Influence of Si on the Structure and Martensitic Transformation in Deformed Ni–Mn–Ga Alloys
- Authors: Musabirov I.I.1, Gaifullin R.Y.1, Safarov I.M.1, Galeyev R.M.1, Afonichev D.D.1, Kirilyuk K.K.2, Koledov V.V.2, Mashirov A.V.2, Mulyukov R.R.1
-
Affiliations:
- Institute for Metals Superplasticity Problems of the Russian Academy of Sciences (IMSP RAS)
- Ufa University of Science and Technology
- Issue: Vol 124, No 11 (2023)
- Pages: 1129-1136
- Section: СТРУКТУРА, ФАЗОВЫЕ ПРЕВРАЩЕНИЯ И ДИФФУЗИЯ
- URL: https://journals.rcsi.science/0015-3230/article/view/232715
- DOI: https://doi.org/10.31857/S0015323023601046
- EDN: https://elibrary.ru/HGPKPH
- ID: 232715
Cite item
Full Text
Abstract
Abstract—
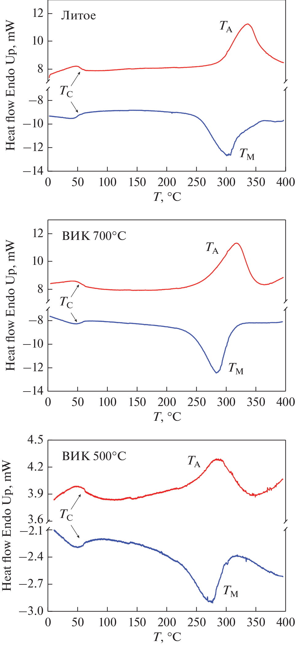
The studying the effect of multiaxial isothermal forging on the microstructure and martensitic transformation in the Ni58Mn18Ga24 alloy is presented. Forging was carried out in two stages: stage 1 − forging at 700°C (4 passes, true degree of deformation e ≈ 1.64), stage 2 − forging at 500°C (1 pass, e ≈ 0.24). Forging led to the transformation of the original equiaxed grain structure. As a result of the 1st stage of processing, no new grains are formed. The new recrystallized grains are observed only after the 2nd stage of deformation, the proportion of which is very small. Apparently, the mechanism of fragmentation of the grain structure at the first stage is not triggered due to insufficient defect density at a deformation of 700°C. The characteristic temperatures of martensitic transformation are shifted to the low temperature region. The anharmonic change in the sample length is observed in the region of martensitic transformation for the both treated states. In general, this indicates a low level of defect density and internal stresses in the sample.
Keywords
About the authors
I. I. Musabirov
Institute for Metals Superplasticity Problems of the Russian Academy of Sciences (IMSP RAS)
Author for correspondence.
Email: irekmusabirov@mail.ru
Russia, 450001, Republic of Bashkortostan, Ufa
R. Yu. Gaifullin
Institute for Metals Superplasticity Problems of the Russian Academy of Sciences (IMSP RAS)
Email: irekmusabirov@mail.ru
Russia, 450001, Republic of Bashkortostan, Ufa
I. M. Safarov
Institute for Metals Superplasticity Problems of the Russian Academy of Sciences (IMSP RAS)
Email: irekmusabirov@mail.ru
Russia, 450001, Republic of Bashkortostan, Ufa
R. M. Galeyev
Institute for Metals Superplasticity Problems of the Russian Academy of Sciences (IMSP RAS)
Email: irekmusabirov@mail.ru
Russia, 450001, Republic of Bashkortostan, Ufa
D. D. Afonichev
Institute for Metals Superplasticity Problems of the Russian Academy of Sciences (IMSP RAS)
Email: irekmusabirov@mail.ru
Russia, 450001, Republic of Bashkortostan, Ufa
K. K. Kirilyuk
Ufa University of Science and Technology
Email: irekmusabirov@mail.ru
Russia, 450076, Republic of Bashkortostan, Ufa
V. V. Koledov
Ufa University of Science and Technology
Email: irekmusabirov@mail.ru
Russia, 450076, Republic of Bashkortostan, Ufa
A. V. Mashirov
Ufa University of Science and Technology
Email: irekmusabirov@mail.ru
Russia, 450076, Republic of Bashkortostan, Ufa
R. R. Mulyukov
Institute for Metals Superplasticity Problems of the Russian Academy of Sciences (IMSP RAS)
Email: irekmusabirov@mail.ru
Russia, 450001, Republic of Bashkortostan, Ufa
References
- Kamantsev A., Mashirov A., Dilmieva E., Zakharov D., Zhikharev A., Koledov V., Shavrov V., Irzhak F., Shelyakov A., Albertiti F. New Approaches to Manipulation of Microbiological Objects // Phys. Procedia. 2016. V. 82. P. 15−20.
- Zhou Z., Wu P., Ma G., Yang B., Li Z., Zhou T., Wang D., Du Y. Large reversible magnetic-field-induced strain in a trained Ni49.5Mn28Ga22.5 polycrystalline alloy // J. Alloys Compd. 2019. V. 792. P. 399−404.
- Mendonca A.A., Jurado J.F., Stuard S.J., Silva L.E.L., Eslava G.G., Cohen L.F., Ghivelder L., Gomes A.M. Giant magnetic-field-induced strain in Ni2MnGa-based polycrystal // J. Alloys Compd. 2018. V. 738. P. 509−514.
- Gaitzsch U., Potschke M., Roth S., Rellinghaus B., Schultz L. A 1% magnetostrain in polycrystalline 5M Ni–Mn–Ga // Acta Mater. 2009. V. 57. I. 2. P. 365−370.
- Родионов И.Д., Кошкидько Ю.С., Цвик Я., Kюитц A., Пандей C., Арял А., Дубенко И.С., Стадлер Ш., Али Н., Титов И.С., Блинов М., Прудникова М.В., Прудников В.Н., Ладеранта Э., Грановский А.Б. Мaгнитокалорический эффект в сплаве Гейслера Ni50Mn35In15 в слабых и сильных полях // Письма в ЖЭТФ. 2015. Т. 101. № 6. С. 419–423.
- Алиев А.М., Батдалов А.Б., Ханов Л.Н., Маширов А.В., Дильмиева Э.Т., Коледов В.В., Шавров В.Г. Деградация магнитокалорического эффекта в Ni49.3Mn40.4In10.3 в циклических магнитных полях // ФТТ. 2020. Т. 62. № 5. С. 748−751.
- Yang J., Li Z., Yang B., Yan H., Cong D., Zhao X., Zuo L. Effects of Co and Si co-doping on magnetostructural transformation and magnetocaloric effect in Ni−Mn−Sn based alloys // J. Alloys Compd. 2022. V. 892. P. 162190.
- Соколовский В.В., Мирошкина О.Н., Бучельников В.Д., Марченков В.В. Магнитокалорический эффект в металлах и сплавах // ФММ. 2022. Т. 123. № 4. С. 339−343.
- Соколовский В.В., Мирошкина О.Н., Бучельников В.Д. Обзор современных теоретических методов исследования магнитокалорических материалов // ФММ. 2022. Т. 123. № 4. С. 344−402.
- Wei L., Zhang X., Gan W., Ding C., Liu C., Geng L., Yan Y. Large rotating magnetocaloric effects in polycrystalline Ni−Mn−Ga alloys // J. Alloys and Compd. 2021. V. 874. I. 5. P. 159755.
- Chen J., Lei L., Fang G. Elastocaloric cooling of shape memory alloys: A review // Mater. Today Commun. 2021. V. 28. P. 102706.
- Feng Y., Gao J., Zhou M., Wang H. Giant elastocaloric effect induced by lower stress in Ni−Mn−In−Fe ferromagnetic shape memory alloys // J. Magn. Magn. Mater. 2022. V. 563. P. 169906.
- Gui W., Qu Y., Cao Y., Zhao Y., Liu C., Zhou Q., Chen J., Liu Y. The effect of Tb substitution for Ni on microstructure, martensitic transformation and cyclic stability of elastocaloric effect in Ni–Mn–Sn magnetic shape memory alloys // J. Mater. Research Technol. 2022. V. 19. P. 4998−5007.
- Zhu Y., Xuan H., Su J., Chen F., Zhang K., Han P., Qiao J. Large elastocaloric effect in as-cast Ni−Mn−Sn−Fe ferromagnetic shape memory alloys // Phys. Lett. A. 2022. V. 451. I. 5. P. 128374.
- Everhart W., Newkirk J. Mechanical properties of Heusler alloys // Heliyon. 2019. V. 5. I. 5. P. e01578.
- Пушин В.Г., Марченкова Е.Б., Королев А.В., Коуров Н.И., Белослудцева Е.С., Пушин А.В., Уксусников А.Н. Магнитоуправляемые термоупругие мартенситные превращения и свойства мелкозернистого сплава Ni54Mn21Ga25 // ФТТ. 2017. Т. 59. № 7. С. 1297−1306.
- Марченкова Е.Б., Пушин В.Г., Казанцев В.А., Королев А.В., Коуров Н.И., Пушин А.В. Особенности термоупругих мартенситных превращений и свойства ультрамелкозернистых сплавов Ni54Mn20Fe1Ga25, полученных закалкой из расплава // ФММ. 2018. Т. 119. № 10. С. 992−1001.
- Dey S., Roy R.K., Mallick A.B., Mitra A., Panda A.K. Influence of rapid solidification on mangnetostructural and magnetocaloric effect in Ni53Mn24Ga23 alloy // Materials Today Commun. 2018. V. 17. P. 140−143.
- Yang J., Li Z., Yang B., Yan H., Cong D., Zhao X., Zuo L. Strain manipulation of magnetocaloric effect in a Ni39.5Co8.5Mn42Sn10 melt-spun ribbon // Scripta Mater. 2023. V. 224. P. 115141.
- Zhang Y., Ouyang J., Wang X., Tian Y., Ren Z. Magneto-structural transformations and magnetocaloric effect in the Heusler type Ni48Cu2Mn36Sn14 – xTix melt-spun ribbons // Mater. Chem. Phys. 2022. V. 290. P. 126 527.
- Pushin V., Korolyov A., Kuranova N., Marchenkova E., Ustyugov Y. New Metastable Baro- and Deformation-Induced Phases in Ferromagnetic Shape Memory Ni2MnGa-Based Alloys // Materials. 2022. V. 15. I. 6. P. 2277.
- Калетина Ю.В., Грешнова Е.Д., Калетин А.Ю. Эволюция структуры и свойств сплава Ni47Mn42In11 после пластической деформации // ФТТ. 2019. Т. 61. № 11. С. 2204–2209.
- Chulist R., Böhm A., Rybacki E., Lippmann T., Oertel C.G., Skrotzki W. Texture Evolution of HPT-Processed Ni50Mn29Ga21 // Mater. Sci. Forum. 2011. V. 702−703. P. 169−172.
- Chulist R., Skrotzki W., Oertel C.-G., Böhm A., Lippmann T., Rybacki E. Microstructure and texture in Ni50Mn29Ga21 deformed by high-pressure torsion // Scripta Mater. 2010. V. 62. I. 9. P. 650−653.
- Chulist R., Skrotzki W., Oertel C.-G., Böhm A., Brokmeier H.-G., Lippmann T. Cyclic fibre texture in hot extruded Ni50Mn29Ga21 // Intern. J. Mater. Research. 2012. V. 103. I. 5. P. 575−579.
- Wei L., Zhang X., Gan W., Ding C., Geng L. Hot extrusion approach to enhance the cyclic stability of elastocaloric effect in polycrystalline Ni−Mn−Ga alloys // Scripta Mater. 2019. V. 168. P. 28−32.
- Wei L., Zhang X., Qian M., Cui X., Geng L., Sun J., Panina L.V., Peng H. Introducing equiaxed grains and texture into Ni−Mn−Ga alloys by hot extrusion for superplasticity // Mater. & Design. 2016. V. 112. P. 339−344.
- Musabirov I.I., Safarov I.M., Galeyev D.D., Afonichev R.M., Gaifullin R.Y., Kalashnikov V.S., Dilmieva E.T., Koledov V.V., Taskaev S.V., Mulyukov R.R. Influence of multi-axial isothermal forging on the stability of martensitic transformation in a Heusler Ni−Mn−Ga alloy // Trans. Indian. Inst. Met. 2021. V. 74. P. 2481−2489.
- Гайфуллин Р.Ю., Гаджиев А.Б., Алиев А.М., Таскаев С.В., Мусабиров И.И. Магнитокалорический эффект в сплаве Ni2.25Mn0.75Ga0.93Si0.07 // Радиотехника и электроника. 2023. Т. 68. № 4. С. 346−352.
- Musabirov I.I., Galeyev R.M., Safarov I.M. Thermal expansion anisotropy formed by extrusion for Ni2.26Mn0.80Ga0.89Si0.05 alloy // J. Magn. Magn. Mater. 2020. V. 514. P. 167160.
- Мусабиров И.И., Сафаров И.М., Галеев Р.М., Афоничев Д.Д., Гайфуллин Р.Ю., Коледов В.В., Таскаев С.В., Мулюков Р.Р. Влияние деформации изотермической ковкой на мартенситное превращение в сплаве Гейслера системы Ni−Mn−Ga // Челябинский физико-математический журн. 2020. Т. 5. № 4−2. С. 601−611.
- Мусабиров И.И., Мулюков Х.Я., Коледов В.В., Шавров В.Г. Термическое расширение сплава Ni2.08Mn0.96Ga0.96 // Журн. технич. физики. 2011. Т. 81. № 3. С. 108−111.
Supplementary files




