Features of the spectrum of exchange spin waves in planar Fe Ni/Dy/Fe Ni composites in the temperature range 4–300 K
- Authors: Iskhakov R.S.1, Vazhenina I.G.1, Stolyar S.V.2, Yakovchuk V.Y.1
 - 
							Affiliations: 
							
- Kirensky Institute of Physics, Federal Research Center KSC SB RAS
 - Federal Research Center "Krasnoyarsk Science Center of the Siberian Branch of the Russian Academy of Sciences"
 
 - Issue: Vol 126, No 2 (2025)
 - Pages: 160-168
 - Section: ЭЛЕКТРИЧЕСКИЕ И МАГНИТНЫЕ СВОЙСТВА
 - URL: https://journals.rcsi.science/0015-3230/article/view/274423
 - DOI: https://doi.org/10.31857/S0015323025020042
 - EDN: https://elibrary.ru/AYZFHT
 - ID: 274423
 
Cite item
Abstract
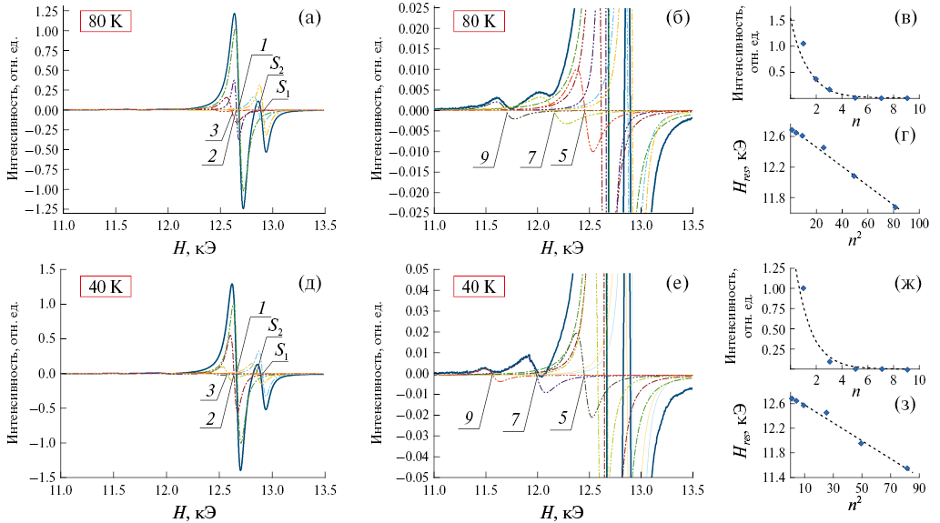
The spin-wave resonance in a magnetic planar composite FeNi/Dy/FeNi on exchange spin waves with a wave vector along the normal to the surface in the temperature range of 4–290 K. It is established that in the region of 90–290 K, resonant absorption of high-frequency field energy is observed on individual layers of FeNi; the coupling of ferromagnetic layers is manifested in the appearance of optical satellites in acoustic spin-wave modes, the field coordinates of optical satellites indicate a positive interlayer coupling. A single spin-wave spectrum of a planar nanocomposite is observed in the 4–85 K region, which made it possible to measure the values of spin-wave stiffness for it. The features of the spin-wave spectrum are due to modifications of the magnetic structure of Dy and a change in the temperature of the dominant interaction of REM/PM on interfaces.
Full Text
About the authors
R. S. Iskhakov
Kirensky Institute of Physics, Federal Research Center KSC SB RAS
														Email: irina-vazhenina@mail.ru
				                					                																			                												                	Russian Federation, 							Krasnoyarsk						
I. G. Vazhenina
Kirensky Institute of Physics, Federal Research Center KSC SB RAS
														Email: irina-vazhenina@mail.ru
				                					                																			                												                	Russian Federation, 							Krasnoyarsk						
S. V. Stolyar
Federal Research Center "Krasnoyarsk Science Center of the Siberian Branch of the Russian Academy of Sciences"
							Author for correspondence.
							Email: irina-vazhenina@mail.ru
				                					                																			                								
Russian Federation, Krasnoyarsk
V. Yu. Yakovchuk
Kirensky Institute of Physics, Federal Research Center KSC SB RAS
														Email: irina-vazhenina@mail.ru
				                					                																			                												                	Russian Federation, 							Krasnoyarsk						
References
- Kuanr B.K., Kuanr A.V., Grünberg P., Nimtz G. Swept-frequency FMR on Fe/Cr/Fe trilayer ultrathin films; microwave giant magnetoresistance // Phys. Lett. A. 1996. V. 221. P. 245–252.
 - Corrêa M.A., Bohn F., da Silva R.B., Sommer R.L. Magnetoimpedance effect at the high frequency range for the thin film geometry: Numerical calculation and experiment // J. Appl. Phys. 2014. V. 116. P. 243904.
 - Kurlyandskaya G.V., Fernández E., Svalov A., Burgoa Beitia A., García-Arribas A., Larrañaga A. Flexible thin film magnetoimpedance sensors // J. Magn. Magn. Mater. 2016. V. 415. P. 91–96.
 - Gardner D.S., Schrom G., Paillet F., Jamieson B., Karnik T., Borkar S. Review of On-Chip Inductor Structures With Magnetic Films // IEEE Trans. Magn. 2009. V. 45. P. 4760–4766.
 - Zhang Z., Zhou L., Wigen P.E., Ounadjela K. Angular dependence of ferromagnetic resonance in exchange-coupled Co/Ru/Co trilayer structures // Phys. Rev. B. 1994. V. 50. P. 6094–6112.
 - Poimanov V.D., Kuchko A.N., Kruglyak V.V. Scattering of exchange spin waves from a helimagnetic layer sandwiched between two semi-infinite ferromagnetic media // Phys. Rev. B. 2020. V. 102. P. 104414.
 - Zhang Y., Wu G., Ji Z., Chen X., Jin Q.Y., Zhang Z. Significant and Nonmonotonic Dynamic Magnetic Damping in Asymmetric Co-Fe/ Ru/ Co-Fe thrilayers // Phys. Rev. Appl. 2022. V. 17. P. 034033.
 - Naumova L.I., Milyaev M.A., Zavornitsyn R.S., Krinitsina T.P., Proglyado V.V., Ustinov V.V. Spin valve with a composite dysprosium-based pinned layer as a tool for determining Dy nanolayer helimagnetism // Curr. Appl. Phys. 2019. V. 19. P. 1252–1258.
 - Herz R., Kronmüller H. Field-induced magnetic phase transitions in dysprosium // J. Magn. Magn. Mater. 1978. V. 9. P. 273–275. https://doi.org/10.1016/0304-8853(78)90069-0
 - Dumesnil K., Dufour C., Mangin P., Marchal G., Hennion M. Magnetic structure of dysprosium in epitaxial Dy films and in Dy/Er superlattices // Phys. Rev. B. 1996. V. 54. P. 6407–6420.
 - Исхаков Р.С., Мороз Ж.М., Чеканова Л.А., Шалыгина Е.Е., Шепета Н.А. Ферромагнитный и спин-волновой резонанс в мультислойных пленках Co/Pd/CoNi // ФТТ. 2003. Т. 45. С. 846–851.
 - Исхаков Р.С., Середкин В.А., Столяр С.В., Чеканова Л.А., Яковчук В.Ю. Спин-волновой резонанс в трехслойных пленках NiFe/DyxCo1-x/NiFe как метод регистрации неоднородностей структуры аморфных слоев DyxCo1-x // Письма в ЖЭТФ. 2002. Т. 76 (11). С. 779–783.
 - Корчагин Ю.А., Хлебопрос Р.Г., Чистяков Н.С. Спектр спин-волнового резонанса в тонком ферромагнитном слое со смешанными граничными условиями // ФТТ. 1972. Т. 14 (7). С. 2121–2123.
 - Корчагин Ю.А., Хлебопрос Р.Г., Чистяков Н.С. Спин-волновой резонанс в магнитных пленках с дополнительными поверхностными слоями // ФММ. 1972. Т. 34(6). С. 1303–1305.
 - Puszkarski H., Tomczak P. Spin-wave resonance as a tool for probing surface anisotropies in ferromagnetic thin films: Application to the study of (Ga,Mn)As // Surf. Sci. Rep. 2017. V. 72. P. 351–367.
 - Puszkarski H., Tomczak P., Diep H.T. Surface anisotropy energy in terms of magnetocrystalline anisotropy fields in ferromagnetic semiconductor (Ga,Mn)As thin films // Phys. Rev. B. 2016. V. 94. P. 195303.
 - Poimanov V.D., Kuchko A.N., Kruglyak V.V. Magnetic interfaces as sources of coherent spin waves // Phys. Rev. B. 2018. V. 98. P. 104418.
 - Camley R.E., Stamps R.L. Magnetic multilayers: spin configurations, excitations and giant magnetoresistance // J. Phys. Condens. Matter. 1993. V. 5. P. 3727–3786.
 - Layadi A., Artman J.O. Ferromagnetic resonance in a coupled two-layer system // J. Magn. Magn. Mater. 1990. V. 92. P. 143–154.
 - Bloemen P.J.H., van Kesteren H.W., Swagten H.J.M., de Jonge W.J.M. Oscillatory interlayer exchange coupling in Co/Ru multilayers and bilayers // Phys. Rev. B. 1994. V. 50. P. 13505–13514.
 - Ando Y., Koizumi H., Miyazaki T. Exchange coupling energy determined by ferromagnetic resonance in 80Ni-Fe/Cu multilayer films // J. Magn. Magn. Mater. 1997. V. 166. P. 75–81.
 - Heinrich B., Cochran J.F., Kowalewski M., Kirschner J., Celinski Z., Arrott A.S., Myrtle K. Magnetic anisotropies and exchange coupling in ultrathin fcc Co(001) structures // Phys. Rev. B. 1991. V. 44. P. 9348–9361.
 - Fullerton E.E., Stoeffler D., Ounadjela K., Heinrich B., Celinski Z., Bland J.A.C. Structure and magnetism of epitaxially strained Pd(001) films on Fe(001): Experiment and theory // Phys. Rev. B. 1995. V. 51. P. 6364–6378.
 - Celinski Z., Heinrich B. Exchange coupling in Fe/Cu, Pd, Ag, Au/Fe trilayers // J. Magn. Magn. Mater. 1991. V. 99. P. L25–L30.
 - Мещеряков В.Ф. Резонансные моды слоистых ферромагнетиков в поперечном магнитном поле // Письма в ЖЭТФ. 2002. T. 76(12). C. 836–839.
 - Romano J., da Silva E., Schelp L., Schmidt J., Meckenstock R., Pelzl J. Effects of Ar-ion implantation and thermal treatment on magnetic properties of Co/Pd multilayers: a ferromagnetic resonance study // J. Magn. Magn. Mater. 1999. V. 205. P. 161–169.
 - Ajan A., Prasad S., Krishnan R., Venkataramani N., Tessier M. Ferromagnetic resonance spectra in Co/Nb multilayers with large Co thickness // J. Appl. Phys. 2002. V. 91. P. 1444–1452.
 - Исхаков Р.С., Столяр С.В., Чеканова Л.А., Яковчук В.Ю., Чижик М.В. Ферромагнитный и спин-волновой резонансы в трехслойных обменно-связанных структурах NiFe/Cu/NiFe // Изв. РАН. Сер. Физическая. 2011. T. 75 (2). C. 197–199.
 - Исхаков Р.С., Столяр С.В., Чижик М.В., Чеканова Л.А., Яковчук В.Ю. Спин-волновой резонанс в структурах NiFe/DyxCo1-x/NiFe с положительной величиной обменного взаимодействия между ферромагнитными слоями // J. SFU. Mathem. & Phys. 2012. T. 5 (3). C. 370–381.
 - Важенина И.Г., Столяр С.В., Яковчук В.Ю., Исхаков Р.С. Спин-волновой резонанс в обменно-связанных трехслойных FeNi/Cu/FeNi планарных структурах // ФТТ. 2021. T. 63 (12). C. 2106–2115.
 - Yalçın O., Ünlüer Ş., Kazan S., Özdemir M., Öner Y. Temperature evolution of magnetic properties for (Cu/Co)60/Fe multilayer // J. Magn. Magn. Mater. 2015. V. 373. P. 144–150.
 - Alayo W., Landi Jr.S., Pelegrini F., Baggio-Saitovitch E. Ferromagnetic resonance study of structure and relaxation of magnetization in NiFe/Ru superlattices // J. Magn. Magn. Mater. 2014. V. 350. C. 100–106.
 - Belmeguenai M., Martin T., Woltersdorf G., Maier M., Bayreuther G. Frequency- and time-domain investigation of the dynamic properties of interlayer-exchange-coupled Ni81Fe19/Ru/ Ni81Fe19 // Phys. Rev. B. 2007. V. 76. P.104414.
 - Kittel C. Excitation of Spin Waves in a Ferromagnet by a Uniform rf Field // Phys. Rev. 1958. V. 110. P. 1295–1297.
 - Важенина И.Г., Исхаков Р.С., Яковчук В.Ю. Особенности угловых зависимостей параметров спектров ферромагнитного и спин-волнового резонанса // ФММ. 2022. Т. 123 (11). С. 1153–1160.
 - Важенина И.Г., Исхаков Р.С., Чеканова Л.А. Спин-волновой резонанс в химически осажденных Fe-Ni пленках: измерения спин-волновой жесткости и константы поверхностной анизотропии // ФТТ. 2018. T. 60 (2). C. 287–293.
 - Важенина И.Г., Столяр С.В., Яковчук В.Ю., Рауцкий M.В., Исхаков Р.С. Температурные зависимости межслойной обменной константы трехслойных пленок FeNi/Dy/FeNi, исследованные динамическим методом // Письма в ЖТФ. 2022. Т. 48 (10). С. 8–11.
 
Supplementary files
				
			
					
						
						
						
						
				











