Effect of Ga Partial Substitution on the Structural and Magnetic Properties of Heusler Ni–Mn–Ga Alloys
- Authors: Sokolovskiy V.V.1,2, Buchelnikov V.D.1
- 
							Affiliations: 
							- Chelyabinsk State University
- MISiS National University of Science and Technology
 
- Issue: Vol 124, No 11 (2023)
- Pages: 1108-1116
- Section: ЭЛЕКТРИЧЕСКИЕ И МАГНИТНЫЕ СВОЙСТВА
- URL: https://journals.rcsi.science/0015-3230/article/view/232712
- DOI: https://doi.org/10.31857/S0015323023601150
- EDN: https://elibrary.ru/YGXJEU
- ID: 232712
Cite item
Full Text
Abstract
Abstract—
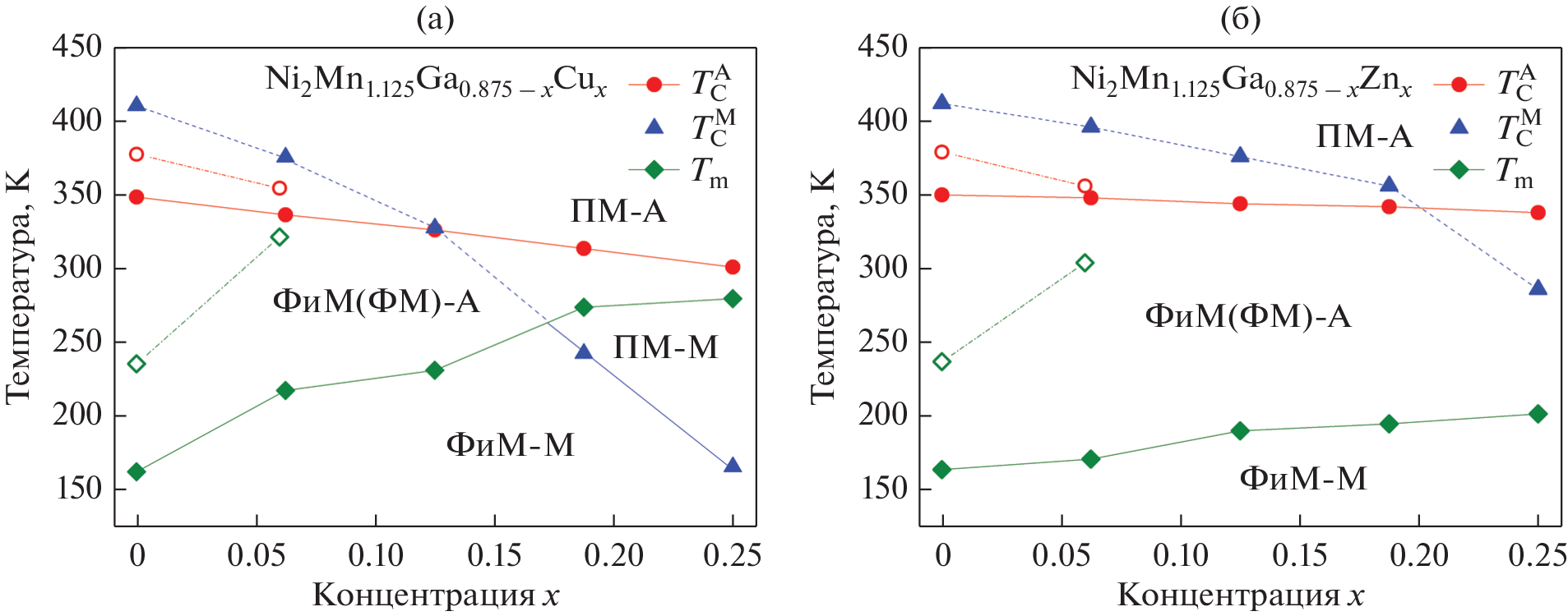
The effect of doping with Cu and Zn atoms on the magnetic and structural properties of the cubic and tetragonal phase of the Heusler Ni2Mn1.125Ga0.875 alloy has been investigated in the framework of density functional theory. Partial substitution of Ga atoms by Cu and Zn atoms leads to a decrease in the energy difference between the ferromagnetic and ferrimagnetic states of the cubic phase and an increase in the energy barrier between the cubic and tetragonal phase. The latter observation indirectly points to the increase in the structural transition temperature observed experimentally. Within the framework of calculations of exchange interaction parameters from first principles and Monte Carlo modeling of temperature dependences of magnetization, a phase T–x diagram is constructed. It is shown that the Curie temperature of the tetragonal phase decreases significantly compared to the Curie temperature of the cubic phase with increasing Cu and Zn content due to an increase in the inter-sublattice antiferromagnetic interaction between Mn atoms.
About the authors
V. V. Sokolovskiy
Chelyabinsk State University; MISiS National University of Science and Technology
							Author for correspondence.
							Email: vsokolovsky84@mail.ru
				                					                																			                												                								Russia, 454001, Chelyabinsk; Russia, 119049, Moscow						
V. D. Buchelnikov
Chelyabinsk State University
														Email: vsokolovsky84@mail.ru
				                					                																			                												                								Russia, 454001, Chelyabinsk						
References
- Vasiliev A.N., Buchelnikov V.D., Takagi T. Khovailo V.V., Estrin E.I. Shape-memory ferromagnets // Phys. Uspekhi. 2003. V. 46. P. 559–588.
- Planes A., Mañosa L. Ferromagnetic shape-memory alloys // Mater. Sci. Forum. 2006. V. 512. P. 145–152.
- Buchelnikov V.D., Vasiliev A.N., Koledov V.V., Taskaev S.V., Khovaylo V.V., Shavrov V.G. Magnetic shape-memory alloys: Phase transitions and functional properties // Phys. Uspekhi. 2006. V. 49. P. 871–877.
- Planes A., Mañosa L., Acet M. Magnetocaloric effect and its relation to shape-memory properties in ferromagnetic Heusler alloys // J. Phys. Condens. Matter. 2009. V. 21. P. 233201 (29).
- Khovaylo V.V., Buchelnikov V.D., Kainuma R., Koledov V.V., Otsuka M., Shavrov V.G., Takagi T., Taskaev S.V., Vasiliev A.N. Phase transitions in Ni2 + xMn1 – xGa with a high Ni excess // Phys. Rev. B. 2005. V. 72. P. 224408 (10).
- Çakιr A., Righi L., Albertini F., Acet M., Farle M., Aktürk S. Extended investigation of intermartensitic transitions in Ni–Mn–Ga magnetic shape memory alloys: A detailed phase diagram determination // J. Appl. Phys. 2013. V. 114. P. 183912 (9).
- Sokolovskiy V., Buchelnikov V., Skokov K., Gutfleisch O., Karpenkov D., Koshkid’ko Yu., Miki H., Dubenko I., Ali N., Stadler S., Khovaylo V. Magnetocaloric and magnetic properties of Ni2Mn1–xCuxGa Heusler alloys: An insight from the direct measurements and ab initio and Monte Carlo calculations // J. Appl. Phys. 2013. V. 114. P. 183913 (9).
- Sokolovskiy V., Grünebohm A., Buchelnikov V., Entel P. Ab initio and Monte Carlo approaches for the magnetocaloric effect in Co- and In-doped Ni–Mn–Ga Heusler alloys // Entropy. 2014. V. 16. P. 4992–5019.
- Gamzatov A.G., Batdalov A.B., Aliev A.M., Khizriev Sh.K., Khovaylo V.V., Ghotbi Varzaneh A., Kameli P., Abdolhosseini Sarsari I., Jannati S. Anomalous heat transfer near the martensite-austenite phase transition in Ni50Mn28Ga22 – x(Cu, Zn)x (x = 0; 1.5) alloys // Intermetallics. 2022. V. 143. P. 107491 (6).
- Perdew J.P., Burke K., Ernzerhof M. Generalized Gradient Approximation Made Simple // Phys. Rev. Lett. 1996. V. 77. P. 3865–3868.
- Kresse G., Furthmüller J. Efficient iterative schemes for ab initio total-energy calculations using a plane- wave basis set // Phys. Rev. B. 1996. V. 54. P. 11169–11186.
- Kresse G., Joubert D. From ultrasoft pseudopotentials to the projector augmented-wave method // Phys. Rev. B. 1999. V. 59. P. 1758–1775.
- Buchelnikov V., Zagrebin M., Sokolovskiy V. Magnetic states of Ni2MnZ and Ni2CrZ (Z = Al, As, Bi, Ga, Ge, In, P, Pb, Sb, Si, Sn, Tl) Heusler alloys // J. Magn. Magn. Mater. 2018. V. 459. P. 78–83.
- Sokolovskaya Y., Miroshkina O., Baigutlin D., Sokolovskiy V., Zagrebin M., Buchelnikov V., Zayak A. A ternary map of Ni–Mn–Ga Heusler alloys from ab initio calculations // Metals. 2021. V. 11. P. 973 (14).
- Ebert H., Ködderitzsch D., Minár J. Calculating condensed matter properties using the KKR-Green’s function method-recent developments and applications // Rep. Prog. Phys. 2011. V. 74. P. 096501 (48).
Supplementary files
 
				
			 
					 
						 
						 
						 
						 
				





