Investigation of residual stresses in steel plates after shot-impact treatment by high spatial resolution neutron diffraction
- Authors: Karpov I.D.1, Em V.T.1, Nikolaeva E.P.2, Sergeichev I.V.3, Voloskov B.S.3, Mikula P.4
-
Affiliations:
- National Research Center “Kurchatov Institute”
- Irkutsk National Research Technical University
- Skolkovo Institute of Science and Technology, Center for Materials Technologies
- Nuclear Physics Institute CAS
- Issue: Vol 125, No 12 (2024)
- Pages: 1675-1684
- Section: ПРОЧНОСТЬ И ПЛАСТИЧНОСТЬ
- URL: https://journals.rcsi.science/0015-3230/article/view/283850
- DOI: https://doi.org/10.31857/S0015323024120208
- EDN: https://elibrary.ru/IHKWTC
- ID: 283850
Cite item
Abstract
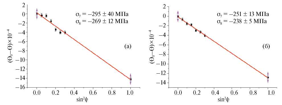
Using high-spatial-resolution (~0.2 mm) neutron diffraction, we examined the residual stresses in structural alloyed steel (Cr, Si, Mn) plates, 5 mm in thickness, following shot peening. The analysis revealed that residual stresses form not only near the treated surface but throughout the entire thickness of the plate. Compressive stress zones appear near both treated and untreated surfaces, while tensile stress zones emerge in the middle region. The intensity of the shot peening affects the width of these zones and the magnitude of the maximum stresses. Neutron experiments were conducted to measure stresses near the treated surface of the plates, employing the sin2ψ method. Results obtained via the sin2ψ neutron method were consistent with those from traditional three-component strain measurement techniques. The sin2ψ neutron method proves to be advantageous for measuring stresses near the surfaces of thick samples, since it lacks the limitations of traditional measurement techniques on the thickness of the sample.
Keywords
Full Text
About the authors
I. D. Karpov
National Research Center “Kurchatov Institute”
Email: vtem9@mail.ru
Russian Federation, Moscow
V. T. Em
National Research Center “Kurchatov Institute”
Author for correspondence.
Email: vtem9@mail.ru
Russian Federation, Moscow
E. P. Nikolaeva
Irkutsk National Research Technical University
Email: vtem9@mail.ru
Russian Federation, Irkutsk
I. V. Sergeichev
Skolkovo Institute of Science and Technology, Center for Materials Technologies
Email: vtem9@mail.ru
Russian Federation, Moscow
B. S. Voloskov
Skolkovo Institute of Science and Technology, Center for Materials Technologies
Email: vtem9@mail.ru
Russian Federation, Moscow
P. Mikula
Nuclear Physics Institute CAS
Email: vtem9@mail.ru
Czech Republic, Řež
References
- Prevéy P.S. X-ray Diffraction Residual Stress Techniques // Metals Handbook. 10. Metals Park: American Society for Metals. 1986. P. 380–392.
- Prevey P.S. X-Ray Diffraction Characterization of Residual Stresses Produced by Shot Peening. Lambda Research Inc., 1111 Harrison Avenue, Cincinnati, OH 4.5214. 2001. P. 81–93.
- Николаева Е.П., Гридасова Е.В., Герасимов В.В. Применение рентгеноструктурного анализа и шумов Баркгаузена для исследования конструкционной стали 30ХГСА после дробеударной обработки // Изв. Самарского научного центра Российской академии наук. 2007. Т. 17. № 2. C. 125–132.
- Santana Y.Y., Renault P.O., Sebastiani M., La Barbera J.G., Lesage J., Bemporad E., Le Bourhis E., Puchi-Cabrera E.S., Stai M.H. Characterization and residual stresses of WC–Co thermally sprayed coatings // Surf. Coat. Technol. 2008. V. 202. P. 4560–4565.
- Moore M.C., Evans W.P. Mathematical Corrections for Stress in Removed Layers in X-ray Diffraction Residual Stress Analysis // SAE Trans. 1958. V. 66. P. 340–345.
- Hutchings M.T., Withers P.J., Holden T.M., Lorentzen N. Introduction to the characterization of residual stress by neutron diffraction. 1-st ed. Tailor and Francis. London, 2005. 434 p.
- Ezeilo A., Webster G., Webster P.J., Webster P.S. Comparison of shot peening residual stress distributions in selection of materials / in: D. Kirk (Ed.). International Conference on Shot Peening, Christ Church, Oxford University. UK, 1993. P. 274–281.
- Webster P.J., Mills G., Wang X.D., Kang W.P., Holden T.M. Impediments to efficient through-surface strain scanning // J. Neutron Research. 1996. V. 3. P. 223–240.
- Evans A.D., King A., Pirling T., Bruno G., Withers P.J. Near surface residual stress determination of laser shock peening by neutron diffraction // J. Neutron Research. 2003. V. 1. № 4. P. 229–233.
- Bruno G., Fanara C., Hughes D.J., Ratel N. Procedures for interface residual stress determination using neutron diffraction: Mo-coated steel gear wheel // Nuclear Instruments and Methods in Physics Research B. 2006. V. 246. P. 425–439.
- Šaroun J., Rebelo Kornmeier J., Hofmann M., Mikula P., Vrana M. Analytical model for neutron diffraction peak shifts due to the surface effect // J. Appl. Crystallogr. 2013. V. 46. P. 628–638.
- Rebelo Kornmeiera J., Hofmann M., Luzin V., Gibmeierd J., Saroune J. Fast neutron surface strain scanning with high spatial resolution // Mater. Characterization. 2019. V. 154. P. 53–60.
- Menig R., Pinsshovius L., Shulze V., Vohringer O. Depth profiles of macro residual stresses in thin shot peened steel plates determined by X-ray and neutron diffraction // Scripta Mater. 2001. V.45. P. 977–983.
- Luzin V., Vackel A., Valarezo A., Sampas S. Neutron Through-Thickness Stress Measurements in Coatings with High Spatial Resolution // Mater. Sci. Forum. 2017. V. 905. P. 165–173.
- Pirling T., Bruno G., Withers P.J. SALSA - A new instrument for strain imaging in engineering materials and components // Mater. Sci. Eng.: A. 2006. V. 437. P. 139–144.
- Hofmann M., Schneider R., Seidl G.A., Rebelo-Kornmeier J., Wimpory R.C., Garbe U., Brokmeier H.G. The new materials science diffractometer STRESS-SPEC at FRM-II // Physica B: Condensed Matter. 2006. V. 385–386. Part 2. P. 1035–1037.
- Kirstein O., Luzin V., Garbe U. The strain-scanning diffractometer Kowari // Neutron News. 2009. V. 20. P. 34–36.
- Luzin V., Spiridonov P., Spencer K., Gnaupel-Herold T. Neutron Diffraction Study of Macrostress and Microstress in Al–Al2O3-Based Corrosion Protection Coating Obtained by Cold Spray (Dynamic Metallization) // J. Therm. Spray Techn. 2020. V. 29. № 6. P. 1437–1454.
- Meghwal F., Berndt C.C., Luzin V., Schulz C., Crowe T., Gabel H. ASM Ang, Mechanical performance and residual stress of WC–Co coatings manufactured by Kinetic Metallization // Surf. Coat. Tech. 2021. V. 421. Р. 127359.
- Withers P.J., Johnson M.W., Wright J.S. Neutron strain scanning using a radially collimated diffracted beam // Phys. B. 2000. V. 292. P. 273–285. https://doi.org/10.1016/S0921-4526(00)00481-6
- Reid M., Olsen S., Luzin V., New M., Booth N., Clowes D., Nguyen T., Franceschini F., Ogrin A., Pangalis S., Paradowska A., Larkin N., Pan Z., Hoye N., Suzuki H. Neutron optics upgrades to the residual stress diffractometer, KOWARI // Mater. Research Proceedings. 2016. V. 2. P. 371–376.
- Noyan I.C., Cohen J.B. Residual Stress. Measurement by Diffraction and Interpretation, Springer-Verlag. New York, Berlin, Heidelberg, 1987. 276 p.
- Hauk V.M., Oudelhoven R.W.M., Vaessen G.J.H. The State of Residual Stress in the Near Surface Region of Homogeneous and Heterogeneous Materials after Grinding // Metal. Trans. 13A. 1982. P. 1239–1244.
- ISO 21432:2019 Non-destructive testing — Standard test method for determining residual stresses by neutron diffraction. ISO. Geneva. Switzerland. 2019. 45 p.
- Эм В.Т., Балагуров А.М., Глазков В.П., Карпов И.Д., Mikula P., Мирон Н.Ф., Соменков В.А., Сумин В.В., Saroun J., Шушунов М.Н. Двойной монохроматор для нейтронной стресс-дифрактометрии // ПТЭ. 2017. № 4. C. 75–81. [Em V.T., Balagurov A.M., Glazkov V.P., Karpov I.D., Mikula P., Miron N.F., Somenkov V.A., Sumin V.V., Šaroun J., Shushunov M.N. A double-crystal monochromator for neutron stress diffractometry // Instr. exper. techn. 2017. V. 60. № 4. P. 526–532.]
- Em V.T., Karpov I.D., Somenkov V.A., Glazkov V.P., Balagurov A.M., Sumin V.V., Mikula P., Šaroun J. Residual stress instrument with double-crystal monochromator at research reactor IR-8 // Physica B: Condensed Matter. 2018. V. 551. P. 413–416.
Supplementary files










