Structure and magnetic properties of Gd2O3 nanoparticles obtained by the spark discharge method
- Authors: Svalov A.V.1, Beketov I.V.1,2, Maksimov A.D.2, Medvedev A.I.2, Neznakhin D.S.1, Arkhipov A.V.1, Kurlyandskaya G.V.1
-
Affiliations:
- Ural Federal University
- The Institute of Electrophysics of the Ural Branch of the Russian Academy of Sciences
- Issue: Vol 124, No 9 (2023)
- Pages: 806-810
- Section: ЭЛЕКТРИЧЕСКИЕ И МАГНИТНЫЕ СВОЙСТВА
- URL: https://journals.rcsi.science/0015-3230/article/view/139480
- DOI: https://doi.org/10.31857/S0015323023600776
- EDN: https://elibrary.ru/DOKSQF
- ID: 139480
Cite item
Full Text
Abstract
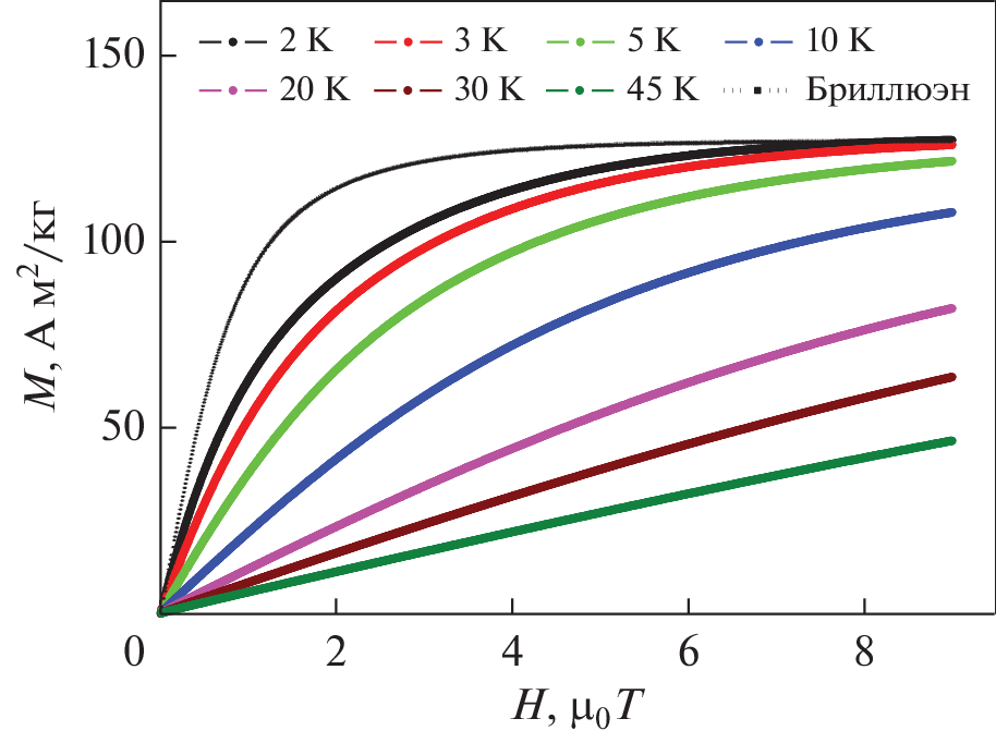
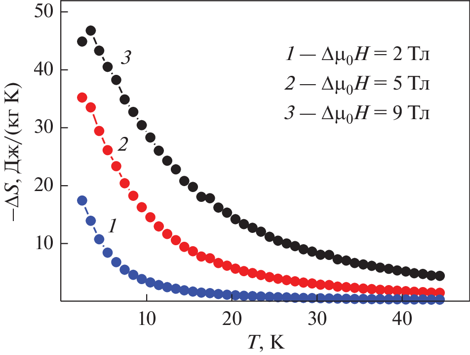
Gadolinium oxide nanoparticles were obtained by the spark discharge electrophysical method. Structure, magnetic and magnetocaloric properties of Gd2O3 nanoparticles are comparatively analyzed. According to X-ray phase analysis, the synthesized Gd2O3 nanoparticles contain two crystallographic phases: cubic and monoclinic. The change in the magnetic part of the entropy dSM was determined from the measurement data of magnetic isotherms based on the Maxwell relation. The maximum value of dSM for a magnetic field variation amplitude of 2 T was approximately 17 J/kgK and was observed at a temperature of 2.5 K.
About the authors
A. V. Svalov
Ural Federal University
Email: andrey.svalov@urfu.ru
Ekaterinburg, 620002 Russia
I. V, Beketov
Ural Federal University; The Institute of Electrophysics of the Ural Branch of the Russian Academy of Sciences
Email: andrey.svalov@urfu.ru
Ekaterinburg, 620002 Russia; Ekaterinburg, 620016 Russia
A. D. Maksimov
The Institute of Electrophysics of the Ural Branch of the Russian Academy of Sciences
Email: andrey.svalov@urfu.ru
Ekaterinburg, 620016 Russia
A. I. Medvedev
The Institute of Electrophysics of the Ural Branch of the Russian Academy of Sciences
Email: andrey.svalov@urfu.ru
Ekaterinburg, 620016 Russia
D. S. Neznakhin
Ural Federal University
Email: andrey.svalov@urfu.ru
Ekaterinburg, 620002 Russia
A. V. Arkhipov
Ural Federal University
Email: andrey.svalov@urfu.ru
Ekaterinburg, 620002 Russia
G. V. Kurlyandskaya
Ural Federal University
Author for correspondence.
Email: andrey.svalov@urfu.ru
Ekaterinburg, 620002 Russia
References
- Пустоваров В.А., Трофимова Е.С., Кузнецова Ю.А., Зацепин А.Ф. Антистоксова люминесценция нанокристаллов Gd2O3, легированных ионами Er3+ и Yb3+ // Письма в ЖТФ. 2018. Т. 44. Вып. 14. С. 42–49.
- Fang J., Chandrasekharan P., Liu X.-L., Yang Y., Lv Y.-B., Yang C.-T., Ding J. Manipulating the surface coating of ultra-small Gd2O3 nanoparticles for improved T1-weighted MR imaging // Biomaterials. 2014. V. 35. P. 1636–1642.
- Paul R., Paramanik T., Das K., Sen P., Satpati B., Das I. Magnetocaloric effect at cryogenic temperature in gadolinium oxide nanotubes // J. Magn. Magn. Mater. 2016. V. 417. P. 182–188.
- Zeleňáková A., Hrubovčák P., Kapusta O., Zeleňák V., Franco V. Large magnetocaloric effect in fine Gd2O3 nanoparticles embedded in porous silica matrix // Appl. Phys. Lett. 2016. V. 109. P. 122412-5.
- Zeleňáková A., Hrubovčák P., Berkutova A., Šofranko O., Kučerka N., Ivankov O., Kuklin A., Girman V., Zeleňák V. Gadolinium-oxide nanoparticles for cryogenic magnetocaloric applications // Sci. Rep. 2022. V. 12. P. 2282-11.
- Yang Z.W., Qin S., Zhang J., Lu D., Zhao H., Kang C., Cui H., Long Y., Zeng Y.-J. Gadolinium oxyorthogermanate Gd2GeO5: An efficient solid refrigerant material for magnetic cryocoolers // Mater. Today Phys. 2022. V. 27. P. 100810-7.
- Taskaev S., Khovaylo V., Karpenkov D., Radulov I., Ulyanov M., Bataev D., Dyakonov A., Gunderov D., Skokov K., Gutfleisch O. Plastically deformed Gd-X (X = Y, In, Zr, Ga, B) solid solutions for magnetocaloric regenerator of parallel plate geometry // J. Alloys Compd. 2018. V. 754. P. 207–214.
- Соколовский В.В., Мирошкина О.Н., Бучельников В.Д., Марченков В.В. Магнитокалорический эффект в металлах и сплавах // ФММ. 2022. Т. 123. № 4. С. 339–343.
- Doblas D., Moreno-Ramírez L.M., Franco V., Conde A., Svalov A.V., Kurlyandskaya G.V. Nanostructuring as a procedure to control the field dependence of the magnetocaloric effect // Mater. Des. 2017. V. 114. P. 214–219.
- Franco V., Conde A. Magnetic refrigerants with continuous phase transitions: Amorphous and nanostructured materials // Scr. Mater. 2012. V. 67. P. 594–599.
- Li L., Yan M. Recent progresses in exploring the rare earth based intermetallic compounds for cryogenic magnetic refrigeration // J. Alloys Compd. 2020. V. 823. P. 153810–15.
- Hazarika S., Morozkin A.V., Gururaj K., Nama R., Pradeep K.G., Nirmala R. Magnetic and magnetocaloric properties of rare-earth substituted Gd2O3 nanorods // AIP Advances. 2022. V. 12. P. 035208-6.
- Pfeiffer T.V., Feng J., Schmidt-Ott A. New developments in spark production of nanoparticles // Adv. Powder Technol. 2014. V. 25. P. 56–70.
- Kurlyandskaya G.V., Portnov D.S., Beketov I.V., Larrañaga A., Safronov A.P., Orue I., Medvedev A.I., Chlenova A.A., Sanchez-Ilarduya M.B., Martinez-Amesti A., Svalov A.V. Nanostructured materials for magnetic biosensing // Biochim. Biophys. Acta. 2017. V. 1861. P. 1494–1506.
- Beketov I.V., Safronov A.P., Medvedev A.I., Alonso J., Kurlyandskaya G.V., Bhagat S.M. Iron oxide nanoparticles fabricated by electric explosion of wire: focus on magnetic nanofluids // AIP Advances. 2012. V. 2. P. 022154-24.
- Hazarika S., Suchismita Behera P., Mohanta D., Nirmala R. Magnetocaloric effect of Gd2O3 nanorods with 5% Eu-substitution // Appl. Surf. Sci. 2019. V. 491. P. 779–783.
- Babić-Stojić B., Jokanović V., Milivojević D., Požek M., Jagličić Z., Makovec D., Arsikin K., Paunović V. Gd2O3 nanoparticles stabilized by hydrothermally modified dextrose for positive contrast magnetic resonance imaging // J. Magn. Magn. Mater. 2016. V. 403. P. 118–126.
- Miller A.E., Jelinek F.J., Gschneidner K.A., Gerstein B.C. Low-temperature magnetic behavior of several oxides of gadolinium // J. Chem. Phys. 1971. V. 55. P. 2647–2648.
- Svalov A.V., Vas’kovskiy V.O., Kurlyandskaya G.V. Influence of the size and structural factors on the magnetism of multilayer films based on 3d and 4f metals // Phys. Met. Metallogr. 2017. V. 118. P. 1263–1299.
- Trepka K., Tao Y. Magnetic characterization of rare-earth oxide nanoparticles // Appl. Phys. Lett. 2020. V. 117. P. 122410-5.
- Jia J.-H., Ke Y.-J., Zhang X.-X., Wang J.-F., Su L., Wu Y.-D., Xia Z.-C. Giant magnetocaloric effect in the antiferromagnet GdScO3 single crystal // J. Alloys Compd. 2019. V. 803. P. 992–997.
- Taskaev S., Skokov K., Karpenkov D., Khovaylo V., Ulyanov M., Bataev D., Dyakonov A., Fazlitdinova A., Gutfleisch O. The effect of plastic deformation on magnetic and magnetocaloric properties of Gd-B alloys // J. Magn. Magn. Matter. 2017. V. 442. P. 360–363.
- Каманцев А.П., Коледов В.В., Шавров В.Г., Бутвина Л.Н., Головчан А.В., Вальков В.И., Тодрис Б.М., Таскаев С.В. Магнитокалорический эффект и намагниченность гадолиния в квазистационарных и импульсных магнитных полях до 40 кЭ // ФММ. 2022. Т. 123. № 4. С. 448–452.
Supplementary files







