Peculiarities of the formation of Dy/Co periodic multilayer systems upon magnetron sputtering
- Authors: Prutskov G.V.1, Subbotin I.A.1, Kravtsov E.A.2,3, Makarova M.V.2,3, Milyaev M.A.2,3, Pashaev E.M.1
-
Affiliations:
- National Research Center “Kurchatov Institute”
- Mikheev Institute of Metal Physics, Ural Branch, Russian Academy of Sciences
- Ural Federal University named after the First President of Russia B. N. Yeltsin
- Issue: Vol 125, No 10 (2024)
- Pages: 1215-1221
- Section: ЭЛЕКТРИЧЕСКИЕ И МАГНИТНЫЕ СВОЙСТВА
- URL: https://journals.rcsi.science/0015-3230/article/view/282231
- DOI: https://doi.org/10.31857/S0015323024100039
- EDN: https://elibrary.ru/JFPBHI
- ID: 282231
Cite item
Full Text
Abstract
X-ray and magnetometry methods are used to show that, during magnetron sputtering of Dy/Co periodic multilayer systems, the DyCo2 and DyCo3 intermetallics form. The main reason for the phase formation of various intermetallics is the structural state of buffer layer, namely, its crystalline and amorphous state in the case of crystalline and glass substrate, respectively.
Full Text
ВВЕДЕНИЕ
Магнитные металлические периодические системы (МПС) являются перспективными материалами для магнитооптической записи и хранения информации [1]. Один из примеров таких материалов – сверхрешетки переходный металл\ редкоземельный металл (ПМ/РЗМ), интерес к которым вырос после того, как появилась возможность переключения магнитного момента системы с помощью фемтосекундного лазерного импульса без приложения внешнего магнитного поля [2–5]. Для этого необходимо выполнение трех условий [2]: антипараллельное упорядочение магнитных моментов подрешеток ПМ и РЗМ, наличие температуры компенсации и перпендикулярной магнитной анизотропии. Сверхбыстрое переключение магнитных моментов наблюдали в сверхрешетках c тонкими слоями Gd/Co, Tb/Co, Ho/CoFe [2] и аморфных сплавах GdFeCo [6], TbCo [7], DyCo и т.п.
Магнитные свойства тонких пленок ПМ/РЗМ (толщиной нескольких нм) существенно зависят от состояния как самих слоев, так и интерфейсов. Характерной особенностью этих систем является наличие неоднородной внутрислойной атомной и магнитной структуры, обусловленной влиянием таких факторов, как размерные эффекты [8], эффекты близости соседних слоев, межслойное обменное взаимодействие, особенности атомной структуры отдельных слоев и межслойных границ [9], образование аморфного сплава РЗМ–ПМ или интерметаллических соединений [10]. Для понимания физических механизмов, приводящих к возникающим особенностям магнитных свойств систем с сочетанием переходного и редкоземельного металлов, необходимо проведение комплексных структурных исследований, в которых будет получена информация как о внутрислойной структуре, так и о структуре межслойных границ. Раннее мы показали, что МПС Dy/Co представляют собой сплавы с модуляцией состава, в которых имеется не только жесткая периодичность в толщинах и составах, но и взаимная диффузия Co и Dy на межслойных границах, которая приводит к периодическому изменению концентраций компонентов с глубиной [11, 12]. В слоях 2–3 нм при магнетронном распылении наблюдали образование стеклообразного интерметаллического соединения DyCo2 [12]. Фактически эта периодическая многослойная система демонстрировала чередование слоев DyCo2 и Co, что и определяет необычное поведение намагниченности многослойной системы с толстыми слоями.
Выбор подложки для последующего формирования планарных систем может оказывать существенное влияние на их структурное фазообразование. Например, в работе [13] при формировании тонких пленок нитрида тантала на кремниевой и стеклянной подложках было обнаружено образование различных структурных фаз системы Tа–N. Цель работы – исследование влияния материала подложки и буферного слоя на процесс формирования периодических многослойных систем Dy/Co и их магнитные свойства.
ЭКСПЕРИМЕНТ
Исследования выполнены на двух МПС, выращенных методом высоковакуумного магнетроного распыления на монокристаллических и аморфных подложках. Напыление проводили при комнатной температуре. Образец А представляет собой систему [Dy(2 нм)/Co(3 нм)]40, сформированную на монокристаллической подложке Si (100) с буферным слоем Nb (10 нм) и закрытую сверху слоем Al (10 нм). Периодическая структура образца Б [Dy(2 нм)/Co(3 нм)]20 сформирована на аморфной подложке из стекла, с буферным слоем Ta толщиной 5 нм и закрытую сверху защитным слоем Ta толщиной 3 нм. Отметим, что параметр кристаллической решетки объемного тантала (Im3m, a = 0.330256 нм [14]) лишь незначительно отличается от объемного ниобия (Im3m, a = 0.330121 нм). Ниобий и тантал являются парамагнетиками. В итоге были получены два образца, выращенные при одинаковых условиях на различных подложках и буферных слоях.
Структурные исследования проведены методами рентгеновской рефлектометрии и рентгеновской дифрактометрии. Измерения угловых зависимостей зеркального отражения проведены на рентгеновском дифрактометре Rigaku SmartLab с вращающимся анодом в CuKα1-излучении. Оптическая схема включала в себя параболическое коллимирующее зеркало и кристаллический монохроматор 2xGe(220). Для уменьшения диффузного рассеяния и повышения соотношения сигнал/шум перед детектором устанавливали узкую щель.
Анализ рефлектометрических данных проведен в рамках ламельного подхода, подробно описанного в [12]. В результате подгонки был восстановлен профиль распределения поляризуемости по глубине структуры. На рис. 1 и рис. 2 показаны экспериментальные и теоретические кривые зеркального отражения для образцов А и Б.
Рис. 1. Теоретические (сплошные) и экспериментальные (точки) кривые рефлектометрии для образца А и кривая невязок σ. На вставке представлен фрагмент кривой в диапазоне 2.35–2.40 град.
Рис. 2. Теоретические (сплошные) и экспериментальные (точки) кривые рефлектометрии для образца Б и кривая невязок σ. На вставке представлен фрагмент кривой в диапазоне 2.51–2.64 град.
На кривых рис. 1, рис. 2 видны ярко выраженные сверхструктурные пики со средним периодом ~0.85°. Осцилляции с большим периодом, обусловленные интерференцией рентгеновского излучения от нижней границы защитного слоя, и высокочастотные осцилляции соответствуют интерференции рентгеновского излучения от всей МПС. При этом распределение интенсивности пиков на кривой рентгеновской рефлектометрии позволяет оценить соотношение толщин слоев, составляющих МПС. Повышенное значение фона в области больших углов на кривых рентгеновской рефлектометрии может быть связано как с некогерентным рассеянием, так и с наличием флуоресцентного излучения от диспрозия и кобальта, возбуждаемого падающим CuKα1.
При анализе рефлектограммы от кривой рентгеновской рефлектометрии образца А не удалось получить хорошего согласия с экспериментальными данными, используя модель с номинальными толщинами слоев Dy и Co. Известно, что слой алюминия толщиной 10 нм может не полностью защищать периодическую систему от проникновения атмосферного кислорода [14], что приводит к окислению редкоземельного металла. Поэтому модель была усложнена: распределение поляризуемости последних 3 бислоев перед защитным слоем варьировали отдельно от основной периодической системы. Использование такой модели позволило получить хорошее согласие теоретических и экспериментальных кривых. В результате процедуры подгонки было получено распределение поляризуемости по глубине (рис. 3).
Рис. 3. Профиль распределения реальной части поляризуемости по глубине для образцов А (кристаллическая подложка) и Б (аморфная подложка).
Анализ угловой зависимости интенсивности зеркального отражения от образца Б проводили, используя модель с номинальными толщинами слоев без варьирования отдельных периодов МПС. В результате удалось получить хорошее согласие теоретической и экспериментальной кривых, что может свидетельствовать о хороших покрывных качествах слоя Ta, который не позволяет кислороду проникнуть в структуру и вызвать окисление редкоземельного элемента.
Для системы Dy 2 нм/Co 3 нм среднее значение поляризуемости [12] находится близко к χ0=4.477‧10−5. Профили распределения поляризуемости одного периода для образцов А и Б представлены на рис. 4. Видно, что полученные профили поляризуемости для обоих образцов находятся выше линии среднего значения поляризуемости χ0, при этом распределение поляризуемости в периоде для образца А отличается от образца Б.
Рис. 4. Профиль распределения реальной части поляризуемости внутри одного периода. Штриховыми линиями отмечены значения реальной части поляризуемости для чистых элементов Dy, Co и среднее значение реальной части поляризуемости для системы Dy 2 нм/Co 3 нм.
Такое поведение профилей нельзя объяснить в рамках модели с диффузно-перемешанными слоями. Вероятно, в исследуемых образцах наблюдается перемешивание слоев кобальта и диспрозия между собой на границе и/или в объеме с возможным образованием интерметаллидов различного состава. Согласно фазовой диаграмме состояний системы Dy–Co [15], при температуре T=290 K образовываются следующие интерметаллиды: DyCo2, DyCo3, Dy12Co7 и Dy2Co7. Расчетные значения поляризуемости для DyCo2 и Co близки, что и наблюдается на профиле распределения поляризуемости для образца А. Таким образом, образец А может быть описан как состоящий преимущественно из слоев интерметаллида DyCo2 и слоев Co. В образце Б ситуация другая, коэффициенты поляризуемости в слоях Dy и Co немного меньшие, чем в образце А, но больше, чем среднее значение поляризуемости χ0 (χ0 =4.477‧10−5). Это может указывать на то, что в результате взаимодиффузии металлов образовался другой интерметаллид с меньшей поляризуемостью. Следовательно, необходимо уточнение фазового состава.
Для определения фазового состава исследуемых образцов проанализированы кривые дифракционного отражения (КДО), измеренные как в геометрии скользящего падения при различных углах входа падающего излучения, так и в стандартной θ-2θ-геометрии на дифрактометре PANalytical Empyrean Series 2 с использованием CoKα1-излучения. При этом КДО в геометрии скользящего падения более чувствительна к структурным особенностям приповерхностных слоев, а КДО в θ-2θ-геометрии – к более глубоким слоям.
Исследования показали (рис. 5), что при θ-2θ-съемке на КДО для образца А наблюдаются пики от Nb и Si, что указывает на кристаллическое состояние буфера и подложки. В то же время КДО для образца Б не содержит дифракционных пиков, не только от подложки, но и буферного слоя Ta. Согласно [16, 17], при напылении тонкого (до 2 нм) слоя Ta на некристаллическую подложку формируется аморфный слой Ta, при увеличении толщины слоя Ta выше 2 нм – тетрагональная кристаллическая решетка β-фазы Ta. В соответствии с этим, можно предположить, что в слое Ta существует переход от аморфного к нанокристаллическому β-Ta-состоянию. Дифракционных пиков от возможных структурных фазообразований в МПС, измеренных в стандартной геометрии на КДО для обоих образцов не наблюдается, вероятно, из-за их малых толщин слоев.
Рис. 5. Дифракционные кривые от образцов А (кристаллическая подложка) и Б (аморфная подложка) в геометрии 2θ-θ.
Рентгенофазовый анализ данных дифракции при фиксированном угле скольжения рентгеновского излучения на исследуемые образцы ω=1° (рис. 6) подтвердил наличие фазы с кубической решеткой DyCo2 в образцах А и Б. Наиболее ярко выражены дифракционные пики DyCo2 (220) и (222). Для образца Б на КДО наблюдаются дифракционные пики, которые могут быть идентифицированы как дифракционные отражения от DyCo2 и DyCo3. Наличие гексагональной фазы DyCo3 подтверждается отражениями (11–20) и (11–23). Интенсивность пиков от DyCo2 в образце Б значительно меньше, чем в образце А, что может указывать на то, что интерметаллид находится в нанокристаллическом состоянии. Линии DyCo3 также являются слабоинтенсивными. Фазообразование интерметаллидов DyCo2 и DyCo3 согласуется с фазовой диаграммой Dy–Co [15].
Рис. 6. Дифракционные кривые от образцов А и Б в геометрии скользящего отражения при ω =1°. Линии на оси абсцисс соответствуют объемным Dy и Co.
Для обоих образцов первым слоем на буфере являлся слой Dy, и, вероятно, его дальнейшее структурное “поведение” и определяло механизм запуска образования того или другого интерметаллида. В частности, влияние кристаллической подложки кремния приводит к образованию кристаллического буфера ниобия, который, в свою очередь, оказывает влияние на структурообразование кубического DyCo2 из-за взаимной диффузии металлов. В то же время из-за некристаллической подложки тонкий буферный слой тантала получается аморфным, что не приводит к текстурированию Dy и Co, а ввиду наличия сильного диффузного перемешивания металлов их интерметаллиды могут образоваться в виде нанокристаллитов различной ориентации. В результате для образца Б на КДО формируются низкоинтенсивные дифракционные пики от слоев интерметаллидов.
Образцы А и Б имеют разные магнитные свойства. На СКВИД магнетометре были измерены петли гистерезиса с максимальным внешним полем ±15 кЭ в диапазоне температур 90–300 К. Магнитный момент M измеряли в магнитном поле, направленном перпендикулярно плоскости образцов. Поскольку исходные данные содержат информацию не только от пленки, но и от подложки, для выделения информации о пленке дополнительно измеряли зависимости M(H) для чистой подложки, которые затем вычитали из исходных данных.
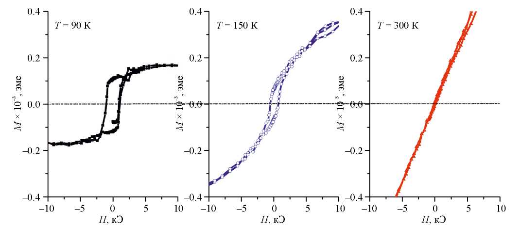
Петли гистерезиса, полученные при температурах 90, 150 и 300 К, представлены на рис. 7 и рис. 8. Петля гистерезиса для образца А на кристаллической подложке Si(001), снятая при 90 К, имеет прямоугольную форму. Интерметаллид DyCo2 является ферримагнетиком с температурой Кюри 150 К [18]. При 90 К вдоль внешнего магнитного поля проявляется сильная перпендикулярная анизотропия. Согласно [19], температура компенсации Tcomp рассмотренной системы находится вблизи 110 К. В полях насыщения ниже Tcomp вдоль внешнего поля ориентируется магнитный момент подрешетки диспрозия, а против поля – магнитные момент подрешеток кобальта. Выше 150 К магнитный момент образца лежит в плоскости пленки.
Рис. 7. Петли гистерезиса для образца А с подложкой из кристаллического Si при разных температурах в магнитном поле, направленном перпендикулярно плоскости образца.
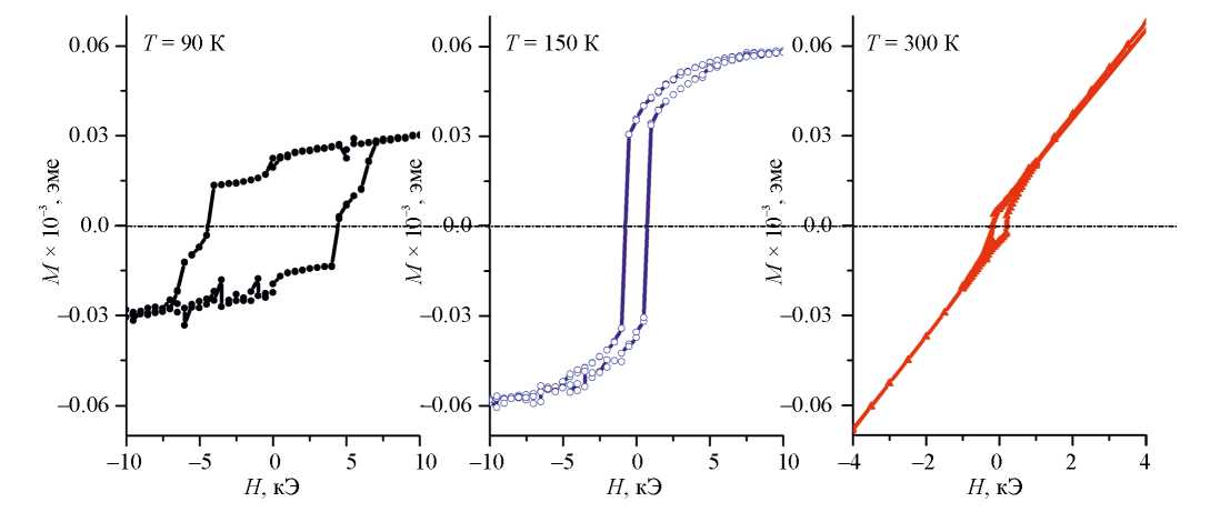
Рис. 8. Петли гистерезиса для образца Б с подложкой из аморфного стекла SiO2 при разных температурах в магнитном поле, направленном перпендикулярно плоскости образца.
Для образца Б петля гистерезиса при температуре 90 К состоит из двух петель (рис. 8). Это свойственно для материалов с более чем одной магнитной фазой, например, DyCo2 и DyCo3, которые перемагничиваются неодновременно. Температура Кюри DyCo2 составляет около 150 К, а DyCo3 около 450 К. Таким образом, при температуре выше 150 К только магнитный момент DyCo3 остается ориентированным вдоль нормали к поверхности пленки. При 300 К магнитный момент образца лежит в плоскости пленки.
ЗАКЛЮЧЕНИЕ
Взаимодополняющими рентгеновскими и магнитометрическими исследованиями многослойных периодических систем Dy/Co показано, что при магнетронном распылении образование той или иной фазы зависит от материала и кристаллической структуры подложки и буферного слоя.
В образце, выращенном на кристаллической подложке Si, формируется кристаллический буферный слой Nb, что приводит к образованию интерметаллида DyCo2. В образце, выращенном на стеклянной подложке, образуется рентгеноаморфный буферный слой Ta, на котором формируются интерметаллиды DyCo2 и DyCo3.
Основной причиной фазообразования различных интерметаллидов является структурное состояние буферного слоя – кристаллического в случае кристаллической подложки и аморфного в случае стеклянной. Наличие таких фаз приводит к изменениям магнитных свойств периодических структур Dy/Co.
Работы по синтезу образцов выполнены при финансовой поддержке Российской Федерации, Министерства науки и высшего образования, соглашение № 075-15-2022-830 от 27 мая 2022 г. (продолжение Соглашения № 075-15-2021-1358 от 12 октября 2021 г). Исследования методом рентгеновской дифрактометрии выполнены в рамках государственного задания Минобрнауки России (тема “Спин”, № 122021000036-3).
Эксперименты по рентгеновской диагностике, выполненные на оборудовании Курчатовского комплекса синхротронно-нейтронных исследований НИЦ “Курчатовский институт”, и анализ экспериментальных данных проведены при финансовой поддержке Российской Федерации в лице Министерства науки и высшего образования, соглашение № 075-15-2021-1350 от 5 октября 2021 г. (внутренний номер 15.СИН.21.0004).
Авторы данной работы заявляют, что у них нет конфликта интересов.
About the authors
G. V. Prutskov
National Research Center “Kurchatov Institute”
Email: makarova@imp.uran.ru
Russian Federation, Moscow, 123182
I. A. Subbotin
National Research Center “Kurchatov Institute”
Email: makarova@imp.uran.ru
Russian Federation, Moscow, 123182
E. A. Kravtsov
Mikheev Institute of Metal Physics, Ural Branch, Russian Academy of Sciences; Ural Federal University named after the First President of Russia B. N. Yeltsin
Email: makarova@imp.uran.ru
Russian Federation, Ekaterinburg, 620108; Ekaterinburg, 620002
M. V. Makarova
Mikheev Institute of Metal Physics, Ural Branch, Russian Academy of Sciences; Ural Federal University named after the First President of Russia B. N. Yeltsin
Author for correspondence.
Email: makarova@imp.uran.ru
Russian Federation, Ekaterinburg, 620108; Ekaterinburg, 620002
M. A. Milyaev
Mikheev Institute of Metal Physics, Ural Branch, Russian Academy of Sciences; Ural Federal University named after the First President of Russia B. N. Yeltsin
Email: makarova@imp.uran.ru
Russian Federation, Ekaterinburg, 620108; Ekaterinburg, 620002
E. M. Pashaev
National Research Center “Kurchatov Institute”
Email: makarova@imp.uran.ru
Russian Federation, Moscow, 123182
References
- Tudu B., Ashutosh T. Recent Developments in Perpendicular Magnetic Anisotropy Thin Films for Data Storage Applications // Vacuum. 2017. V. 146. P. 329–341.
- Mangin S., Gottwald M., Lambert C.-H., Steil D. Engineered materials for all-optical helicity-dependent magnetic switching // Nature Materials. 2014. V. 13. P. 286–292.
- Hansen P., Klahn S., Clausen C., Much G., Witter K. Magnetic and magneto-optical properties of rare-earth transition-metal alloys containing Dy, Ho, Fe, Co // J. Appl. Phys. 1991. V. 69. P. 3194–3207.
- Schubert C., Hassdenteufel A., Matthes P., Schmidt J., Helm M., Bratschitsch R., Albrecht M. All-optical helicitydependent magnetic switching in an artificial zero momentmagnet // Appl. Phys. Lett. 2014. V. 104. Р. 082406.
- Becker J., Tsukamoto A., Kirilyuk A., Maan J.C., Rasing T., Christianen P.C.M., Kimel A.V. Ultrafast Magnetism of a Ferrimagnet Across the Spin-Flop Transition in High Magnetic Fields // Phys. Rev. Lett. 2017. V. 118. Р. 117203.
- Savoini M., Medapalli R., Koene B., Khorsand A.R., Le Guyader L., Duò L., Finazzi M., Tsukamoto A., Itoh A., Nolting F., Kirilyuk A., Kimel A.V., Rasing Th. Highly efficient all-optical switching of magnetization in GdFeCo microstructures by interference-enhanced absorption of light // Phys. Rev. B. 2012. V. 86. P. 140404(R).
- Alebrand S., Gottwald M., Hehn M., Steil D., Cinchetti M., Lacour D., Fullerton E.E., Aeschlimann M., Mangin S. Light-induced magnetization reversal of high-anisotropy TbCo alloy films // Appl. Phys. Lett. 2012. V. 101. P. 162408.
- Shan Z.S., Sellmyer D.J. Magnetism of rare-earth–transition-metal nanoscale multilayers. I. Experiments on Dy/Co, Dy/Fe, and Tb/Fe // Phys. Rev. B. 1990. V. 42. P. 10433.
- Svalov A.V., Vas’kovskiy V.O., Kurlyandskaya G.V. Influence of the Size and Structural Factors on the Magnetism of Multilayer Films Based on 3d and 4f Metals // Phys. Met. Metal. 2017. V. 118. № 13. P. 1263–1299.
- Васьковский В.О. Магнетизм наносистем на основе редкоземельных и 3d-переходных металлов. Хрестоматия. Екатеринбург: УрГУ, 2007. 263 с.
- Макарова М.В., Кравцов Е.А., Проглядо В.В., Хайдуков Ю.Н., Устинов В.В. Структура и магнетизм сверхрешеток Co/Dy // ФТТ. 2020. Т. 62. № 9. С. 1499.
- Subbotin I.A., Pashaev E.M., Vasilev A.L., Chesnokov Yu.M., Prutskov G.V., Kravtsov E.A., Makarova M.V., Proglyado V.V., Ustinov V.V. The Influence of Microstructure on Perpendicular Magnetic Anisotropy in Co/Dy Periodic Multilayer Systems // Physica B: Condensed Matter. 2019. V. 573. P. 28–35.
- Nie H.B., Xu S.Y., Wang S.J., You L.P., Yang Z., Ong C.K., Li J., Liew T.Y.F. Structural and electrical properties of tantalum nitride thin films fabricated by using reactive radio-frequency magnetron sputtering // Applied Physics A. 2001. V. 73. P. 229–236.
- Mueller M.H. The lattice parameter of tantalum // Scripta Metallurgica. 1977. V. 11. P. 693–693.
- Okamoto H. Supplemental Literature Review of Binary Phase Diagrams: Ag-Ho, Ag-Tb, Ag-Y, Cd-Na, Ce-Sn, Co-Dy, Cu-Dy, Cu-Sn, Ir-Pt, Mg-Pb, Mo-Ni, and Sc-Y // Journal of Phase Equilibria and Diffusion. 2014. V. 35. No. 2. P. 150–156.
- Zuo J.D., Wang Y.Q., Wu K., Zhang J.Y., Liu G., and Sun J. Phase tailoring of Ta films via buffer layer thicknesses controlling // Scr. Mater. 2022. V. 212. P. 114582.
- Наумова Л.И., Заворницын Р.С., Миляев М.А., Девятериков Д.И., Русалина А.С., Криницина Т.П., Павлова А.Ю., Проглядо В.В., Устинов В.В. Гелимагнитная и кристаллографическая текстуры роста нанослоев диспрозия на буферных слоях Co90Fe10, Nb и β-Ta // ФММ. 2023. Т. 124. № 8. С. 692–702.
- Laguna-Marco M. A., Chaboy J., and Piquer C. Experimental determination of the R(5d)–T(3d) hybridization in rare-earth intermetallics // Phys. Rev. B. 2008. V. 77. P. 125132.
- Макарова М.В., Кравцов Е.А., Проглядо В.В., Субботин И.А., Пашаев Э.М., Холин Д.И., Хайдуков Ю.Н. Магнитная структура сверхрешеток Dy-Co вблизи температуры компенсации // Поверхность. Рентгеновские, синхротронные и нейтронные исследования. 2023. № 4. С. 50–54.
Supplementary files










