Effect of chromium content on the thermal stability of single-phase submicrocrystalline Ni–Cr alloys
- Authors: Karamyshev K.Y.1, Voronova L.M.1, Chashchukhina T.I.1, Degtyarev M.V.1
-
Affiliations:
- M.N. Miheev Institute of Metal Physics of Ural Branch of Russian Academy of Sciences
- Issue: Vol 125, No 9 (2024)
- Pages: 1083-1092
- Section: СТРУКТУРА, ФАЗОВЫЕ ПРЕВРАЩЕНИЯ И ДИФФУЗИЯ
- URL: https://journals.rcsi.science/0015-3230/article/view/281242
- DOI: https://doi.org/10.31857/S0015323024090033
- EDN: https://elibrary.ru/KFBXVD
- ID: 281242
Cite item
Full Text
Abstract
The thermal stability of single-phase Ni–Cr alloys (with 2, 5, and 12.5 at % Cr), in which the submicrocrystalline (SMC) structure is formed by high-pressure torsion, is studied. Annealing-induced variations of the hardness and grain size, and changing the uniformity of recrystallized structure are analyzed. The alloying of nickel with chromium increases the temperature of the onset of recrystallization of deformed alloy by 150–250°С and temperature of the onset of active grain growth by 200–400°С in accordance with the increase in the chromium content. The recrystallization of the studied SMC alloys develops via the priority growth of individual nuclei. The increase in the chromium content in the alloys from 2 to 12.5% favors the decrease in the grain size and increase in the size uniformity of the recrystallized structure.
Full Text
ВВЕДЕНИЕ
Сильнодеформированные металлы и сплавы с субмикрокристаллической (СМК) структурой могут проявлять как низкую, так и высокую термическую стабильность. Низкая термическая стабильность, т. е. быстрый рост зерна при нагреве, в таких материалах связана главным образом с большой накопленной энергией деформации [1–3]. Значительная движущая сила роста зерна даже при относительно низких гомологических температурах может вызвать аномальный рост отдельных зерен [4]. Однако в некоторых случаях наблюдают стабилизацию зеренной структуры в СМК-материалах [4, 5]. В работе [6] установлено, что СМК и нанокристаллические сплавы термически стабильны при определенном размере зерна, который уменьшается с увеличением концентрации растворенного элемента.
Часто высокую стабильность СМК-материалов связывают с протеканием в них при нагреве непрерывной рекристаллизации, а низкую – с развитием прерывистой [2, 7], причем изменить характер рекристаллизации материала можно варьированием легирования. Например, термическая стабильность СМК-никеля существенно зависит от его чистоты. В никеле чистотой более чем 99.96 мас.% развивается прерывистая рекристаллизация, по завершении которой отдельные зерна в субмикрозернистой матрице достигают размеров потенциальных зародышей вторичной рекристаллизации [2, 8]. В никеле чистотой 99.5 мас.% непрерывная рекристаллизация позволила получить более однородную по размеру зеренную структуру [2]. Тем не менее авторы работы [2] отмечают, что в последнем случае одновременно с непрерывной рекристаллизацией развивается прерывистая, т. е. некоторые зерна имеют преимущество в росте. Легирование, по-видимому, может привести к уменьшению различия в скорости роста отдельных зерен и таким образом повысить размерную однородность рекристаллизованной структуры. В работах [3, 9] установлено, что термическую стабильность СМК-никеля можно повысить путем легирования небольшим количеством хрома, железа или ванадия. При этом отмечен рост термической стабильности при увеличении содержания хрома от 1 до 3 мас.%. В то же время нельзя априорно утверждать, что термическая стабильность сплавов никель–хром при увеличении содержания хрома будет непрерывно повышаться. Так, в работе [10] показано, что температура рекристаллизации холоднокатаных сплавов Ni–Cr при увеличении содержания хрома от 20 до 42 мас.% меняется немонотонно. При этом изменялась также текстура деформации и текстура рекристаллизации. Известно [11], что изменение текстуры деформации, связанное с заметным снижением ЭДУ сплава никель–хром, происходит при содержании хрома более 13 мас.%. Следует отметить, что при содержании Cr более 20 мас.% возможно выделение интерметаллида [12].
Поэтому представляет интерес исследование термической стабильности СМК-структуры в сплавах никеля с содержанием хрома более 1 и менее 13 мас.%.
Целью настоящей работы является исследование процесса рекристаллизации сплавов Ni-(2, 5, 12.5) ат.% Cr, в которых при деформации сдвигом под давлением создана СМК-структура.
МЕТОДИКА ПРОВЕДЕНИЯ ЭКСПЕРИМЕНТА
Исследованы образцы Ni (99.98 мас.%) и сплавов Ni–Cr с содержанием хрома 2, 5 и 12.5 ат.%. Далее в работе сплавы будут обозначаться соответственно Ni–2Cr, Ni–5Cr, Ni–12.5Cr. Образцы для деформации в виде дисков имели диаметр 5 мм и толщину 0.3 мм. Плоскость образцов никеля соответствовала плоскости {111} монокристалла, образцы сплавов вырубали из отожженных нетекстурованных лент. Средний размер зерна составил около 20 мкм в сплавах Ni–2Cr, Ni–12.5Cr и 10 мкм в сплаве Ni–5Cr. Деформацию осуществляли методом “сдвиг под давлением” (СПД) при комнатной температуре поворотом наковальни на 10 оборотов. Приложенное давление составляло 8 ГПа, скорость вращения наковальни – 1 об/мин. Истинная деформация (е), рассчитанная в соответствии с методикой, изложенной в работе [13], на расстоянии 1.5 мм от центра образца составила 9.0–9.4.
Изотермический отжиг деформированных образцов проводили в вакуумной печи в течение 1 ч. Температуру отжига изменяли от 200 до 600°С с шагом 100°С. В никеле максимальная температура отжига составляла 350°С.
Твердость сплавов после деформации и после отжига измеряли на приборе ПMТ-3 при нагрузке 0.5 Н по двум взаимноперпендикулярным диаметрам образца (шаг 0.25 мм). Погрешность измерения твердости составляла 5%.
Микроструктуру исследовали на сканирующих электронных микроскопах QUANTA 200 Philips (Нидерланды) и Tescan MIRA LMS (Чехия), оснащенных приставкой для анализа картин дифракции обратно рассеянных электронов (EBSD), и просвечивающем электронном микроскопе JEM200CX (Япония). Сканирующая электронная микроскопия (СЭМ) позволила исследовать микроструктуру на расстоянии 1.0 – 1.5 мм от центра образцов, а просвечивающая – на расстоянии 1.5 ± 0.2 мм. С помощью ПЭМ методом обратных диаметров определяли размеры микрокристаллитов, зародышей рекристаллизации и мелких рекристаллизованных зерен (менее 5 мкм). Использовали как светлопольные, так и темнопольные изображения в рефлексе типа {111}. Погрешность определения составила менее 10%. Для определения среднего размера рекристаллизованного зерна по данным СЭМ использовали метод эквивалентных диаметров.
РЕЗУЛЬТАТЫ ИССЛЕДОВАНИЯ
Исследование микроструктуры показало, что реализованная деформация обеспечила формирование СМК-структуры как в никеле, так и во всех исследованных сплавах. СМК-структура образована упругоискаженными микрокристаллитами, разориентированными на большие углы (рис. 1а). Следует отметить, что в никеле и в сплаве с минимальным содержанием хрома наблюдаются отдельные микрокристаллиты, содержащие субструктуру с малоугловыми разориентировками (рис. 1б). На рис. 1в приведена зависимость среднего размера микрокристаллитов от содержания хрома в СМК-сплавах. Видно, что легирование 2% Cr практически не влияет на средний размер элементов структуры (d=140 нм). В сплаве, содержащем 5% Cr, средний размер уменьшился до 100 нм, а в сплаве с 12.5% Cr составил 80 нм.
Рис. 1. Микроструктура сплавов Ni–12.5Cr (а) и Ni–2Cr (б) после деформации СПД и зависимость среднего размера микрокристаллитов от содержания хрома (в); а, б – темнопольные изображения в рефлексе типа (111)γ, ПЭМ.
Характер изменения твердости исследованных сплавов в результате легирования, деформации, приводящей к формированию СМК-структуры, и отжига при различных температурах показан на рис. 2. Видно, что легирование хромом приводит к повышению твердости сплавов. Эта закономерность сохраняется и после деформации. Твердость СМК-сплавов, независимо от содержания хрома, превышает твердость соответствующего исходного сплава примерно на 3 ГПа.
Рис. 2. Влияние легирования хромом на твердость никеля при деформации СПД и последующем отжиге.
Отжиг при 200°С не привел к изменению твердости деформированного сплава Ni–2Cr, в то время как в никеле твердость в результате такого отжига понизилась более чем в 2 раза. Исследование микроструктуры показало, что отжиг при 200°С приводит к завершению рекристаллизации СМК-никеля с формированием микроструктуры со средним размером зерна ~3 мкм, но размер отдельных зерен превышает 30 мкм (рис. 3а). Таким образом, формирующаяся в никеле структура характеризуется высокой размерной неоднородностью. В сплаве Ni–2Cr при этой температуре первичная рекристаллизация только начинается. Она развивается путем роста отдельных микрокристаллитов на фоне СМК-матрицы (рис. 3б). Средний размер микрокристаллитов практически не меняется, как и после деформации, в некоторых зернах наблюдается субструктура. Наиболее крупные растущие зерна имеют размер 0.6 мкм.
Рис. 3. Микроструктура никеля (а) и сплава Ni–2Cr (б) после деформации СПД и отжига при 200°С, 1 ч; а – EBSD-карта зерен в произвольных цветах, СЭМ; б – темнопольное изображение в рефлексе типа (111)γ, ПЭМ.
В результате отжига при 300°С твердость никеля упала практически до исходного (до деформации) значения и после отжига при 350°С больше не снижалась. Во всех исследованных сплавах твердость снижается существенно меньше (рис. 2). В сплаве с максимальным содержанием хрома понижение твердости минимальное, около 1 ГПа. Эти изменения твердости согласуются со структурными изменениями (рис. 4).
Рис. 4. Микроструктура (а, в) и гистограмма распределения зерен по углам разориентировки (б) сплава Ni–2Cr и микроструктура сплавов Ni–5Cr (г) и Ni–12.5Cr (д) после деформации СПД и отжига при 300°С, 1 ч; а – EBSD-карта зерен в произвольных цветах, СЭМ; в, г – светлопольные изображения, ПЭМ.
В сплаве Ni–2Cr рекристаллизация при 300°С практически завершилась (рис. 4а), но на распределении границ по углам разориентировки наблюдается малоугловой максимум (рис. 4б). ПЭМ-исследование показывает, что в структуре еще остаются небольшие нерекристаллизованные участки (рис. 4в). В сплаве Ni–2Cr в отличие от никеля средний размер рекристаллизованного зерна не превышает 1 мкм.
В сплавах с большим содержанием хрома рекристаллизация запаздывает: в сплаве Ni–5Cr на фоне СМК-матрицы наблюдаются отдельные крупные (до 2.3 мкм) зерна (рис. 4г), при этом отношение максимального к среднему размеру зерна (dмакс/dср) близко к 7, а в сплаве Ni–12.5Cr только оформляются центры рекристаллизации (рис. 4д).
Увеличение температуры отжига до 400°С приводит к дальнейшему снижению твердости, более сильному в сплаве с 2% Cr. В сплаве с содержанием хрома 12.5% изменение твердости незначительное – не выходит за пределы погрешности измерения. Такой отжиг в сплаве Ni–2Cr привел к значительному росту отдельных рекристаллизованных зерен при сохранении небольших участков нерекристаллизованной матрицы (рис. 5а, б). Отдельные рекристаллизованные зерна достигают 100 мкм при среднем размере зерна менее 5 мкм, т. е. отношение dмакс/dср превышает 20. В сплаве Ni–5Cr по данным СЭМ рекристаллизация завершена (рис. 5в), однако данные ПЭМ показывают наличие нерекристаллизованной структуры (рис. 5г).
Рис. 5. Микроструктура сплава Ni–2Cr (а, б), Ni–5Cr (в, г) и Ni–12.5Cr (д) после деформации СПД и отжига при 400°С, 1 ч; а, в – EBSD-карты зерен в произвольных цветах, СЭМ; б, г, д – светлопольные изображения, ПЭМ.
Отношение dмакс/dср в этом сплаве составляет 15. В сплаве Ni–12.5Cr рекристаллизация находится на стадии роста отдельных зерен (рис. 5д). Такой же характер структуры сохраняется в этом сплаве и после отжига при 500°С. Отдельные более крупные рекристаллизованные зерна имеют размер около 1.8 мкм при среднем размере элементов структуры 0.24 мкм (dmax/dср =6).
Микроструктура сплава Ni–5Cr после отжига при 500 и 600°С представлена на рис. 6. Видно, что рекристаллизация практически завершилась. В структуре наблюдается множество двойников отжига, многие зерна формируют уравновешенные тройные стыки. Но на ПЭМ-изображении наблюдаются отдельные микрокристаллиты, “зажатые” между рекристаллизованными зернами. В сплаве Ni–12.5Cr подобная структура наблюдается только после отжига при 600°C. Средний размер зерен согласно ПЭМ-исследованию составляет 1 мкм. В то же время СЭМ-исследование показывает, что средний размер элементов структуры в сплавах Ni–5Cr и Ni–12.5Cr после СПД и отжига при 600°С составляет 1.2–1.8 мкм, а отношение dmax/dср – 4–5.
Рис. 6. Микроструктура сплава Ni–5Cr (а–г) и Ni–12.5Cr (д, е) после деформации СПД и отжига при 500°С (а, б) и 600°С (в–е), 1 ч; а, в, д – EBSD-карты зерен в произвольных цветах, СЭМ, б, г, е – светлопольные изображения, ПЭМ.
ОБСУЖДЕНИЕ РЕЗУЛЬТАТОВ
Термическую стабильность СМК-материала можно оценить, используя разные критерии. В работе [3] стабильность СМК-никеля в зависимости от содержания легирующих элементов определяли по изменению твердости при отжиге. Применение данного критерия к результатам настоящей работы показывает, что легирование никеля 2% хрома приводит к повышению температуры начала разупрочнения СМК-никеля на 100°С (до 300°С, рис. 2). Максимальной стабильностью обладает сплав Ni–12.5Cr, кардинальное падение твердости которого (практически в 2 раза) происходит только в результате отжига при 600°С. Однако отжиг при 300°С уже приводит к заметному разупрочнению: снижение твердости сплава Ni–12.5Cr составляет ~20%, а сплава Ni–5Cr – 40%. Кроме того, в сплаве Ni–12.5Cr изменение твердости при отжиге немонотонно: после отжига при 500°С наблюдается ее небольшой рост. Такой рост может быть вызван, например, сегрегацией атомов Cr по границам зерен, обусловленной ускоренной диффузией по границам микрокристаллитов [14]. Методы структурного анализа не позволяют зафиксировать наличие сегрегаций. В работе [15] теоретически показано, что наличие примесных атомов на границах влияет на энергию активации и температуру начала рекристаллизации. Поэтому следует принять во внимание другие критерии термической стабильности: температуру начала рекристаллизации, температуру начала быстрого роста зерен и размерную однородность структуры. Для СМК-материалов также важна максимальная температура, при которой еще сохраняется субмикронный размер зерна.
Анализ структуры показал, что в сплаве Ni–2Cr первые центры рекристаллизации оформляются из сформировавшихся при деформации микрокристаллитов уже при 200°С. Но рекристаллизация охватывает большой объем материала только при 300°С (рис. 4). Поэтому температуру начала рекристаллизации этого сплава можно считать близкой к 300°С. С увеличением содержания хрома до 5% при данной температуре отдельные центры рекристаллизации достигают размеров более 2 мкм. Следует отметить, что и после отжиге в течение 1 ч при более высокой температуре (400°С) в сплаве Ni–5Cr рекристаллизация еще не завершена, доля рекристаллизованной структуры приближается к 90%. В сплаве с максимальным содержанием хрома 12.5% температура начала рекристаллизации увеличивается до 400°С, и доля рекристаллизованной структуры не превышает 20% (рис. 5).
Изменение среднего размера зерна при отжиге приведено на рис. 7. Видно, что температура начала быстрого роста зерна для никеля составляет 200°С, для сплавов: Ni–2Cr – 400°С, Ni–5Cr – 500°С, Ni–12.5Cr – 600°С. Таким образом, согласно этому критерию, повышение содержания легирующего элемента приводит к непрерывному повышению термической стабильности СМК-сплава. Анализ стабильности структуры с позиций сохранения субмикронного размера зерна приводит к аналогичным выводам.
Рис. 7. Влияние легирования хромом на средний размер зерна никеля после СПД-деформации и отжига.
Важным критерием термической стабильности зеренной структуры служит размерная однородность. Для ее оценки обычно используют коэффициент вариации линейных размеров (отношение среднеквадратичного отклонения к среднему размеру зерна) или отношение максимального размера к среднему размеру зерна. Коэффициент вариации (К) однородной по размеру структуры близок к 0.5, значение К больше или равное 1 свидетельствует о размерной неоднородности структуры. Согласно [16], при соотношении dмакс/dср больше 5 структура склонна к вторичной рекристаллизации, что указывает на ее низкую термическую стабильность.
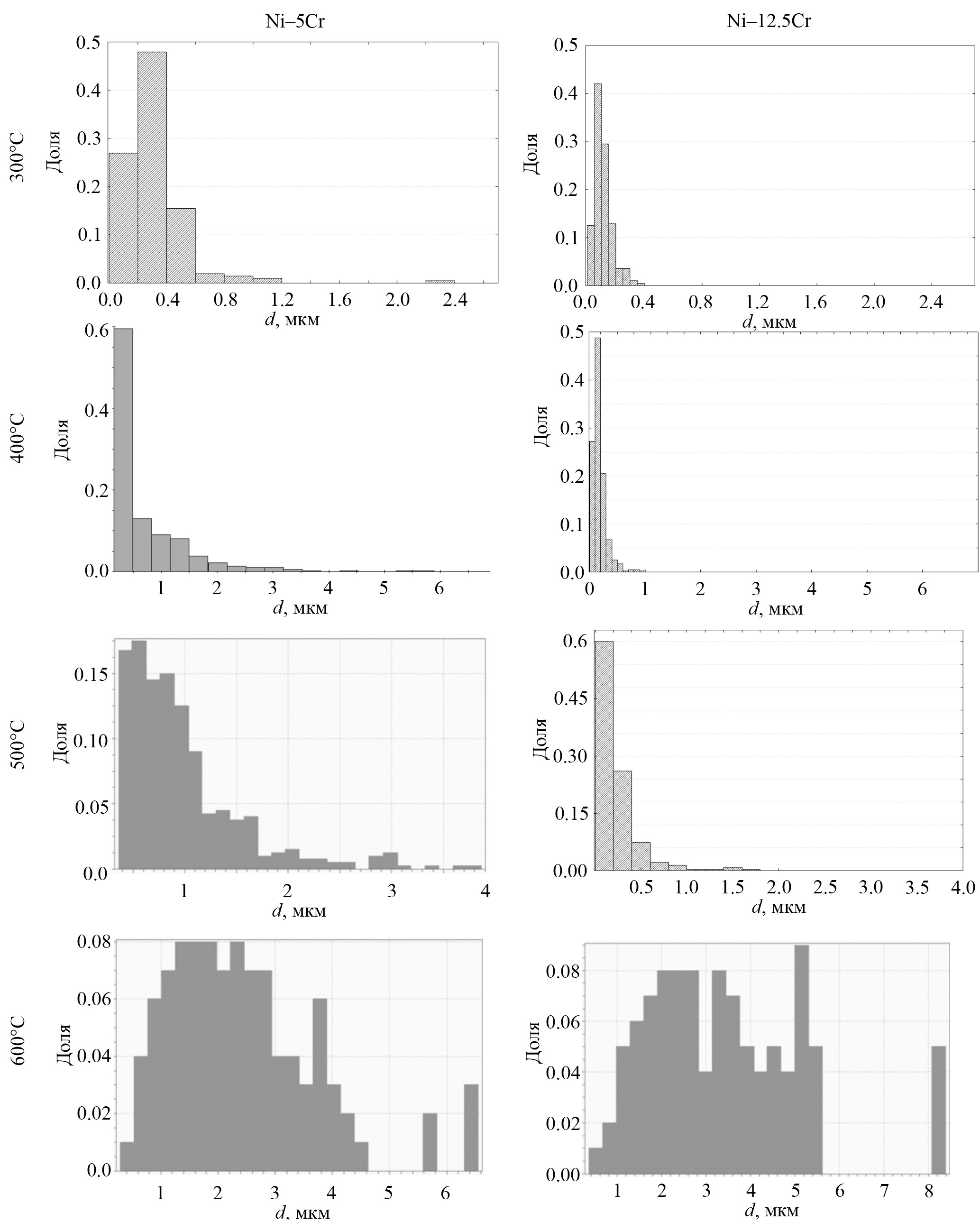
На рис. 8, рис. 9 приведены гистограммы распределения зерен по размерам для исследованных материалов, а в таблице значения dср, К и dмакс/dср. Гистограммы, полученные для никеля и сплава Ni–2Cr (рис. 8), одномодальные, но на них наблюдаются “хвосты” в области больших размеров, которые соответствуют отдельным крупным зернам. Наибольшие размеры зерен были зафиксированы в сплаве Ni–2Cr после отжига при 400°С. В сплаве с малым содержанием хрома показатели однородности структуры оказались даже хуже, чем в никеле (см. табл.). Следовательно, такое легирование (2%) отрицательно влияет на термическую стабильность СМК-материала с точки зрения однородности структуры.
Рис. 8. Гистограммы распределения зерен по размерам в Ni (а) и сплаве Ni–2Cr (б–г) после деформации СПД и отжига при 200°С (а, б); 300°С (в); 400°С (г).
Рис. 9. Гистограммы распределения зерен по размерам в сплавах Ni–5Cr и Ni–12.5Cr после деформации СПД и отжига при 300–600°С.
Легирование большим количеством хрома (5 и 12.5%) не позволяет избежать опережающего роста отдельных зерен, о чем свидетельствуют “хвосты” на гистограммах распределения зерен по размерам (в сплаве Ni–5Cr после отжига при 300–500°С, а в сплаве Ni–12.5Cr при 400, 500°С). При этом неоднородность структуры с ростом температуры отжига в обоих сплавах сначала усиливается, а затем имеет тенденцию к ослаблению (см. табл. 1). После отжига при 600°С пик распределения смещается в сторону больших размеров, а на месте “хвоста” распределения формируется второй пик, расположенный, однако, близко к основному. Таким образом, хотя распределение и приобретает бимодальную форму, согласно данным таблицы, при этой температуре отжига вторичная рекристаллизация в обоих сплавах не развивается.
Таблица 1. Характеристики однородности структуры исследованных материалов после СПД-деформации и отжига
Т, °С | 200 | 300 | 400 | 500 | 600 | ||||||||||
К | dмакс/ dср | dср, мкм | К | dмакс/ dср | dср, мкм | К | dмакс/ dср | dср, мкм | К | dмакс/ dср | dср, мкм | К | dмакс/ dср | dср, мкм | |
Ni | 1.3 | 12 | 1 | 8 | 3.2 | – | – | – | – | – | – | – | – | ||
Ni–2Cr | 0.7 | 4 | 0.16 | 1.7 | 20 | 0.3 | 1.1 | 23 | 4.3 | – | – | – | – | – | – |
Ni–5Cr | – | – | – | 0.7 | 8 | 0.3 | 1 | 15 | 0.4 | 0.6 | 4 | 1.0 | 0.7 | 5 | 1.2 |
Ni–12.5Cr | – | – | 0.5 | 3 | 0.11 | 0.7 | 6 | 0.18 | 1 | 8 | 0.24 | 0.7 | 4 | 1.8 | |
Сопоставление данных рис. 8 и рис. 9 показало, что чем больше содержание хрома в сплаве Ni–Cr, тем медленнее растут первые отдельные зерна, и тем меньше они по размеру при одинаковой степени развития рекристаллизации. Таким образом, хотя легирование хромом и не препятствует опережающему росту отдельных зерен на начальном этапе рекристаллизации, но позволяет получить в отожженных сплавах Ni–5Cr и Ni–12.5Cr мелкозернистую рекристаллизованную структуру за счет торможения движения границ сегрегациями атомов Cr. Средний размер зерна в этих сплавах после отжига при 600°С, 1 ч составляет менее 2 мкм, максимальный – менее 10 мкм.
ВЫВОДЫ
Для установления влияния содержания хрома на термическую стабильность однофазных СМК-сплавов системы Ni–Cr проанализировано изменение при отжиге твердости, размера зерна и однородности рекристаллизованной структуры при изменении концентрации хрома от 2 до 12.5 ат.%. Получены следующие результаты.
- Легирование никеля хромом приводит к повышению температуры начала рекристаллизации деформированного сплава с СМК-структурой на 150–250°С. Температура начала рекристаллизации сплавов Ni–2Cr и Ni–5Cr составляет 300°C, а сплава Ni–12.5Cr – 400°С. Температура начала интенсивного роста зерна с повышением содержания хрома увеличивается от 200°С в никеле до 400, 500 и 600°C в сплавах Ni–2Cr, Ni–5Cr и Ni–12.5Cr соответственно.
- В исследованных СМК-сплавах никель–хром рекристаллизация, как и в чистом никеле, развивается путем опережающего роста отдельных центров. Увеличение содержания хрома в сплаве от 2 до 12.5 ат.% способствует уменьшению размера зерна и повышению размерной однородности рекристаллизованной структуры.
- Опережающий рост отдельных зерен на начальном этапе рекристаллизации не препятствует получению в сплавах Ni–5Cr и Ni–12.5Cr после деформации СПД с е=9 и отжига при 600°С, 1 ч однородной мелкозернистой рекристаллизованной структуры. Структура характеризуется параметрами: средний размер зерна менее 2 мкм, максимальный – менее 10 мкм, коэффициент вариации линейных размеров 0.7, отношение максимального размера к среднему размеру зерна 4–5.
Работа выполнена в рамках государственного задания МИНОБРНАУКИ России (тема “Давление”, № 122021000032-5). Работа выполнена с использованием оборудования ЦКП “Испытательный центр нанотехнологий и перспективных материалов” ИФМ УрО РАН. Авторы благодарят В.П. Пилюгина за проведение деформации.
Авторы данной работы заявляют, что у них нет конфликта интересов.
About the authors
K. Yu. Karamyshev
M.N. Miheev Institute of Metal Physics of Ural Branch of Russian Academy of Sciences
Author for correspondence.
Email: highpress@imp.uran.ru
Russian Federation, Ekaterinburg, 620108
L. M. Voronova
M.N. Miheev Institute of Metal Physics of Ural Branch of Russian Academy of Sciences
Email: highpress@imp.uran.ru
Russian Federation, Ekaterinburg, 620108
T. I. Chashchukhina
M.N. Miheev Institute of Metal Physics of Ural Branch of Russian Academy of Sciences
Email: highpress@imp.uran.ru
Russian Federation, Ekaterinburg, 620108
M. V. Degtyarev
M.N. Miheev Institute of Metal Physics of Ural Branch of Russian Academy of Sciences
Email: highpress@imp.uran.ru
Russian Federation, Ekaterinburg, 620108
References
- Горелик С.С., Добаткин С.В., Капуткина Л.М. Рекристаллизация металлов и сплавов. М.: Изд-во МИСиС, 2005. 431 с.
- Zhang H.W., Huang X., Pippan R., Hansen N. Thermal behavior of Ni (99.967% and 99.5% purity) deformed to an ultra-high strain by high pressure torsion. Acta Mater. 2010. V. 58. P. 1698–1707.
- Zhang N., Gunderov D., Yang T.T., Cai X.C., Jia P., Shen T.D. Influence of alloying elements on the thermal stability of ultra-fine-grained Ni alloys // J. Mater. Sci. 2019. V. 54. P. 10506–10515.
- Koch C.C., Scattergood R.O., Darling K.A., Semones J.E. Stabilization of nanocrystalline grain sizes by solute additions // J. Mater. Sci. 2008. V. 43. P. 7264–7272.
- Дегтярев М.В., Воронова Л.М., Губернаторов В.В., Чащухина Т.И. О термической стабильности микрокристаллической структуры в однофазных металлических материалах // ДАН. 2002. Т. 386. № 2. С. 180–183.
- Weissmiiller J. Alloy effects in nanostructures // Nanostruct Mater. 1993. V. 3. P. 261–272.
- Dudova N., Belyakov A., Kaibyshev R. Recrystallization behavior of a Ni-20%Cr alloy subjected to severe plastic deformation // Mater. Sci. Eng. A. 2012. V. 543. P. 164–172.
- Voronova L.M., Degtyarev M.V., Chashchukhina T.I., Krasnoperova Yu.G., Resnina N.N. Effect of dynamic recovery on structure formation in nickel upon high-pressure torsion and subsequent annealing // Mater. Sci. Eng. A. 2015. V. 639. Р. 155–164.
- Карамышев К.Ю. Термическая стабильность субмикрокристаллической структуры, сформированной методом “сдвиг под давлением” в Ni и сплаве Ni-2%Cr // Frontier Mater. & Techn. 2023. № 4. С. 41–51.
- Keskar Nachiket, Mani Krishna K.V., Gupta Chiradeep, Singh J.B., Tewari R. The effect of Cr content on the microstructural and textural evolution and the mechanical properties of Ni-Cr binary alloys // Mater. Today Comm. 2022. V. 33. P. 104831.
- Родионов Д.П., Гервасьева И.В., Хлебникова Ю.В. Текстурованные подложки из никелевых сплавов. Екатеринбург: РИО УрО РАН, 2012. 110 с.
- Ustinovshikov Y. Phase transformations in alloys of the Ni–Cr system // J. Alloys Compounds. 2012. V. 543. P. 227–232.
- Чащухина Т.И., Воронова Л.М., Дегтярев М.В., Покрышкина Д.К. Деформация и динамическая рекристаллизация в меди при разной скорости деформирования в наковальнях Бриджмена // ФММ. 2011. Т. 111. № 3. С. 315–324.
- Осинников Е.В., Мурзинова С.А., Истомина А.Ю., Попов В.В., Столбовский А.В., Фалахутдинов Р.М. Зернограничная диффузия 57Co в ультрамелкозернистом никеле, полученном интенсивной пластической деформацией // ФММ. 2021. Т. 122. № 10. С. 1049–1053.
- Сахаров Н.В., Чувильдеев В.Н. Исследование влияния примесей на первичную рекристаллизацию в чистых металлах // ФММ. 2022. Т. 123. № 8. С. 851–858.
- Новиков В.Ю. Вторичная рекристаллизация. М.: Металлургия, 1990. 128 с.
Supplementary files











