Механические и магнитные свойства хромоникелевой мартенситностареющей стали 04Х13Н8МТЮ–ВИ
- Авторы: Мазничевский А.Н.1, Сприкут Р.В.1, Кибардин А.С.2, Фирсов А.А.2
-
Учреждения:
- ООО “Ласмет”
- АО “НИИЭФА”
- Выпуск: Том 125, № 1 (2024)
- Страницы: 3-9
- Раздел: ЭЛЕКТРИЧЕСКИЕ И МАГНИТНЫЕ СВОЙСТВА
- URL: https://journals.rcsi.science/0015-3230/article/view/259686
- DOI: https://doi.org/10.31857/S0015323024010016
- EDN: https://elibrary.ru/ZRVELZ
- ID: 259686
Цитировать
Полный текст
Аннотация
Актуальность задачи создания новых высокоскоростных магнитоэлектрических моторов и генераторов требует наличия высокопрочных материалов с определенными магнитными характеристиками. Рассмотрена возможность применения мартенситностареющих сталей, в частности, стали 04Х13Н8МТЮ–ВИ разработки ООО “Ласмет”, в качестве полюсов ротора высокооборотных электрических машин с постоянными магнитами, вследствие благоприятного сочетания механических свойств, повышенной коррозионной стойкости и ударной вязкости этой стали. Исследованы механические и магнитные свойства стали 04Х13Н8МТЮ–ВИ. Несмотря на то, что максимальное значение магнитной проницаемости у стали 04Х13Н8МТЮ–ВИ в разы ниже, чем у конструкционных сталей 3 и 30ХГСА, показано, что различие по величине электромагнитного момента двигателей с использованием разных сталей 30ХГСА и 04Х13Н8МТЮ–ВИ составляет менее 0.2%. С учётом более высоких прочностных свойств стали 04Х13Н8МТЮ–ВИ появляется потенциальная возможность повысить частоту вращения ротора на 25% по сравнению с ротором, изготовленным из 30ХГСА.
Полный текст
ВВЕДЕНИЕ
Промышленность все чаще сталкивается с необходимостью применения современных высокоскоростных магнитоэлектрических моторов и генераторов, имеющих высокие скорости вращения (вплоть до 120000 об/мин), что требует применения высокопрочных материалов, обладающих, наряду с механической прочностью, определенными магнитными характеристиками – это является весьма актуальной задачей, которой активно занимаются зарубежные исследователи [1–3]. Для роторов подобных изделий представляется целесообразным использовать высокопрочные мартенситностареющие стали (МСС), которые уже нашли широкое применение в различных отраслях промышленности за счёт благоприятного сочетания высокой прочности и вязкости. Стали этого класса применяются в авиастроении [4–5], космической отрасли [6], криогенной технике [7–8] и при изготовлении высокоточных инструментов [9].
МСС можно разделить на нержавеющие и коррозионно неустойчивые стали:
- нержавеющие МСС, как правило, содержат 10–14% хрома, 5–10% никеля, 0–10% кобальта в различных вариантах;
- классические (коррозионно неустойчивые) МСС содержат 18–25% никеля, молибден и кобальт в различных соотношениях, а также до 2% титана и алюминия;
- инструментальные МСС (коррозионно неустойчивые) высокой твердости (HRC ≥ 60) содержат 18–20% никеля, 18–20% кобальта, 4–6% молибдена, а также до 2% титана и алюминия.
По назначению МСС делятся на стали общего и специального назначения (нержавеющие, теплостойкие), а по уровню прочности различают:
- стали умеренной прочности (σв = 1000–2000 МПа) – это экономно легированные стали, не содержащие кобальт;
- высокопрочные стали (σв = 2000–3500 МПа);
- сверхвысокопрочные стали (σв ≥ 3500 МПа), которые содержат большое количество кобальта и молибдена.
В данной работе рассматривается сталь умеренной прочности, как соответствующая поставленной задаче по величине механической прочности и имеющая умеренную стоимость.
Необходимо отметить, что в случае необходимости потенциально возможно применение более прочных и дорогих МСС, но при условии подтверждения их магнитных характеристик.
Высокие механические и эксплуатационные свойства таких сталей достигаются за счёт характерной структуры низкоуглеродистого реечного мартенсита (α’-фазы), представляющего собой пересыщенный твёрдый раствор легирующих элементов в мартенсите. При последующем старении происходит выделение упрочняющих интерметаллидных включений, например: Ni3(Ti, Al), Fe2Mo и многих других в зависимости от состава стали.
Недавно специалистами ООО “Ласмет” была разработана новая МСС марки 04Х13Н8МТЮ [10], которая ещё недостаточно изучена. Целью настоящей работы является изучение механических и магнитных свойств стали 04Х13Н8МТЮ–ВИ и оценка возможности её использования в высокооборотных электрических машинах с постоянными магнитами. Выбор этой стали был также обусловлен потенциальной возможностью масштабирования освоенной технологии (при условии проведения дополнительных опытно-конструкторских работ) для получения поковок большого диаметра вплоть до 500 мм, что необходимо для крупных машин большой мощности, а также ее умеренной стоимостью.
МАТЕРИАЛ И МЕТОДИКА ИССЛЕДОВАНИЙ
Сталь выплавляли в вакуумно-индукционной печи с разливкой в слитки массой 1.28 т. Слитки подвергали горячей деформации на молотах и за несколько переделов получали кованую заготовку диаметром 80 мм.
Химический состав исследуемой стали представлен в табл. 1. Анализ проводили на оптико-эмиссионном спектрометре ARL 4460.
Таблица 1. Химический состав исследуемой стали, мас.%
Марка | C | Si | Mn | S | P | Cr | Ni | Mo | Ti | Al | Cu |
04Х13Н8МТЮ–ВИ | 0.014 | 0.18 | 0.06 | 0.009 | 0.006 | 12.60 | 8.00 | 0.96 | 0.48 | 0.37 | 0.15 |
Пределы по | ≤0.04 | ≤0.30 | ≤0.20 | ≤0.025 | ≤0.025 | 12.00– 14.00 | 7.50– 9.00 | 0.60– 1.00 | 0.30– 0.60 | 0.30– 0.60 | ≤0.20 |
Микроструктуру стали после электролитического травления в 10%-ном растворе щавелевой кислоты изучали с применением оптического микроскопа Neophot 2.
Механические свойства контролировали на образцах, термически обработанных по режиму: “закалка 900 °C, 25 мин., масло + старение 500 °C, 40 мин, воздух”. Испытания образцов проводили по ГОСТ 1497–84 с использованием испытательных машин: ИР 5047 и Instron 8802 на стандартных цилиндрических образцах с диаметром рабочей части 5 мм (тип II) и стандартных плоских образцах (тип I).
Для определения магнитных характеристик использовали методику измерений, требования к образцам и измерительной аппаратуре в соответствии с ГОСТ 8.377–80 и ГОСТ 12119.2–98. Измерения проводили с использованием аппаратно-программного комплекса, разработанного в “НИИЭФА им. Д.В. Ефремова” [11].
РЕЗУЛЬТАТЫ ИССЛЕДОВАНИЙ И ОБСУЖДЕНИЕ
Структура и механические свойства стали
Матричная структура кованой и термически обработанной стали являлась низкоуглеродистым реечным мартенситом (рис. 1).
Рис. 1. Структура стали 04Х13Н8МТЮ–ВИ, ×100: а) кованое (без термической обработки); б) закалка 900°С, 25 мин, масло + старение 500°С, 40 мин, воздух.
Закалка позволяет измельчить зерно за счёт фазовой перекристаллизации, а последующее старение приводит к выделению упрочняющих интерметаллидов. В данном случае удалось уменьшить величину зерна более чем в два раза от 125–150 мкм до 40–60 мкм.
Интерметаллидные соединения у подобных сталей представляют собой преимущественно частицы η-фазы – Ni3(Ti) или Ni3(Ti, Al), связанные с мартенситной матрицей ориентационными соотношениями: ; , а также частицы фаз Лавеса (Fe2Mo) [12].
Механические и пластические свойства разработанной стали подчиняются известной закономерности с тремя возможными стадиями: недостаривание, оптимальное старение и перестаривание. Температурно-временные условия получения равномерного распределения упрочняющих интереметаллидов для небольших сечений соответствуют старению при температуре 500 ± 10 °C с выдержкой в течение 40–60 минут и охлаждением на воздухе (табл. 2).
Таблица 2. Результаты испытаний механических свойств
Образец | σВ, МПа | σ0,2, МПа | δ, % | ψ, % |
Цилиндрический (тип II) | 1380 1365 | 1315 1305 | 12.5 15.0 | 51.0 59.0 |
Плоский (тип I) | 1315 | 1284 | 10.3 | – |
Вид характерной диаграммы растяжения испытанных образцов (тип I) представлен на рис. 2.
Рис. 2. Зависимость напряжения от деформации σ(ε) при растяжении образца 04Х13Н8МТЮ–ВИ.
Для контроля механических свойств стали выбрали два типоразмера образцов с целью верификации сходимости результатов, т. к. в случае массового производства контроль заготовки обычно проводится на цилиндрических образцах, а выборочных – контроль изделий на плоских образцах. Из полученных данных видно, что результаты контроля свойств в плоских образцах имеют более низкие значения (до 5%).
Магнитные свойства стали 04Х13Н8МТЮ–ВИ
В связи с разработками высокооборотных вентильных электродвигателей с постоянными магнитами (ВЭДПМ) необходима достоверная информация не только по механическим, но и по магнитным параметрам высокопрочных магнитных сталей.
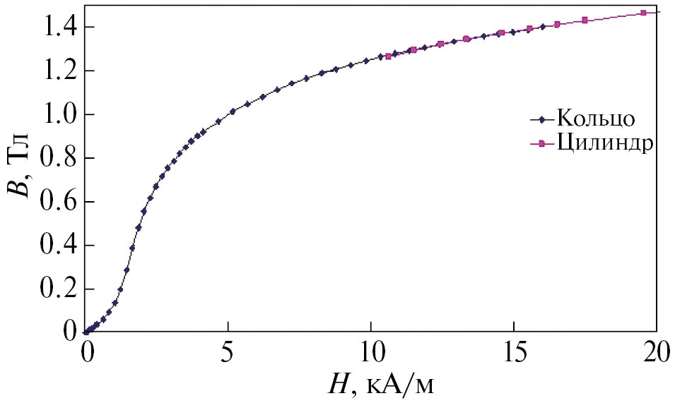
Применяемая методика измерения магнитных свойств материалов предусматривает выполнение измерений в двух перекрывающихся диапазонах величин магнитного поля, на кольцевом и цилиндрическом образцах, каждый со своей схемой измерения и диапазоном применимости. В сумме они охватывают практически весь значимый для расчетов магнитных систем диапазон полей. Перекрытие диапазонов позволяет дополнительно контролировать точность измерений по степени совпадения кривых.
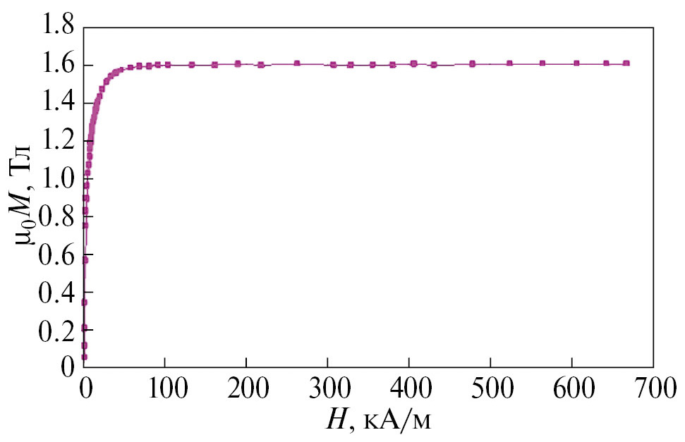
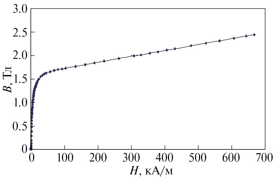
Результаты измерений зависимости магнитной индукции В и намагниченности М от напряжённости поля Н стали 04Х13Н8МТЮ–ВИ представлены на рис. 3–5. На рис. 6 приведена зависимость магнитной проницаемости µ(B), на рис. 7 – петля гистерезиса исследуемого образца стали.
Рис. 3. Основная кривая намагничивания (ОКН) исследуемого образца стали.
Рис. 4. ОКН исследуемого образца стали в диапазоне 0–20 кА/м (показан участок пересечения диапазонов измерения для кольцевого и цилиндрического образцов).
Рис. 5. Зависимость µ0М(Н) для исследуемого образца 04Х13Н8МТЮ–ВИ. Намагниченность насыщения µ0М = 1.6 Тл, µ0 = 4π · 10⁻⁷
Рис. 6. Зависимость магнитной проницаемости µᵣ от магнитной индукции В.
Коэрцитивная сила по индукции определена по максимальной ширине петли гистерезиса и составляет Нс ≈ 1537 А/м.
Рис. 7. Петля гистерезиса исследуемого образца.
Сравнение магнитных параметров стали 04Х13Н8МТЮ–ВИ с некоторыми известными сталями
Для сравнения использованы характеристики:
- конструкционной стали 3 (снятые ранее в АО “НИИЭФА”), широко применяемой для магнитопроводов, но имеющей сравнительно низкие механические свойства (пределы прочности и текучести до 480 и до 245 МПа соответственно);
- стали 30ХГСА (пределы прочности и текучести соответственно 980 и 820 МПа), используемой для высокооборотных электрических машин, магнитная характеристика которой приведена в [13]. Данная характеристика приведена только до значения Н = 12 кА/м, далее характеристика экстраполирована с учетом тренда стали 3 (на графиках указана штрихпунктирной линей и обозначением “Сталь 30ХГСА*”).
Результаты сравнения в графическом виде приведены на рис. 8–10.
Рис. 8. Сравнительная зависимость B(Н) для сталей 3, 30ХГСА и 04Х13Н8МТЮ–ВИ.
На рисунке 9 можно видеть, что максимальное значение µᵣ стали 30ХГСА в 2.5 раза ниже, чем у стали 3, а у стали 04Х13Н8МТЮ–ВИ, соответственно, в 6 раз ниже относительно стали 3 и, примерно, в 2.4 раза ниже, чем 30ХГСА.
Рис. 9. Зависимости µᵣ от напряженности магнитного поля Н.
В области высоких напряженностей поля Н 200–600 кА/м µᵣ всех сталей практически выравниваются на уровне (соответственно Н) примерно от (10–7) до (5–3) единиц.
Рис. 10. Зависимости µᵣ от индукции магнитного поля В.
Результаты сравнительного расчета электрической машины с постоянными магнитами (ЭДПМ) с применением указанных сталей
Для получения информации о степени влияния различия магнитных характеристик указанных сталей на параметры ЭДПМ был проведен расчет магнитной системы полюсного сектора с характеристиками указанных сталей.
Сравнение результатов расчетов приведено в табл. 3.
Таблица 3. Результаты электромагнитных расчетов
Параметр | Ст.3 | 30ХГСА | 04Х13Н8МТЮ–ВИ |
Электромагнитный момент, кН·м | 19.710 | 19.690 | 19.663 |
Средняя индукция В в зазоре двигателя, Тл | 0.552 | 0.552 | 0.551 |
Максимальная индукция В в расчетном секторе, Тл | 2.35 | 2.35 | 2.35 |
Из данных, представленных в табл. 3, видно, что результаты расчетов с полюсами, выполненными из разных сталей, практически совпадают.
Различие по величине момента между сталями 30ХГСА и 04Х13Н8МТЮ–ВИ составляет менее 0.2% несмотря на то, что магнитная проницаемость этих сталей отличается в несколько раз.
Необходимо отметить, что предел текучести стали 04Х13Н8МТЮ–ВИ (~1300 МПа) почти в 1.6 раза выше, чем стали 30ХГСА (820 МПа), что позволяет повысить частоту вращения ротора и мощность машины на 25%.
ЗАКЛЮЧЕНИЕ
- Магнитные параметры стали 04Х13Н8МТЮ–ВИ, несмотря на более низкую магнитную проницаемость (в 6 раза ниже, чем у стали 3, и примерно в 2.4 раза ниже, чем у 30ХГСА), вполне приемлемы для применения в роторах высокооборотных электрических машин с постоянными магнитами.
- Проведенный сравнительный расчет параметров электрической машины с постоянными магнитами с применением стали 30ХГСА и новой стали 04Х13Н8МТЮ–ВИ продемонстрировал различие менее 0.2%, что в совокупности с повышенными механическими характеристиками свидетельствует о целесообразности применения исследуемой стали в роторах высокооборотных электрических машин.
- Механические характеристики стали 04Х13Н8МТЮ–ВИ позволяют повысить частоту вращения ротора на 25% по сравнению со сталью 30ХГСА.
Данная работа финансировалась за счет средств организаций. Никаких дополнительных грантов на проведение или руководство данным конкретным исследованием получено не было.
Авторы данной работы заявляют, что у них нет конфликта интересов.
Об авторах
А. Н. Мазничевский
ООО “Ласмет”
Автор, ответственный за переписку.
Email: al.mazn@ya.ru
Россия, ул. 2-я Павелецкая, 18, ком. 207, Челябинск, 454047
Р. В. Сприкут
ООО “Ласмет”
Email: al.mazn@ya.ru
Россия, ул. 2-я Павелецкая, 18, ком. 207, Челябинск, 454047
А. С. Кибардин
АО “НИИЭФА”
Email: kibardin@sintez.niiefa.spb.su
Россия, пос. Металлострой, 3, Санкт-Петербург, 190000
А. А. Фирсов
АО “НИИЭФА”
Email: kibardin@sintez.niiefa.spb.su
Россия, пос. Металлострой, 3, Санкт-Петербург, 190000
Список литературы
- Tian J., Yang B., Feng S., Yu L., Zhou J. Investigation of rotor–gas foil bearing system and its application for an ultra-high-speed permanent magnet synchronous motor // Proceedings of the Institution of Mechanical Engineers. Part J: Journal of Engineering Tribology. 2022. V. 236 (4). P. 595–606. https://doi.org/10.1177/13506501211031703
- Cheng W., Deng Z., Xiao L., Zhong B., Duan W. Rotor dynamic experimental investigation of an ultra-high-speed permanent magnet synchronous motor supported on a three-pad bidirectional gas foil bearing // Adv. Mech. Eng. 2019. V. 11 (9). P. 1–11. https://doi.org/10.1177/1687814019875368
- He T., Zhu Z., Eastham F., Wang Y., Bin H., Wu D., Gong L., Chen J. Permanent Magnet Machines for High-Speed Applications // World Electric Vehicle Journal. 2022. V. 13 (1). https://doi.org/10.3390/ wevj13010018
- Каблов Е.Н., Бакрадзе, М.М., Громов В.И., Вознесенская Н.М., Якушева Н.А. Новые высокопрочные конструкционные и коррозионностойкие стали для аэрокосмической техники разработки ФГУП “ВИАМ” // Авиационные материалы и технологии. 2020. № 1 (58). С. 3–11. https://doi.org/10.18577/2071-9140-2020-0-1-3-11
- Якушева Н.А., Громов В.И. Мартенситно-стареющие стали ВИАМ для ответственных деталей ГТД // Высокопрочные стали для аэрокосмической техники и технологии их производства: материалы Всероссийской научно-технической конференции. 2019. С. 15–25.
- Bibin J., Manikandan M., Arivazhagan N., Nageswara R., Muktinutalapati G., Madhusudhan R. Development of a low heat-input welding technique for joining thick plates of 250 grade maraging steel to fabricate rocket motor casings // Materials Letters. 2022. V. 326. https://doi.org/10.1016/j.matlet.2022.132984
- Geng L., Jie S., Ao W., Zhuoyue Y., Yali D., Jing N., Qi G. A novel Fe–Cr–Ni–Co–Mo maraging stainless steel with enhanced strength and cryogenic toughness: Role of austenite with core-shell structures // Mater. Sci. Eng.: A. 2023. V. 863. https://doi.org/10.1016/j.msea.2022. 144537
- Zhang H., Sun M., Wang F., Liu Z., Xu B., Li D. Exploring the relationship between the accelerated austenite reversion and two-steps solution treatment in a Cr–Ni–Mo cryogenic maraging stainless steel // Materials Characterization. 2023. V. 196. https://doi.org/10.1016/j.matchar.2022.112581
- Zheng Z., Lee Y.J., Zhang J., Jin X., Wang H. Ultra-precision micro-cutting of maraging steel 3J33C under the influence of a surface-active medium // J. Mater. Proces. Techn. 2021. V. 292. https://doi.org/10.1016/j.jmatprotec.2021. 117054
- Патент № 2738033 Российская Федерация, МПК С22 С38/50 (2020.08), С22С 38/60 (2020.08). Мартенситно-стареющая сталь: № 2020112264; заявл. 26.03.2020; опубл. 07.12.2020. Бюл. № 34 / Мазничевский А.Н., Сприкут Р.В.; заявитель и патентообладатель Лаборатория специальной металлургии (ООО “Ласмет”). 8 с.: ил. Текст: непосредственный.
- Амосков В.М., Беляков В.А., Белякова Т.Ф., Гикал Б.Н., Гульбикян Г., Дмитриев С.Н., Иваненко И.А., Илясов О.В., Костырев В.А., Кучинский В.Г., Кухтин В.П., Ларионов М.С., Ламзин Е.А., Максимов Б.П., Семченков А.Г., Семченкова О.В., Сычевский С.Е., Филатов О.Г., Фирсов А.А., Франко И. Аппаратно-программный комплекс для измерения характеристик магнитных материалов в широком диапазоне индукций // Препринт ОИЯИ Р13–2004–158. Дубна: Объедин. ин-т ядер. исслед. 2004. 19 с. https://www1.jinr.ru/publish/Preprints/2004/158(P13–2004–158).pdf
- Sha W., Guo Z. 2 – Microstructure of maraging steels // Woodhead Publishing Series in Metals and Surface Engineering. 2009. P. 17–48. https://doi.org/10.1533/9781845696931.17
- Исмагилов Ф.Р., Хайруллин И.Х., Вавилов В.Е. Высокооборотные электрические машины с высококоэрцитивными постоянными магнитами. Инновационное машиностроение. 2017. 247 с.
Дополнительные файлы












