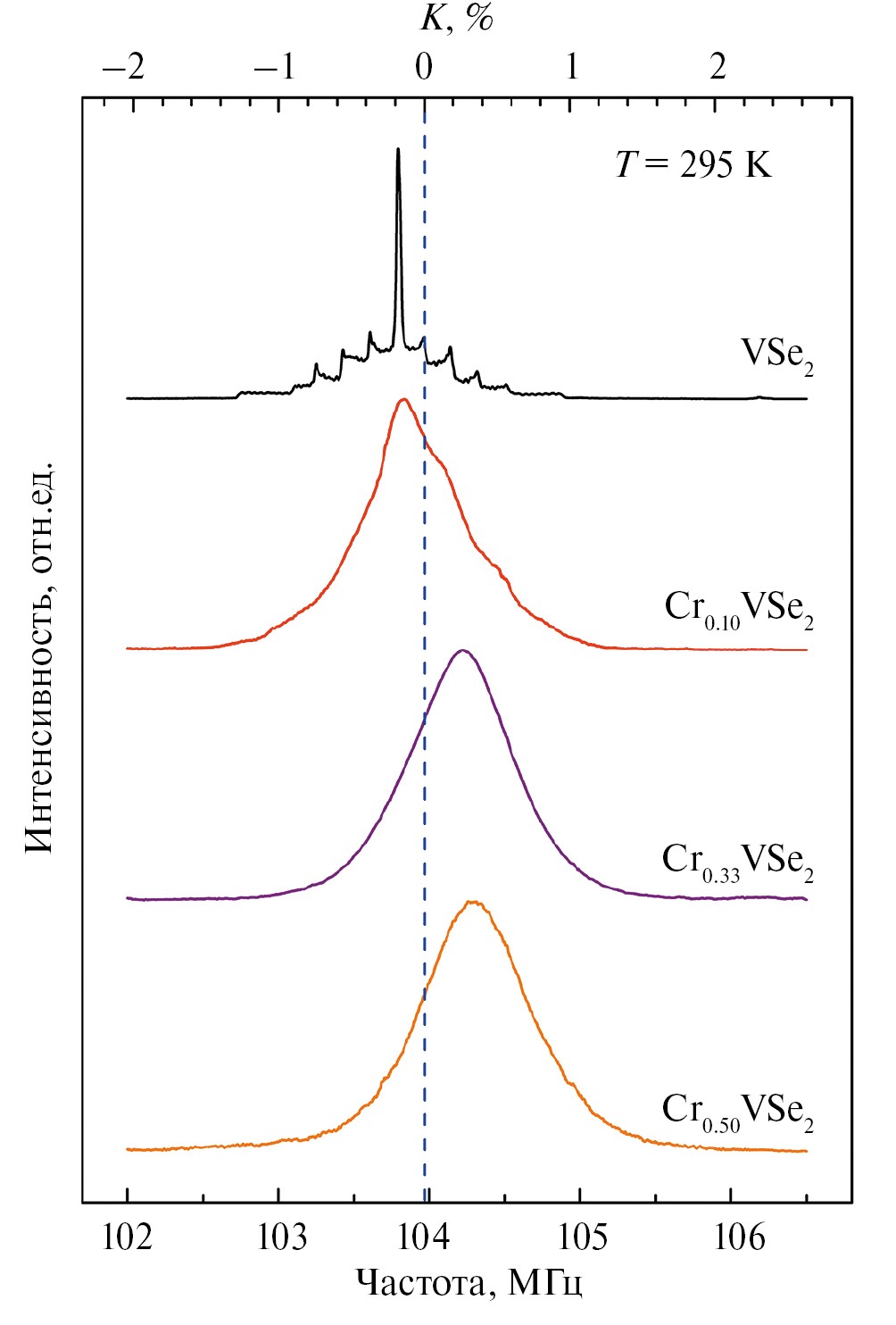
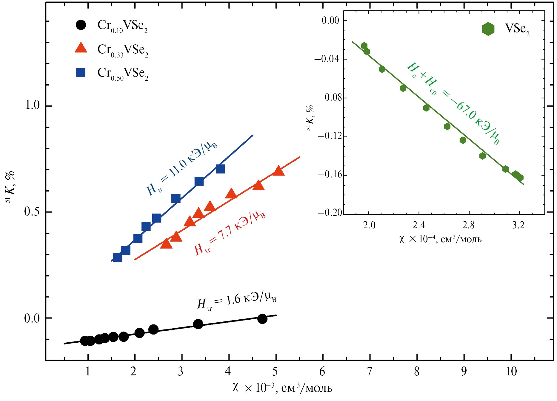
A systematic study of the electronic structure of chromium-intercalated vanadium dichalcogenide CrxVSe2 (x ≤ 0.5) was performed using X-ray diffractometry, magnetometry and nuclear magnetic resonance (NMR) spectroscopy on 51V nuclei. The values of the components of the magnetic shift tensors and the electric field gradient at the location of vanadium nuclei are determined. When chromium ions are introduced into the VSe2 matrix, the NMR spectrum on 51V nuclei widens significantly, the fine structure disappears, and the line shift changes its sign relative to the diamagnetic point. Significant local charge and spin heterogeneity of intercalated compounds has been revealed. It was found that the overlap of 3d, 4s shells of vanadium ions and chromium orbitals leads to the appearance of a positive hyperfine field induced by the magnetic moments of chromium on vanadium nuclei. Estimates of the hyperfine interaction constants on vanadium ions are made from the temperature dependences of the NMR line shift and susceptibility in CrxVSe2 (x ≤ 0.5). In CrxVSe2 compounds (0.1 ≤ x ≤ 0.5), signs of the formation of a superstructure of chromium ion positions in the ab plane were found.
Full Text
About the authors
N. A. Utkin
Mikheev Institute of Metal Physics, Ural Branch, Russian Academy of Sciences; Ural Federal University named after the First President of Russia B.N. Yeltsin
Email: smolnikov@imp.uran.ru
Russian Federation, Ekaterinburg, 620108; Ekaterinburg, 620002
M. Е. Kashnikova
Mikheev Institute of Metal Physics, Ural Branch, Russian Academy of Sciences; Ural Federal University named after the First President of Russia B.N. Yeltsin
Email: smolnikov@imp.uran.ru
Russian Federation, Ekaterinburg, 620108; Ekaterinburg, 620002
A. G. Smolnikov
Mikheev Institute of Metal Physics, Ural Branch, Russian Academy of Sciences
Author for correspondence.
Email: smolnikov@imp.uran.ru
Russian Federation, Ekaterinburg, 620108
V. V. Ogloblichev
Mikheev Institute of Metal Physics, Ural Branch, Russian Academy of Sciences
Email: smolnikov@imp.uran.ru
Russian Federation, Ekaterinburg, 620108
Yu. V. Piskunov
Mikheev Institute of Metal Physics, Ural Branch, Russian Academy of Sciences
Email: smolnikov@imp.uran.ru
Russian Federation, Ekaterinburg, 620108
A. F. Sadykov
Mikheev Institute of Metal Physics, Ural Branch, Russian Academy of Sciences
Email: smolnikov@imp.uran.ru
Russian Federation, Ekaterinburg, 620108
E. M. Sherokalova
Ural Federal University named after the First President of Russia B.N. Yeltsin
Email: smolnikov@imp.uran.ru
Russian Federation, Ekaterinburg, 620002
N. V. Selezneva
Ural Federal University named after the First President of Russia B.N. Yeltsin
Email: smolnikov@imp.uran.ru
Russian Federation, Ekaterinburg, 620002
N. V. Baranov
Mikheev Institute of Metal Physics, Ural Branch, Russian Academy of Sciences
Email: smolnikov@imp.uran.ru
Russian Federation, Ekaterinburg, 620108
References
- Choi W., Choudhary N., Han G.H., Park J., Akinwande D., Lee Y.H. Recent development of two-dimensional transition metal dichalcogenides and their applications // Mater. Today. 2017. V. 20. P. 116–130.
- Чернозатонский Л.А., Артюх А.А. Квазидвумерные дихалькогениды переходных металлов: структура, синтез, свойства и применение // Успехи физ. наук. 2018. Т. 188. С. 3–30.
- Yang J., Wang W., Liu Y., Du H., Ning W., Zheng G., Jin C., Han Y., Wang N., Yang Z., Tian M., Zhang Y. Thickness dependence of the charge-density-wave transition temperature in VSe2 // Appl. Phys. Letters. 2014. V. 105. P. 063109.
- Wiegers G.A. Physical properties of first-row transition metal dichalcogenides and their intercalates // Physica B+C. 1980. V. 99. P. 151–165.
- Sutar P., Grabnar D., Vengust D., Svetin D., Goreshnik E., Mihailovic D., Mertelj T. Photo-induced collective charge-density-wave dynamics in bulk 1T-VSe2 // APL Mater. 2024. V. 12. P. 071107.
- Bulaevskiǐ L.N. Superconductivity and electronic properties of layered compounds // Soviet Physics Uspekhi. 1975. V. 18. P. 514.
- Баранов Н.В., Васьковский В.О., Иванов О.А., Катаев В.А., Курляндская Г.В. Магнетизм наносистем на основе редкоземельных и 3d-переходных металлов. Екатеринбург: Изд-во Уральского ун-та, 2008. 277 с.
- Toporova N.M., Sherokalova E.M., Selezneva N.V., Ogloblichev V.V., Baranov N.V. Crystal structure, properties and griffiths-like phase in niobium diselenide intercalated with chromium // J. Alloys Compounds. 2020. V. 848. P. 156534.
- Selezneva N.V., Sherokalova E.M., Pleshchev V.G., Kazantsev V.A., Baranov N.V. Suppression and inducement of the charge-density-wave state in CrxTiSe2 // J. Phys.: Condensed Matter. 2016. V. 28. P. 315401.
- Gubkin A.F., Proskurina E.P., Kousaka Y., Sherokalova E.M., Selezneva N.V., Miao P., Lee S., Zhang J., Ishikawa Y., Torii S., Kamiyama T., Campo J., Akimitsu J., Baranov N.V. Crystal and magnetic structures of Cr1∕3NbSe2 from neutron diffraction // J. Appl. Phys. 2016. V. 119. P. 013903.
- Kaul A.B. Two-dimensional layered materials: Structure, properties, and prospects for device applications // J. Mater. Research. 2014. V. 29. P. 348–361.
- Skripov A.V., Stepanov A.P., Shevchenko A.D., Kovalyuk Z.D. NMR study of the charge-density-wave state in VSe2 // Phys. Stat. Sol. (B). 1983. V. 119. P. 401–410.
- Pushkarev G.V., Mazurenko V.G., Mazurenko V.V., Boukhvalov D.W. Structural phase transitions in VSe2: energetics, electronic structure and magnetism // Phys. Chem. Chem. Phys. 2019. V. 21. P. 22647–22653.
- Chazarin U., Lezoualc'h M., Chou J.-P., Pai W.W., Karn A., Sankar R., Chacon C.C., Girard Y., Repain V., Bellec A., Rousset S., Smogunov A., Dappe Y.J., Lagoute J. Formation of Monolayer Charge Density Waves and Anomalous Edge Doping in Na Doped Bulk VSe2 // Advanced Mater. Interfaces. 2023. V. 10. P. 2201680.
- Skripov A.V., Sibirtsev D.S., Yu G.C., Aleksashin B.A. 77Se NMR study of the charge density wave state in 2H-NbSe2 and 1T-VSe2 // J. Phys.: Condensed Matter. 1995. V. 7. P. 4479.
- Thompson A.H., Silbernagel B.G. Correlated magnetic and transport properties in the charge-density-wave states of VSe2 // Phys. Rev. B. 1979. V. 19. P. 3420.
- Zhou M. Vanadium Diselenide: On the Verge of Charge Density Wave. Diss. Clemson University. 2016. 90 p. https://tigerprints.clemson.edu/all_dissertations/2414
- Yadav C.S., Rastogi A.K. Electronic transport and specific heat of 1T-VSe2 // Solid State Comm. 2010. V. 150. P. 648–651.
- Myron H.W. The electronic structure of the vanadium dichalcogenides // Physica B+C. 1980. V. 99. P. 243.
- Brauer H.E., Starnberg H.I., Holleboom L.J., Strocov V.N., Hughes H.P. Electronic structure of pure and alkali-metal-intercalated VSe2 // Phys. Rev. B. 1998. V. 58. P. 10031–10045.
- Brauer H.E., Ekvall I., Olin H., Starnberg H.I., Wahlström E., Hughes H.P., Strocov V.N. Na intercalation of VSe2 studied by photoemission and scanning tunneling microscopy // Phys. Rev. B. 1997. V. 55. P. 10022–10026.
- Feng J., Biswas D., Rajan A., Watson M.D., Mazzola F., Clark O.J., Underwood K., Marković I., McLaren M., Hunter A., Burn D.M., Duffy L.B., Barua S., Balakrishnan G., Bertran F., Le Fèvre P., Kim T.K., Van der Laan G., Hesjedal T., Wahl P., King P.D.C. Electronic Structure and Enhanced Charge-Density Wave Order of Monolayer VSe2 // Nano Letters. 2018. V. 18. P. 4493–4499.
- Yi Y., Du X., Zhao Z., Liu Y., Guan H., Liu X., Pei X., Zhang S., Li D. Coupling of Metallic VSe2 and Conductive Polypyrrole for Boosted Sodium-Ion Storage by Reinforced Conductivity Within and Outside // ACS Nano. 2022. V. 16. P. 7772–7782.
- Шерокалова Е.М. Влияние интеркалации атомов 3d- и 4f-элементов на структуру и физические свойства дихалькогенидов переходных металлов IV и V групп: Дис. … канд. физ.-мат. наук: 01.04.07 / Е.М. Шерокалова. Екатеринбург. 2018. 172 c.
- Шерокалова Е.М., Селезнева Н.В., Плещев В.Г. Электрические и магнитные свойства диселенида ванадия, интеркалированного атомами хрома // ФТТ. 2022. Т. 64. С. 437–442.
- Smolnikov A.G., Piskunov Y.V., Ogloblichev V.V., Sadykov A.F., Kashnikova M.E., Utkin N.A., Gerashchenko A.P., Akramov D.F., Selezneva N.V., Baranov N.V. Hyperfine Interactions in Dichalcogenides CrxNbSe2 (x = 0.33, 0.5): A 93Nb NMR Study // Phys. Met. Metal. 2024. V. 125. P. 20–26.
- Ogloblichev V.V., Baranov N.V., Agzamova P.A., Germov A.Y., Nosova N.M., Piskunov Y.V., Sherokalova E.M., Selezneva N.V., Sadykov A.F., Smolnikov A.G. Electronic states in ferromagnetic CrxNbSe2 (x = 0.33, 0.5) studied by 53Cr and 93Nb NMR spectroscopy // Phys. Rev. B. 2021. V. 104. P. 245115.
- Agzamova P., Ogloblichev V. Electronic Structure and Hyperfine Interactions in CrxNbSe2 (x = 0.33, 0.5) by DFT Studies // Appl. Magnetic Resonance. 2023. V. 54. P. 439–448.
- Чижиков Д.М. Селен и селениды. М.: Наука, 1964. 320 с.
- Свидетельство о государственной регистрации программы для ЭВМ #2018663091. Simul 2018. Геращенко А.П., Верховский С.В., Садыков А.Ф., Смольников А.Г., Пискунов Ю.В., Михалев К.Н. Зарегистрировано в Реестре программ для ЭВМ 22.10.2018 г.
- Slichter C.P. Principles of Magnetic Resonance. Springer, Berlin, New York. 1990. 655 p.
- Абрагам А. Ядерный магнетизм. Пер. с англ. Под ред. Г.В. Скроцкого. М.: ИИЛ, 1963. 551 с.
- DiSalvo F.J., Waszczak J.V. Magnetic studies of VSe2 // Physical Review B. 1981. V. 23. P. 457–461.
- Myron H.W. Aspects of the electronic structure of the 3d transition metal diselenides // Physica B+C. 1981. V. 105. P. 120–122.
- Piskunov Y.V., Sadykov A.F., Ogloblichev V.V., Smolnikov A.G., Gerashenko A.P., Si P.Z. Valence state of chromium ions in the half-metallic ferromagnet CrO2 probed by 53Сr NMR // Phys. Rev. B. 2022. V. 106. P. 094428.
- Smol'nikov A.G., Ogloblichev V.V., Verkhovskii S.V., Mikhalev K.N., Yakubovskii A.Y., Kumagai K., Furukawa Y., Sadykov A.F., Piskunov Y.V., Gerashchenko A.P., Barilo S.N., Shiryaev S.V. 53Cr NMR study of CuCrO2 multiferroic // JETP Letters. 2015. V. 102. P. 674–677.
- Freeman A.J., Frankel R.R. Hyperfine Interactions. New York and London: Academic Press, 1967. 756 p.
- Плещев В.Г., Селезнева Н.В., Максимов В.И., Королев А.В., Подлесняк А.В., Баранов Н.В. Особенности структуры, магнитные свойства и теплоемкость интеркалированных соединений CrxTiSe2 // ФТТ. 2009. Т. 51. С. 885–891.
Supplementary files










