Atomistic Simulation of Plastic Deformation in Two-Phase Al/θ' Bicrystals Saturated with Hydrogen
- Authors: Bezborodova P.A.1, Krasnikov V.S.1, Mayer A.E.1
-
Affiliations:
- Chelyabinsk State University
- Issue: Vol 124, No 9 (2023)
- Pages: 791-805
- Section: ТЕОРИЯ МЕТАЛЛОВ
- URL: https://journals.rcsi.science/0015-3230/article/view/139477
- DOI: https://doi.org/10.31857/S0015323023600569
- EDN: https://elibrary.ru/DMLCBB
- ID: 139477
Cite item
Full Text
Abstract
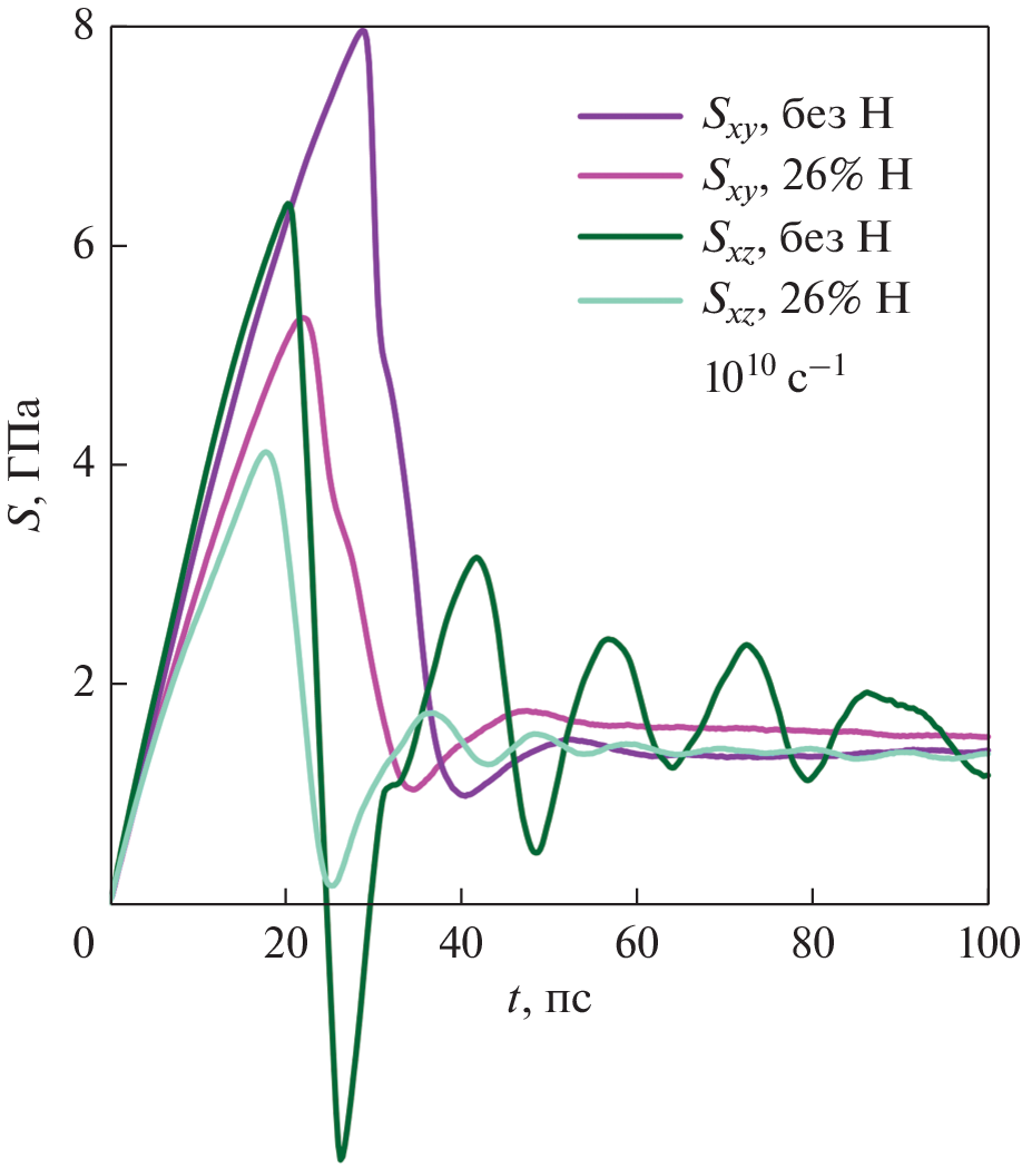
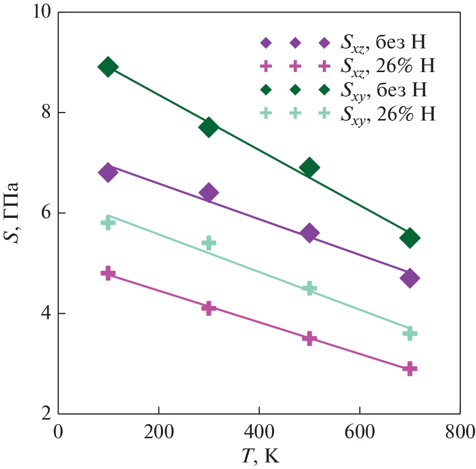
In this work we investigate the effect of hydrogen atoms on the deformation behavior of Al/θ′ bicrystals with (001)Al//(001)θ′ interfacial boundary by the molecular dynamics method.
About the authors
P. A. Bezborodova
Chelyabinsk State University
Email: ibragimova-polin@mail.ru
Chelyabinsk, 454001 Russia
V. S. Krasnikov
Chelyabinsk State University
Email: ibragimova-polin@mail.ru
Chelyabinsk, 454001 Russia
A. E. Mayer
Chelyabinsk State University
Author for correspondence.
Email: ibragimova-polin@mail.ru
Chelyabinsk, 454001 Russia
References
- Johnson W.H. On some remarkable changes produced in iron and steel by the action of hydrogen and acids // Nature. 1875. V. 11. № 281. P. 393.
- Merrick R.D. An overview of hydrogen damage to steel at low temperature // Mater. Perform. 1989. V. 28. P. 53–55.
- Safyari M., Moshtaghi M., Kuramoto S. Environmental hydrogen embrittlement associated with decohesion and void formation at soluble coarse particles in a cold-rolled Al–Cu based alloy // Mater. Sci. Eng. A. 2021. V. 799. P. 139850.
- Su H., Toda H., Shimizu K., Uesugi K., Takeuchi A., Watanabe Y. Assessment of hydrogen embrittlement via imagebased techniques in Al–Zn–Mg–Cu aluminum alloys // Acta Mater. 2019. V. 176. P. 96–108.
- Tsuru T., Shimizu K., Yamaguchi M., Itakura M., Ebihara K., Bendo A., Matsuda K., Toda H. Hydrogen-accelerated spontaneous microcracking in high-strength aluminium alloys // Sci. Rep. 2020. V. 10. P. 1998.
- Карькина Л.Е., Карькин И.Н., Горностырев Ю.Н. Зернограничное проскальзывание по специальным асимметричным границам зерен в бикристаллах Al. Атомистическое молекулярно-динамическое моделирование // Физика металлов в металловедение. 2021. Т. 122. № 11. С. 1187–1195.
- Hua A., Zhao J. Shear direction induced transition mechanism from grain boundary migration to sliding in a cylindrical copper bicrystal // Int. J. Plast. 2022. V. 156. P. 103370.
- Yao B.N., Liu Z.R., Legut D., Kong X.F., Germann T.C., Zhang H.J., Zhang R.F. Cooperative roles of stacking fault energies on dislocation nucleation at bimetal interface through tunable potentials // Comput. Mater. Sci. 2021. V. 193. P. 110416.
- Волков А.Ю., Калонов А.А., Завалишин В.А., Глухов А.В., Комкова Д.А., Антонов Б.Д. Влияние интерфейсов на физико-механические свойства Cu/Mg-композитов // Физика металлов в металловедение. 2020. Т. 121. № 6. С. 628–634.
- Shayanpoor A.A., Rezaei Ashtiani H.R. Microstructural and mechanical investigations of powder reinforced interface layer of hot extruded Al/Cu bimetallic composite rods // J. Manuf. Process. 2022. V. 77. P. 313–328.
- Kim I.K., Hong S. Effect of heat treatment on the bending behavior of tri-layered Cu/Al/Cu composite plates // Mater. Des. 2013. V. 47. P. 590–598.
- Han J., Li S., Gao X., Huang Z., Wang T., Huang Q. Effect of annealing process on interface microstructure and mechanical property of the Cu/Al corrugated clad sheet // J. Mater. Res. Technol. 2023. V. 23. P. 284–299.
- Sas-Boca I.M., Iluțiu-Varvara D.A., Tintelecan M., Aciu C., Frunzӑ D.I., Popa F. Studies on Hot-Rolling Bonding of the Al–Cu Bimetallic Composite // Materials. 2022. V. 15. № 24. P. 8807.
- Krasnikov V.S., Mayer A.E. Initiation and Mechanisms of Plasticity in Bimetallic Al–Cu Composite // Metals. 2023. V. 13. № 1. P. 102.
- Zhang J., Ma A., Wang J., Liu C., Xie J., Jia Y. Grain boundary heredity from Cu/Al solid–liquid interface via diffusion during the solidification processes // Chem. Phys. 2022. V. 552. P. 111369.
- Bourgeois L., Dwyer C., Weyland M., Nie J.-F., Muddle B.C. Structure and energetics of the coherent interface between the
- Gazizov M.R., Boev A.O., Marioara C.D., Andersen S.J., Holmestad R., Kaibyshev R.O., Aksyonov D.A., Krasnikov V.S. The unique hybrid precipitate in a peak-aged Al–Cu–Mg–Ag alloy // Scr. Mater. 2021. V. 194. P. 113669.
- Шуркин П.К., Акопян Т.К., Летягин Н.В. Влияние микродобавки индия на структуру и упрочнение бинарных Al–Cu-сплавов // Физика металлов в металловедение. 2021. Т. 122. № 8. С. 866–872.
- Ma Z., Zhan L., Liu C., Xu L., Xu Y., Ma P., Li J. Stress-level-dependency and bimodal precipitation behaviors during creep ageing of Al–Cu alloy: Experiments and modeling // Int. J. Plast. 2018. V. 110. P. 183–201.
- Krasnikov V.S., Mayer A.E. Dislocation dynamics in aluminum containing
- Krasnikov V.S., Mayer A.E., Pogorelko V.V., Gazizov M.R. Influence of
- Krasnikov V.S., Gazizov M.R., Mayer A.E., Bezborodova P.A., Pogorelko V.V., Kaibyshev R.O. Prediction of the strength of aged Al–Cu alloys with non-hybrid and hybrid {100} Al plates // Comput. Mater. Sci. 2022. V. 207. P. 111331.
- Adlakha I., Garg P., Solanki K.N. Revealing the atomistic nature of dislocation-precipitate interactions in Al–Cu alloys // J. Alloys Compd. 2019. V. 797. P. 325–333.
- Zhang P., Bian J.J., Zhang J.Y., Liu G., Weiss J., Sun J. Plate-like precipitate effects on plasticity of Al–Cu alloys at micrometer to sub-micrometer scales // Mater. Des. 2020. V. 188. P. 108444.
- Liu G., Wang S., Misra A., Wang J. Interface-mediated plasticity of nanoscale Al–Al2Cu eutectics // Acta Mater. 2020. V. 186. P. 443–453.
- Krasnikov V.S., Bezborodova P.A., Mayer A.E. Effect of hydrogen accumulation on θ' precipitates on the shear strength of Al–Cu alloys // Int. J. Plast. 2022. V. 159. P. 103475.
- Krasnikov V.S., Mayer A.E., Pogorelko V.V. Prediction of the shear strength of aluminum with θ phase inclusions based on precipitate statistics, dislocation and molecular dynamics // Int. J. Plast. 2020. V. 128. P. 102672.
- Krasnikov V.S., Mayer A.E., Pogorelko V.V., Gazizov M.R. Influence of
- Kanel G.I., Zaretsky E.B., Razorenov S.V., Ashitkov S.I., Fortov V.E. Unusual plasticity and strength of metals at ultra-short load durations // Phys. Usp. 2017. V. 60. P. 490–508.
- Zuanetti B., McGrane S.D., Bolme C.A., Prakash V. Measurement of elastic precursor decay in pre-heated aluminum films under ultra-fast laser generated shocks // J. Appl. Phys. 2018. V. 123. № 19. P. 195104.
- Majchrzak E., Poteralska J. Numerical-analysis-of-short-pulse-laser-interactions-with-thin-metal-film // Archives of foundry eng. 2010. V. 10. P. 123–128.
- Путилин В.А., Камашев А.В. Формирование упрочненного слоя в хромистых сталях при обработке короткоимпульсным лазерным излучением // Известия Самарского научного центра Российской академии наук. 2018. Т. 20. № 4–2. С. 290–292.
- Ромашевский С.А., Ашитков С.И., Агранат М.Б. Фемтосекундная лазерная технология обработки твердотельных материалов: создание функциональных поверхностей и селективная модификация наноразмерных слоев // Теплофизика высоких температур. 2018. Т. 56. № 4. С. 609–630.
- Kumar P., Garg P., Solanki K.N., Adlakha I. Effect of hydrogen on the ideal shear strength in metals and its implications on plasticity: A first-principles study // Int. J. Hydrog. Energy. 2021. V. 46. № 50. P. 25726–25737.
- Plimpton S. Fast parallel algorithms for short-range molecular dynamics // J. Comput. Phys. 1995. V. 117. P. 1–19.
- Zhou X.W., Ward D.K., Foster M.E. A bond-order potential for the Al–Cu–H ternary system // New J. Chem. 2018. V. 42. P. 5215–5228.
- Meng X., Leng X., Shan C., Zhou L., Zhou J., Huang S., Lu J. Vibration fatigue performance improvement in 2024-T351 aluminum alloy by ultrasonic-assisted laser shock peening // Int. J. Fatigue. 2023. V. 168. P. 107471.
- Nakamura M., Takahashi K., Saito Y. Effect of Shot and Laser Peening on Fatigue Strength of Additively Manufactured Aluminum Alloy with Rough Surfaces // J. Mater. Eng. Perform. 2023. V. 32. № 4. P. 1589–1600.
- Li B., Qin Z., Zhang H., Xue H. The effects of laser peening treatment on the very high cycle fatigue properties for AA2024-T351 alloy using a crystal plasticity framework // Eng. Fract. Mech. 2022. V. 275. P. 108840.
- Hirel P. Atomsk: a tool for manipulating and converting atomic data files // Comput. Phys. Commun. 2015. V. 197. P. 212–219.
- Stukowski A. Visualization and analysis of atomistic simulation data with OVITO–the Open Visualization Tool // Model. Simul. Mater. Sci. Eng. 2009. V. 18. № 1. P. 015012.
- Stukowski A., Bulatov V.V., Arsenlis A. Automated identification and indexing of dislocations in crystal interfaces // Model. Simulat. Mater. Sci. Eng. 2012. V. 20. P. 085007.
- Kelchner C.L., Plimpton S.J., Hamilton J.C. Dislocation nucleation and defect structure during surface indentation // Phys. Rev. B. 2012. V. 58. P. 11085.
- Kuzmin V.A., Galiev F.F., Pushkov V.A., Sherstobitov E.S., Koshatova E.V., Gerasimov S.I., Mishustin A.T. A Study of the Deformation of a Low-Density Aluminum–Lithium Alloy under Impact Compression and Localized Shear // Physics of Metals and Metallography. 2022. V. 123. № 10. P. 1017–1023.
Supplementary files













