Magneto-impedance tomography of elastically deformed amorphous Co-based ribbons
- Authors: Bukreev D.A.1, Derevyanko M.S.1, Kurlyandskaya G.V.2, Semirov A.V.1
-
Affiliations:
- Irkutsk State University
- Ural Federal University named after the First President of Russia B. N. Yeltsin
- Issue: Vol 125, No 10 (2024)
- Pages: 1231-1237
- Section: ЭЛЕКТРИЧЕСКИЕ И МАГНИТНЫЕ СВОЙСТВА
- URL: https://journals.rcsi.science/0015-3230/article/view/282235
- DOI: https://doi.org/10.31857/S0015323024100058
- EDN: https://elibrary.ru/JFGRHA
- ID: 282235
Cite item
Full Text
Abstract
The distribution of magnetic permeability over the cross section of rapidly quenched amorphous Co68.6Fe3.9Mo3.0Si12.0B12.5 ribbons was studied in the range of elastic tensile stresses from 0 to 480 MPa. This distribution was restored using magnetic impedance tomography, which is a method based on the analysis of the frequency dependences of the impedance, when external magnetic fields of varying amplitude or tensile mechanical stresses are applied to ribbons. In this case, the alternating-current frequency varied in the range from 0.01 to 80 MHz.
Full Text
ВВЕДЕНИЕ
Стрессимпедансный эффект (СИЭ) в аморфных магнитомягких лентах относится к тем явлениям, которые в настоящее время привлекают к себе достаточно большое внимание исследователей. СИЭ состоит в изменении комплексного сопротивления ленты переменному электрическому току под действием внешних механических напряжений [1, 2].
В большинстве публикаций изучается стрессимпедансный эффект, вызванный упругими растягивающими деформациями, когда возникающие внешние механические напряжения ориентированы вдоль длинной стороны ленты соосно с переменным током [1, 3]. В аморфных лентах на основе кобальта, несмотря на малую магнитострикцию, данный эффект может составлять 20% и более [4], что обуславливает его практическую значимость. Например, предложено использование стрессимпедансного эффекта для измерения деформаций [1]. СИЭ, вызванный изгибными деформациями, также имеет практическую значимость, например, для измерения параметров потока жидкости по изменению диаметра трубы [5].
Механические напряжения, воздействующие на аморфную магнитомягкую ленту в процессе термообработки, позволяют влиять на параметры наведенной магнитной анизотропии [6, 7] и, как следствие, на стресс- и магнитоимпедансные свойства [1–3, 8].
Характер изменения импеданса под действием механических напряжений зависит от их типа, ориентации оси легкого намагничивания (ОЛН) и знака магнитострикции материала [1, 3, 4]. Отметим, что магнитная структура аморфных магнитомягких лент неоднородна, что обусловлено преимущественно магнитоупругой природой их магнитной анизотропии, довольно сложным характером распределения внутренних закалочных напряжений [9–11], а также влиянием шероховатостей поверхности [12–14]. Об этом косвенно свидетельствуют экспериментальные результаты по изучению СИЭ в широком диапазоне частот переменного тока [4].
Распределение магнитной проницаемости по сечению ленты можно исследовать с помощью метода магнитоимпедансной томографии (МИТ), предложенного изначально для цилиндрических объектов [15]. В дальнейшем МИТ показала свою применимость и для случая аморфных лент с неоднородной магнитной структурой [16]. В настоящее время МИТ продолжает активно развиваться [17], в том числе обсуждаются пути дальнейшего развития теоретических подходов и степень применимости метода к системам различной геометрии [18].
Данная работа посвящена исследованию распределения магнитной проницаемости по сечению упруго деформированных аморфных лент на основе кобальта с помощью МИТ.
ОБРАЗЦЫ, ЭКСПЕРИМЕНТАЛЬНЫЕ МЕТОДИКИ И МОДЕЛИРОВАНИЕ
Аморфные ленты сплава Co68.6Fe3.9Mo3.0Si12.0B12.5 были получены методом быстрой закалки из расплава на вращающийся барабан. Номинальная ширина ленты составляла a = 0.78 мм, толщина 2b = 26 мкм. Из исходных лент были приготовлены образцы длиной l = 30 мм. Данный состав, как и составы с добавками хрома, были предложены для использования в магнитном детектировании суперпарамагнитных маркеров, так как чувствительные МИ-элементы на их основе сочетают в себе высокую коррозионную стойкость и достаточную чувствительность эффекта МИ [19].
Индукционные петли магнитного гистерезиса были получены в продольном магнитном поле частотой 1 кГц и амплитудой 1.2 кА/м.
Модуль электрического импеданса Z измеряли с помощью измерительного комплекса магнитоимпедансной спектроскопии на базе прецизионного анализатора Agilent 4294A [3]. В настоящей работе использованы возможности комплекса по исследованию одновременного влияния на Z внешнего магнитного поля H и растягивающих напряжений σ. Максимальные значения этих величин составляли: Hmax = ±12.3 кА/м и σmax = 480 МПа. Действующее значение силы переменного тока было равно 1 мА. Частоту переменного тока f варьировали в диапазоне 0.01 – 80 МГц. Переменный ток, внешнее магнитное поле и растягивающие механические напряжения были ориентированы вдоль длины образца.
Магнитоимпедансный эффект, состоящий в изменении импеданса под действием внешнего магнитного поля [8], рассчитывали по формуле:
. (1)
Относительное изменение импеданса под действием внешних механических напряжений (стрессимпедансный эффект) определяли с помощью выражения:
. (2)
МИТ состоит в сопоставлении экспериментальных и полученных с помощью компьютерного моделирования зависимостей Z(f)/RDC, где RDC – сопротивление ленты на постоянном токе. Моделирование выполняли в программной среде Comsol Multiphysics (лицензия № 9602434). Модель ленты имела прямоугольное сечение 2b × a и длину l. Сечение разбивали на 2n – 1 слоев, расположенных симметрично относительно ее середины. В данной работе n = 5 (рис. 1). Ширина и длина каждого слоя были равны a и l соответственно. Координаты внешних границ слоев приведены в табл. 1. Для каждого слоя задавали значение поперечной магнитной проницаемости μi, где i = 1…n (магнитная проницаемость симметричных слоев одинакова). При этом μi варьировали от 1 до 20 000. Удельные проводимости слоев принимали одинаковыми и равными экспериментально полученному значению 615 кСм/м.
Рис. 1. Разбиение компьютерной модели ленты на слои с различными магнитными проницаемостями.
Таблица 1. Координаты внешних границ слоев модели ленты при выполнении МИТ
Координата границы слоя | Значение, мкм |
y1 | 6 |
y2 | 8 |
y3 | 10 |
y4 | 12 |
y5 | 13 |
Отметим, что при моделировании учитывали магнитный поток не только внутри, но и вне ленты [16]. Комбинацию значений μi, при которой смоделированная зависимость Z(f)/RDC имеет наименьшее отклонение от экспериментальной, принимали за приближение реального распределения магнитной проницаемости по сечению ленты μ(y).
Для всего исследованного интервала механических напряжений отклонение зависимостей Z(f)/RDC, полученных с помощью моделирования, от экспериментальных не превышало 3% (рис. 2). Отклонение может быть связано с тем, что при моделировании не была учтена частотная дисперсия магнитной проницаемости, в том числе дисперсия магнитной проницаемости, связанной с движением доменных границ. Более того, для МИТ использовали симметричные модели, тогда как распределение магнитной проницаемости может быть несимметричным из-за несимметричного распределения закалочных напряжений и различного состояния свободной и контактной поверхностей ленты [9–14]. Изображения свободной и контактной поверхностей исследуемой ленты, полученные с помощью сканирующей электронной микроскопии, приведены на рис. 3а, б.
Рис. 2. Частотные зависимости приведенного импеданса Z(f)/RDC, полученные экспериментально (линии) и восстановленные с помощью МИТ (маркеры), при разных значениях растягивающих механических напряжений.
Рис. 3. Изображение свободной (а) и контактной (б) поверхностей быстрозакаленной ленты Co68.6Fe3.9Mo3.0Si12.0B12.5, полученное сканирующей электронной микроскопией, и петля магнитного гистерезиса при приложении внешнего поля в плоскости ленты вдоль ее длины (в).
РЕЗУЛЬТАТЫ И ОБСУЖДЕНИЕ
Петля продольного магнитного гистерезиса свидетельствует о том, что исследуемые ленты обладают выраженными магнитомягкими свойствами (рис. 3в). Намагниченность насыщения составляет Ms ≈ 540 кА/м, остаточная намагниченность Mr ≈ 290 кА/м. Коэрцитивная сила приблизительно равна 50 А/м.
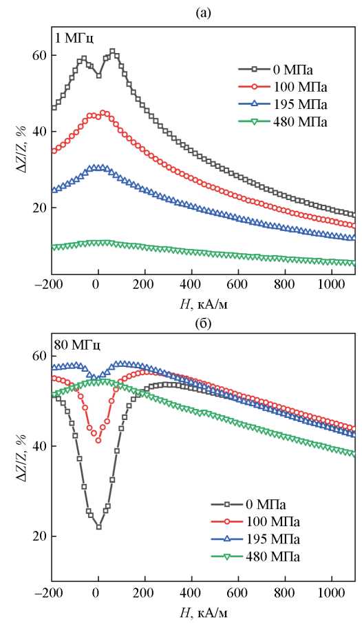
В отсутствие механических напряжений (σ = 0) зависимости МИ от напряженности внешнего магнитного поля ΔZ/Z(H), рассчитанные по формуле (1), на частотах переменного тока 0.1 МГц и выше имеют два пика (рис. 4). Другими словами, МИ достигает максимума в поле, отличном от нуля: Hp ≠ 0 (рис. 5а). На частотах ниже 0.1 МГц зависимости ΔZ/Z(H) имеют один максимум, т. е. Hp = 0 (рис. 5а). С повышением частоты переменного тока напряженность магнитного поля Hp, необходимая для достижения максимального МИ, увеличивается (рис. 5а).
Рис. 4. Зависимости МИ от напряженности внешнего магнитного поля ΔZ/Z(H), полученные при различных растягивающих напряжениях на частоте переменного тока: (а) 1 МГц; (б) 80 МГц.
Рис. 5. Частотные зависимости: (а) поля пика Hp (поле, в котором МИ достигает максимального значения); (б) максимального МИ (ΔZ/Z)max. Зависимости получены при механических растягивающих напряжениях σ от 0 до 480 МПа.
Как известно, положение пика на кривой ΔZ/Z(H) зависит как от эффективного значения константы магнитной анизотропии, так и от ориентации ОЛН [3]. Поэтому, принимая во внимание существование такого явления как скин-эффект, можно сделать вывод, что наблюдаемые изменения Hp указывают на неоднородное распределение магнитной проницаемости по сечению ленты.
Увеличение растягивающих механических напряжений независимо от частоты переменного тока приводит к уменьшению Hp. В конце концов, зависимость ΔZ/Z(H) типа “два пика” переходит в зависимость типа “один пик” (рис. 4), т. е. Hp уменьшается до 0 (рис. 5а).
Такие изменения магнитоимпедансных зависимостей под действием механических напряжений говорят о том, что эффективная константа магнитострикции исследуемых лент положительна. Данная величина, определенная по изменению зависимостей ΔZ/Z(H) под действием механических напряжений так, как это предложено в работе [20], составляет λs ≈ +0.59∙10-7. Также следует отметить, что чем выше частота переменного тока, тем больше значения σ, при которых наблюдается переход от зависимости типа “два пика” к зависимости типа “один пик” (рис. 4). Это еще раз подтверждает предположение о существовании неоднородной магнитной структуры быстрозакаленных лент. В отсутствие механических напряжений максимальный МИ (ΔZ/Z)max (соответствует пику на магнитополевой зависимости МИ) достигает наибольшего значения на частоте переменного тока около 8 МГц (рис. 5б). При этом (ΔZ/Z)max превышает 200%, что может представлять практический интерес. С увеличением σ наблюдается уменьшение величины (ΔZ/Z)max во всем исследованном диапазоне частот переменного тока. При этом максимум на зависимости (ΔZ/Z)max(f) смещается в область больших частот (рис. 5б).
На рис. 6 представлены зависимости относительного изменения импеданса от величины механических напряжений (ΔZ/Z)σ(σ), рассчитанные по формуле (2). Видно, что на частотах переменного тока ниже 5 МГц увеличение механических напряжений сразу приводит к уменьшению (ΔZ/Z)σ. На частотах 5 МГц и выше с увеличением σ сначала наблюдается рост, а затем уменьшение (ΔZ/Z)σ. При этом величина механических напряжений, при которой рост сменяется уменьшением, тем больше, чем выше частота переменного тока. Несмотря на малую величину магнитострикции в материалах данного состава, относительное изменение импеданса под действием механических напряжений достигает заметной величины 30%.
Рис. 6. Относительное изменение импеданса под действием механических напряжений. Зависимости на разных частотах переменного тока получены экспериментально (сплошные линии), а также рассчитаны по результатам МИТ (маркеры).
Зависимости магнитной проницаемости различных областей ленты от механических напряжений, восстановленные с помощью МИТ, представлены на рис. 7 и отражают соответствующие изменения распределения магнитной проницаемости по сечению ленты. По характеру изменения магнитной проницаемости выделенные области ленты можно разделить на две группы. В первую группу входят внутренние области 1, 2 и 3 с магнитной проницаемостью μ1, μ2 и μ3 соответственно. С ростом σ проницаемость этих областей уменьшается во всем исследованном интервале механических напряжений (рис. 7). Вторую группу составляют оставшиеся внешние области. Их проницаемость ведет себя иначе: μ4 и μ5 с ростом σ сначала увеличиваются, а затем уменьшаются.
Рис. 7. Зависимости магнитных проницаемостей различных областей ленты от растягивающих механических напряжений, полученные с помощью МИТ.
Поскольку магнитострикция ленты положительна, внешние растягивающие напряжения стремятся ориентировать намагниченность вдоль длинной стороны (оси) ленты. Как было показано ранее [3], в случае продольной ОЛН увеличение σ приведет к уменьшению магнитной проницаемости, а в случае поперечной – проницаемость сначала увеличится и, достигнув некоторого максимального значения, будет уменьшаться. Принимая во внимание магнитополевые зависимости проницаемости, представленные на рис. 7, можно сделать вывод, что внутренние области ленты имеют преимущественно продольную ось легкого намагничивания (ОЛН), а внешние – преимущественно поперечную ОЛН. Отметим, что во внешних и внутренних областях действуют внутренние закалочные напряжения разного знака [9–11]. Это и определяет различную ориентацию ОЛН в них, поскольку анизотропия аморфных лент имеет магнитоупругую природу.
Обращают на себя внимание сильно изменяющиеся от области к области значения магнитной проницаемости. Так, магнитная проницаемость центрального слоя μ1 в отсутствие механических напряжений составляет почти 14 000. Проницаемости второго μ2 и третьего μ3 слоев заметно ниже – около 4000 и 6000 соответственно. Проницаемость четвертого слоя достигает максимума при заметно меньшем значении σ по сравнению с пятым слоем: около 100 и около 400 МПа соответственно. При этом максимальное значение μ4 превышает максимальное значение μ5 почти в 2.5 раза. Вновь обращаясь к представлениям о магнитоупругой природе магнитной анизотропии в аморфных лентах, полученное распределение магнитной проницаемости можно связать как с распределением закалочных напряжений по сечению ленты, которое может иметь сложный характер [9–11], так и с определенным вкладом поверхностной анизотропии.
По результатам МИТ, толщина области с преимущественно продольной ориентацией намагниченности составляет 2y3 = 20 мкм (табл. 1). Зная Ms и Mr (рис. 3в), также можно оценить эффективный размер продольно намагниченной области сиз выражения 2g = 2bMr / Ms (около 14 мкм) [21]. Расхождение можно объяснить тем, что намагниченность во внутренних областях ленты ориентирована не строго по оси, а под некоторым углом. Наиболее вероятным представляется то, что намагниченность, имея практически строго поперечную ориентацию в самом поверхностном слое, по мере продвижения вглубь ленты постепенно поворачивается к продольному направлению [15]. В центральном слое намагниченность, вероятно, ориентирована практически вдоль оси ленты, о чем свидетельствует его высокая магнитная проницаемость (рис. 7).
Считая, что ОЛН в центральном слое ориентирована вдоль длины ленты, а во внешнем – перпендикулярно ей, можно достаточно просто оценить величину внутренних закалочных напряжений σin в этих слоях.
Приняв, что константа магнитной анизотропии K = 3λsσin/2 [11], можно записать следующее выражение для энергии внешнего слоя:
, (3)
где μ0 – магнитная постоянная, θ – угол отклонения намагниченности от ОЛН. Как видно из выражения (3), W – минимальна, а, следовательно, магнитная проницаемость максимальна, когда σ = –σin. Магнитная проницаемость внешнего, 5-го, слоя достигает максимума при 400 МПа (рис. 7). Следовательно, σin в этом слое составляет около –400 МПа (сжимающие напряжения). Отметим, что магнитная проницаемость 4-го слоя достигает максимального значения при 100 МПа (рис. 7), что, вероятно, связано с тем, что внутренние закалочные напряжения во внешних слоях уменьшаются по модулю по мере продвижения вглубь ленты.
Для оценки σin в центральном слое удобно воспользоваться выражением σin = μ0Ms2/3(μ – 1) λs. Здесь μ – проницаемость при σ = 0. Данное выражение можно получить хорошо известным способом, описанным, например, в работе [3]. Вычисления показывают, что в центральном слое σin ≈ 150 МПа (растягивающие напряжения).
Значения стресс-импедансного эффекта, рассчитанные по результатам МИТ, практически совпадают с экспериментальными (рис. 6, маркеры).
ЗАКЛЮЧЕНИЕ
Таким образом, с помощью метода магнитоимпедансной томографии в настоящей работе установлено, что магнитная проницаемость по сечению аморфной ленты Co68.6Fe3.9Mo3.0Si12.0B12.5 с малой положительной магнитострикцией распределена неоднородно. Магнитная проницаемость внешних областей общей толщиной около 3 мкм в отсутствие механических напряжений не превышает 2100, в то время как проницаемость внутренних областей заметно выше и варьируется от примерно 4000 до 14 000. Характер изменения распределения магнитной проницаемости по сечению ленты под действием внешних растягивающих напряжений указывает на то, что эффективная магнитная анизотропия внешних областей преимущественно поперечная, а внутренних – продольная. Показано, что распределение магнитной проницаемости по сечению ленты определяется соответствующим распределением внутренних закалочных напряжений. Магнитные свойства внешних областей ленты находятся также и под влиянием шероховатостей ее поверхности.
Исследование выполнено за счет гранта Российского научного фонда №22-22-00709, https://rscf.ru/project/22-22-00709/, ФГБОУ ВО “Иркутский государственный университет”, Иркутская обл.
Авторы данной работы заявляют, что у них нет конфликта интересов.
About the authors
D. A. Bukreev
Irkutsk State University
Author for correspondence.
Email: da.bukreev@gmail.com
Russian Federation, Irkutsk, 664003
M. S. Derevyanko
Irkutsk State University
Email: da.bukreev@gmail.com
Russian Federation, Irkutsk, 664003
G. V. Kurlyandskaya
Ural Federal University named after the First President of Russia B. N. Yeltsin
Email: da.bukreev@gmail.com
Russian Federation, Ekaterinburg, 620002
A. V. Semirov
Irkutsk State University
Email: da.bukreev@gmail.com
Russian Federation, Irkutsk, 664003
References
- Pan P., Hayward T.J. Comparative study of the giant stress impedance behavior of commercial amorphous ribbons for strain sensing applications // J. Appl. Phys. 2022. V. 131. P. 214503.
- Li D., Lu Z., Zhou S. Giant stress-impedance effect in amorphous and thermally annealed Fe73.5Cu1Nb3Si13.5B9 ribbons // Sens Actuators A Phys. 2003. V. 109. P. 68–71.
- Bukreev D.A., Derevyanko M.S., Moiseev A.A., Semirov A.V., Savin P.A., Kurlyandskaya G.V. Magnetoimpedance and Stress-Impedance Effects in Amorphous CoFeSiB Ribbons at Elevated Temperatures // Materials. 2020. V. 13. P. 3216.
- Gazda P., Nowicki M., Szewczyk R. Comparison of Stress-Impedance Effect in Amorphous Ribbons with Positive and Negative Magnetostriction // Materials. 2019. V. 12. P. 275.
- Beato-López J.J., Urdániz-Villanueva J.G., Pérez-Landazábal J.I., Gómez-Polo C. Giant Stress Impedance Magnetoelastic Sensors Employing Soft Magnetic Amorphous Ribbons // Materials. 2020. V. 13. P. 2175.
- Лукшина В.А., Дмитриева Н.В., Волкова Е.Г., Шишкин Д.А. Магнитные свойства сплава Fe63.5Ni10Cu1Nb3Si13.5B9, нанокристализованного в присутствии растягивающих напряжений // ФММ. 2019. Т. 120. С. 346–351.
- Li D., Lu Z., Zhou S. Induced Magnetic Anisotropy and Stress-Impedance Effect in Nanocrystalline Fe73.5Cu1Nb3Si13.5B9 Ribbons // IEEE Sensors Journal. 2006. V. 6. P. 924–927.
- Beach R.S., Berkowitz A.E. Sensitive field‐ and frequency‐dependent impedance spectra of amorphous FeCoSiB wire and ribbon (invited) // J. Appl. Phys. 1994. V. 76. P. 6209–6213.
- Bengus V.Z., Duhaj P., Korolkova E.B., Ocelík V. Internal Stress Contribution to the Yield Stress Anisotropy of Amorphous Alloy Ribbons // Solid State Phenomena. 1993. V. 35–36. P. 575–580.
- Tejedor M., Garcı́a J.A., Carrizo J., Elbaile L., Santos J.D. Effect of residual stresses and surface roughness on coercive force in amorphous alloys // J. Appl. Phys. 2002. V. 91. P. 8435.
- Takahashi M., Miyazaki T. Magnetic Anisotropy in an Amorphous Fe80P13C7 Alloy // Jpn. J. Appl. Phys. 1979. V. 18. P. 743–752.
- Tsukahara S., Satoh T., Tsushima T. Magnetic anisotropy distribution near the surface of amorphous ribbons // IEEE Trans Magn. 1978. V. 14. P. 1022–1024.
- Kraus L., Tomáš I., Keatociivílová E., Speingmann B., Müller K. Magnetic anisotropy caused by oriented surface roughness of amorphous ribbons // Phys. Status Solidi (a). 1987. V. 100 V. 289–299.
- Vavassori P., Callegaro L., Puppin E., Malizia F., Ronconi F. Surface magnetic characterization of FeB amorphous ribbons // JMMM. 1996. V. 157–158. P. 171–172.
- Bukreev D.A., Derevyanko M.S., Moiseev A.A., Svalov A.V., Semirov A.V. The Study of the Distribution of Electrical and Magnetic Properties over the Conductor Cross-Section Using Magnetoimpedance Tomography: Modeling and Experiment // Sensors. 2022. V. 22. P. 9512.
- Bukreev D.A., Derevyanko M.S., Semirov A.V. Magnetoimpedance Effect in Cobalt-Based Amorphous Ribbons with an Inhomogeneous Magnetic Structure // Sensors. 2023. V. 23. P. 8283.
- Букреев Д.А., Деревянко М.С., Моисеев А.А., Семиров А.В. Магнитоимпедансная томография аморфных проводов CoFeTaSiB // ФММ. 2023. Т. 124. С. 710–716.
- Buznikov N.A., Kurlyandskaya G.V. Theoretical Study of Microwires with an Inhomogeneous Magnetic Structure Using Magnetoimpedance Tomography // Sensors. 2024. V. 24. P. 3669.
- Amirabadizadeh A., Lotfollahi Z., Zelati A. Giant magnetoimpedance effect of Co68.15Fe4.35Si12.5B15 amorphous wire in the presence of magnetite ferrofluid // JMMM. 2016. V. 415. P. 102–105.
- Knobel M., Gómez-Polo C., Vázquez M. Evaluation of the linear magnetostriction in amorphous wires using the giant magneto-impedance effect // JMMM. 1996. V. 160. P. 243–244.
- Alekhina I., Kolesnikova V., Rodionov V., Andreev N., Panina L., Rodionova V., Perov N. An indirect method of micromagnetic structure estimation in microwires // Nanomaterials. 2021. V. 11. P. 11–16.
Supplementary files









