Baric Transformation of the Nature of Magnetic Ordering and Magnetocaloric Properties in the Mn1 – xCrxNiGe System
- Authors: Valkov V.I.1, Golovchan A.V.1, Gribanov I.F.1, Andreychenko E.P.1, Kovalev O.Y.1, Mitsiuk V.I.2, Mashirov A.V.3
-
Affiliations:
- Galkin Donetsk Institute for Physics and Engineering
- Research and Production Center for Materials Science, National Academy of Sciences of Belarus
- Kotelnikov Institute of Radio engineering and Electronics (IRE), Russian Academy of Sciences
- Issue: Vol 124, No 11 (2023)
- Pages: 1044-1050
- Section: ЭЛЕКТРИЧЕСКИЕ И МАГНИТНЫЕ СВОЙСТВА
- URL: https://journals.rcsi.science/0015-3230/article/view/232704
- DOI: https://doi.org/10.31857/S0015323023600946
- EDN: https://elibrary.ru/HLYUAM
- ID: 232704
Cite item
Full Text
Abstract
Abstract—
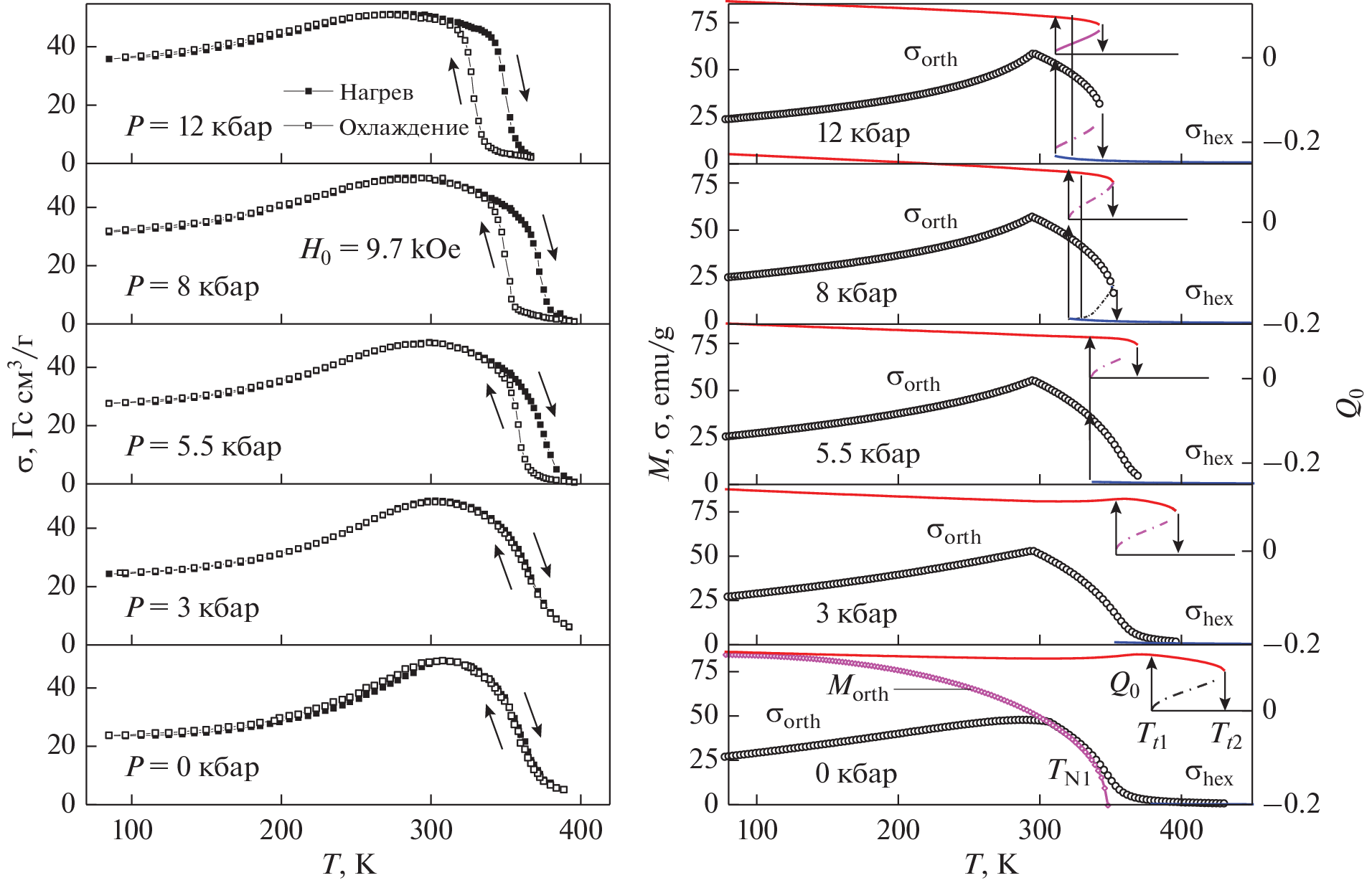
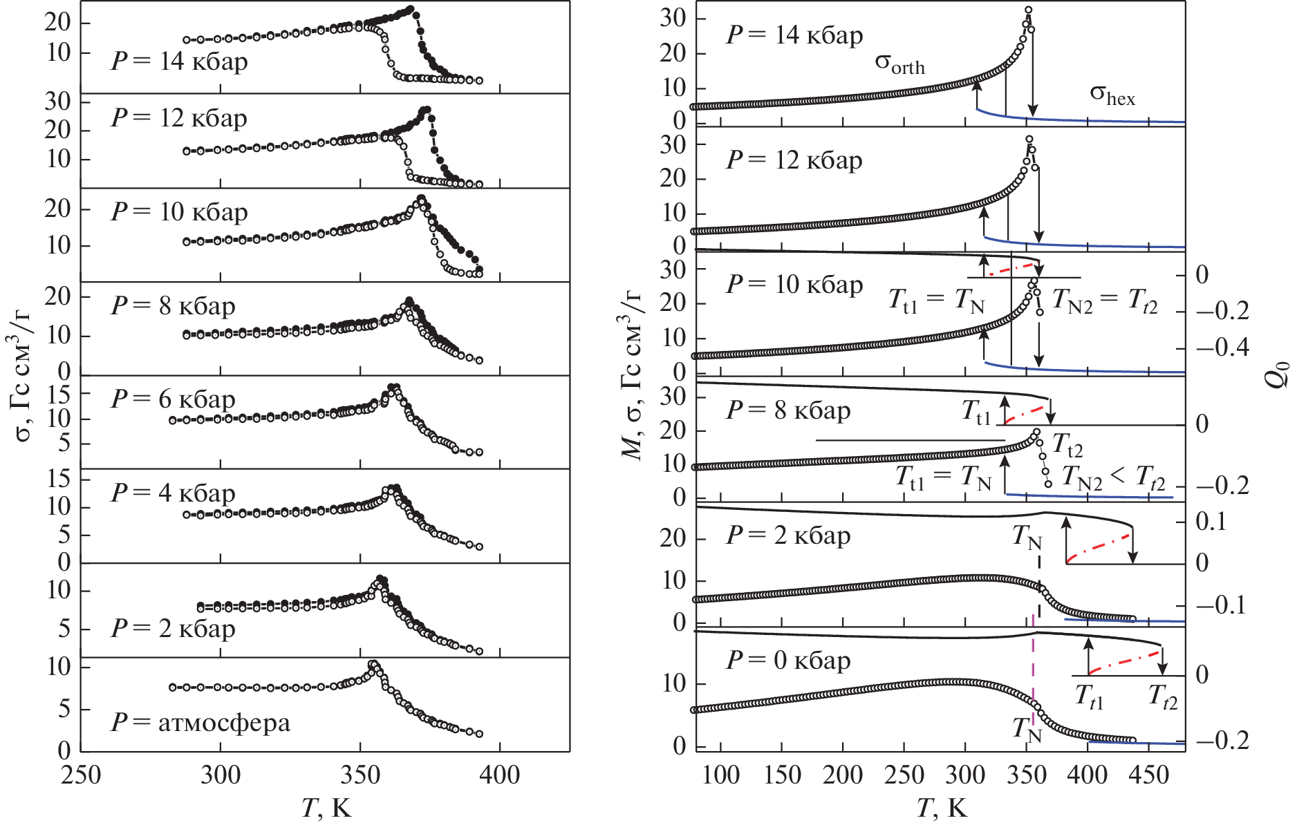
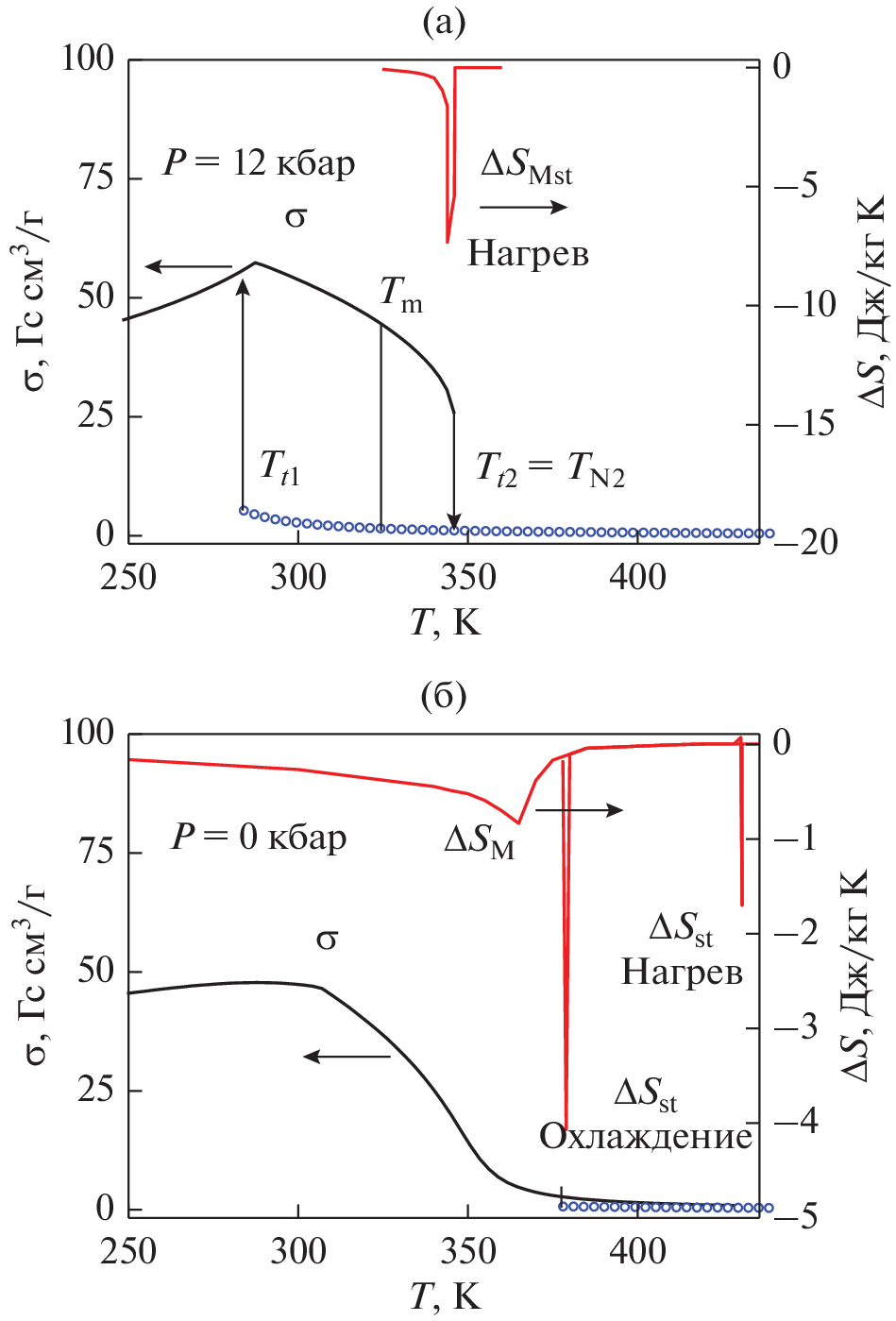
The isobaric temperature dependences of the magnetization and the magnetocaloric characteristics of alloys of the Mn1 – xCrxNiGe system are studied in a constant magnetic field up to 10 kOe in the range of hydrostatic pressures up to 12 kbar. It has been established that, with increasing pressure, the implementation of helimagnetic ordering undergoes qualitative changes from smooth hysteresis-free 2nd order phase transition to 1st order phase transitions, accompanied by the appearance of a temperature hysteresis and an increase in the magnetocaloric effect. Based on the exchange-structural model, an explanation is given for the mechanism of baric transformation of magnetic and magnetocaloric properties.
About the authors
V. I. Valkov
Galkin Donetsk Institute for Physics and Engineering
Author for correspondence.
Email: valkov09@gmail.com
Russia, 283048, Donetsk
A. V. Golovchan
Galkin Donetsk Institute for Physics and Engineering
Email: valkov09@gmail.com
Russia, 283048, Donetsk
I. F. Gribanov
Galkin Donetsk Institute for Physics and Engineering
Email: valkov09@gmail.com
Russia, 283048, Donetsk
E. P. Andreychenko
Galkin Donetsk Institute for Physics and Engineering
Email: valkov09@gmail.com
Russia, 283048, Donetsk
O. Ye. Kovalev
Galkin Donetsk Institute for Physics and Engineering
Email: valkov09@gmail.com
Russia, 283048, Donetsk
V. I. Mitsiuk
Research and Production Center for Materials Science, National Academy of Sciences of Belarus
Email: valkov09@gmail.com
Belarus, 220072, Minsk
A. V. Mashirov
Kotelnikov Institute of Radio engineering and Electronics (IRE), Russian Academy of Sciences
Email: valkov09@gmail.com
Russia, 125009, Moscow
References
- Niziol J.S., Zieba A., Zach R., Baj M., Dmowski L. Structural and magnetic phase transitions in Cox Ni1 − xMnGe system under pressure // JMMM. 1983. V. 38. P. 205–213.
- Anzai S., Ozawa K. Coupled nature of magnetic and structural transition in MnNiGe under pressure // Phys. Rev. B. 1978. V. 18. P. 2173–2178.
- Penc B., Hoser A., Baran S., Szytuła A. Helicoidal ordering in NiMn1 – xCrxGe for x = 0, 0.04, 0.11 and 0.18 // Phase Trans. 2018. V. 91. № 2. P. 118–127.
- Duraj R., Szytuła A., Jaworska-Gołąb T., Deptuch A., Tyvanchuk Yu., Sivachenko A., Val’kov V., Dyakonov V. Pressure effect on magnetic phase transitions in slowly cooled NiMn1 – xCrxGe // J. Alloys Compounds. 2018. V. 741. P. 449–453.
- Szytuła A., Baran S., Jaworska-Gołąb T., Marzec M., Deptuch A., Tyvanchuk Yu., Penc B., Hoser A., Sivachenko A., Val’kov V., Dyakonov V., Szymczak H. Influence of Cr doping on magnetocaloric effect and physical properties of slowly cooled NiMn1 − xCrxGe // Journal of Alloys and Compounds. 2017. V. 726. P. 978–988.
- Грибанов И.Ф., Головчан А.В., Запорожец В.Д., Каменев В.И., Клищенко Л.Д., Коледов В.В., Митюк В.И., Сиваченко А.П. Влияние термической предыстории на барические особенности фазовых превращений в магнитокалорических сплавах Mn1 – xCrxNiGe // ФТВД. 2018. Т. 28. № 3. С. 13–23.
- Соколовский В.В., Мирошкина О.Н., Бучельников В.Д. Обзор современных теоретических методов исследования магнитокалорических материалов // ФММ. 2022. Т. 123. № 4. С. 344–402.
- Валиев Э.З. Энтропия и магнитокалорический эффект в ферромагнетиках и антиферромагнетиках // ФММ. 2007. Т. 104. № 1. С. 12–16.
- Вальков В.И., Головчан А.В., Коледов В.В., Митюк В.И., Грибанов И.Ф., Запорожец В.Д., Тодрис Б.М., Сиваченко Т.С. Стимулирование магнитным полем и давлением магнитоструктурных фазовых переходов первого рода беспорядок–беспорядок, беспорядок–порядок в гелимагнетиках системы Mn1 – xCrxNiGe // ФТВД. 2019. Т. 29. № 3. С. 5–30.
- Грибанов И.Ф., Головчан А.В., Запорожец В.Д., Каменев В.И., Клищенко Л.Д., Коледов В.В., Митюк В.И., Сиваченко А.П. Магнитные и магнитокалорические эффекты в системах с реверсивными переходами первого рода // ФТТ. 2021. Т. 63. № 5. С. 628–638.
Supplementary files






