MD Simulations of Collision Cascades in α-Ti. Statistics and Governing Mechanisms of Point Defect Cluster Formation
- Authors: Voskoboynikov R.E.1,2
-
Affiliations:
- National Research Nuclear University “MEPhI”
- National Research Center “Kurchatov Institute”
- Issue: Vol 124, No 8 (2023)
- Pages: 679-686
- Section: ТЕОРИЯ МЕТАЛЛОВ
- URL: https://journals.rcsi.science/0015-3230/article/view/139475
- DOI: https://doi.org/10.31857/S001532302360048X
- EDN: https://elibrary.ru/SXIYMG
- ID: 139475
Cite item
Full Text
Abstract
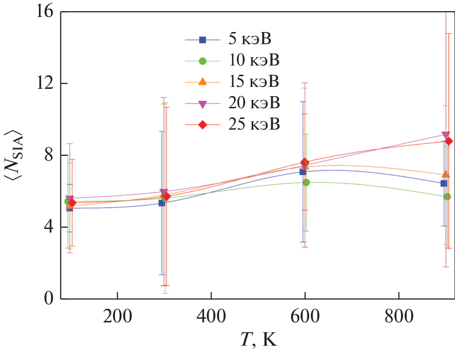
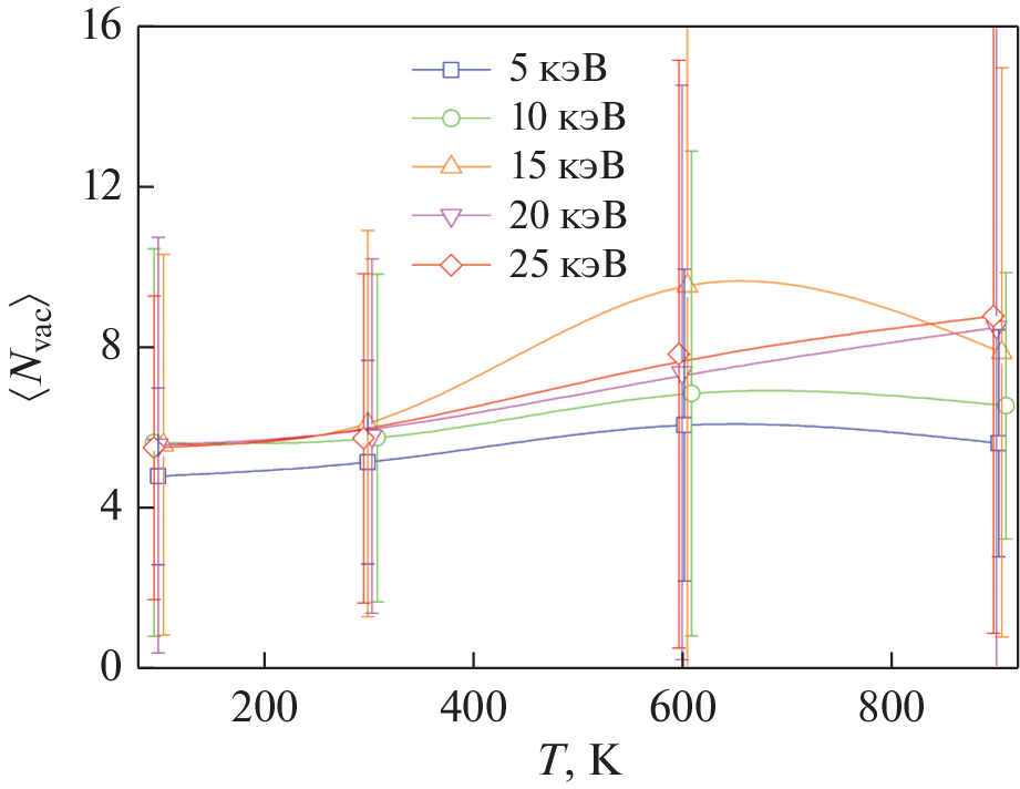
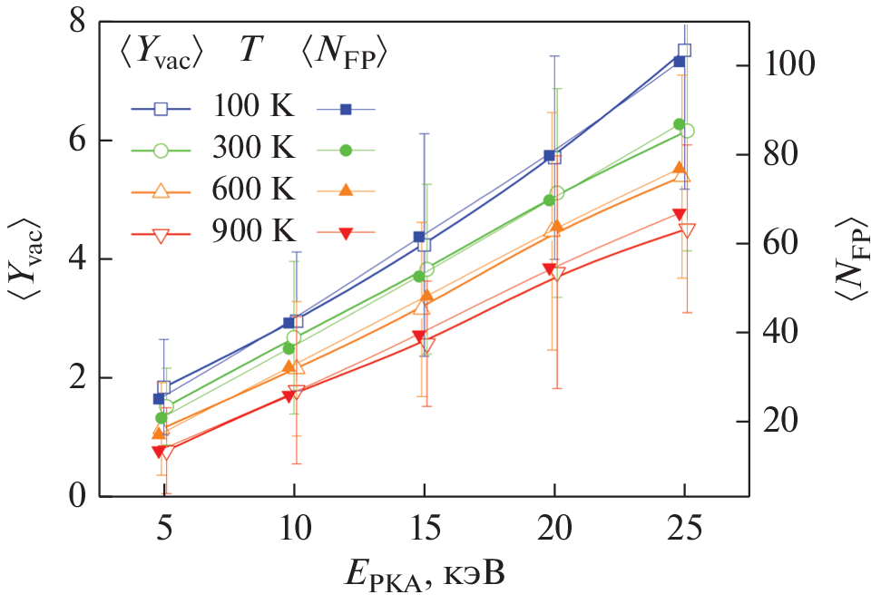
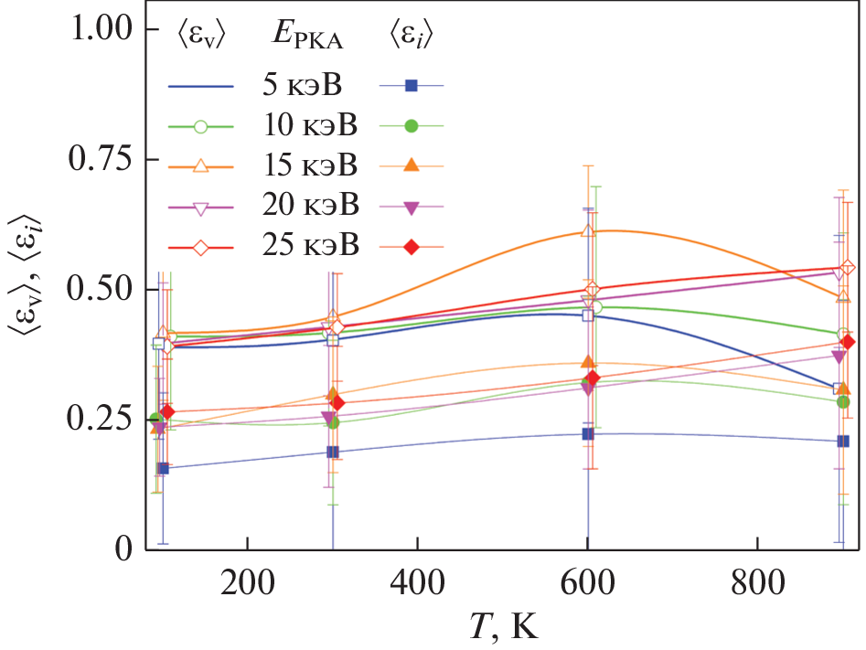
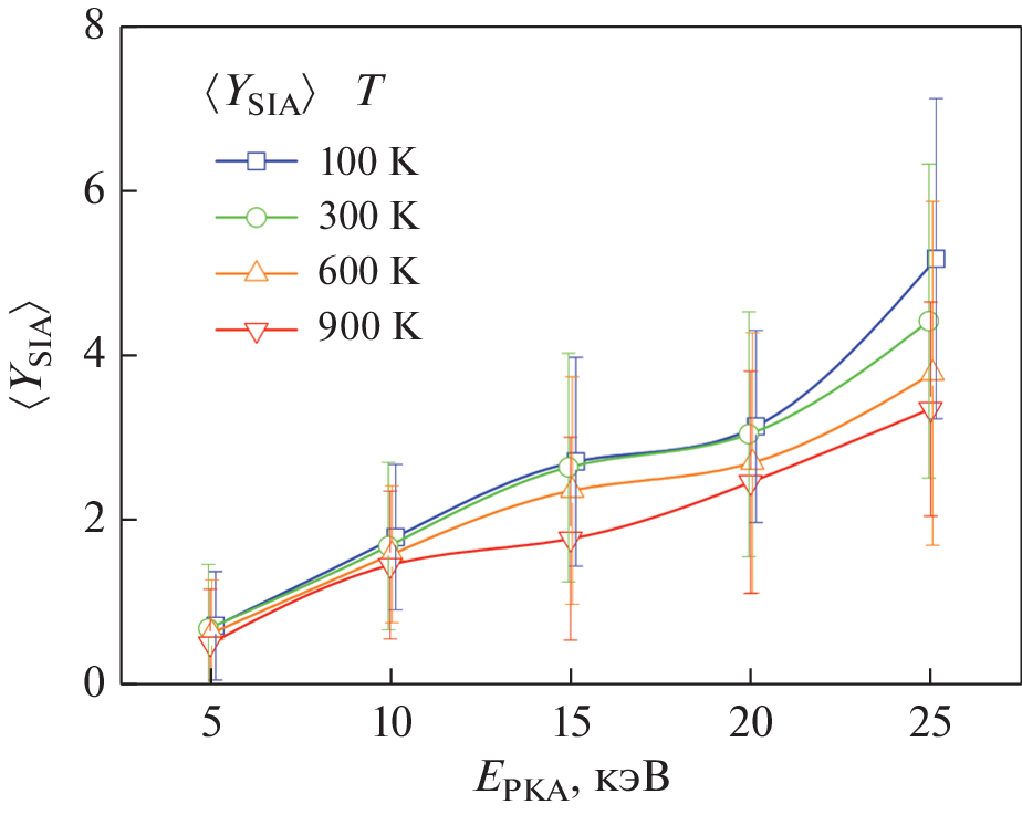
The outcomes of molecular dynamics simulations of primary damage formation in collision cascades initiated by primary knock-on atoms (PKA) with PKA energy 5 keV ≤Epka≤ 25 keV in α-titanium at 100 K ≤T≤ 900 K temperatures have been analysed. The fraction of vacancies, εv, and self-interstitial atoms (SIA), εi, in point defect clusters created in isolated collision cascades was evaluated. The corresponding averages ⟨εv⟩ and ⟨εi⟩ over cascade series with the same (Epka, T) parameters, the average size ⟨Nvac⟩ and ⟨Nsia⟩ of vacancy and SIA clusters, respectively, and the average vacancy ⟨Yvac ⟩ and SIA ⟨Ysia ⟩ cluster-per-cascade yield were found as well. Possible governing mechanisms have been suggested to explain ⟨εv⟩, ⟨εi⟩ , ⟨Nvac⟩, ⟨Nsia⟩, ⟨Yvac⟩ and ⟨Ysia⟩ dependence on (Epka,T).
About the authors
R. E. Voskoboynikov
National Research Nuclear University “MEPhI”; National Research Center “Kurchatov Institute”
Author for correspondence.
Email: roman.voskoboynikov@gmail.com
Moscow, 115409 Russia; Moscow, 123182 Russia
References
- Raji A.T., Scandolo S., Mazzarello R., Nsengiyumva S., Haerting M., Britton D.T. Ab initio pseudopotential study of vacancies and self-interstitials in hcp titanium // Philos. Mag. 2009. V. 89. P. 1629–1645.
- Воскобойников Р.Е. МД Моделирование каскадов столкновений в α-Ti. Число дефектов, время релаксации и морфология каскадной области смещений // ФММ. 2023. Т. 124. № 8. С. 671–678.
- Voskoboinikov R.E., Osetsky Yu.N., Bacon D.J. Computer simulation of primary damage creation in displacement cascades in copper. I. Defect creation and cluster statistics // J. Nucl. Mater. 2008. V. 377. P. 385–395.
- Voskoboinikov R. Statistics of primary radiation defects in pure nickel // Nucl. Instr. Meth. Phys. Res. B. 2020. V. 478. P. 201–204.
- Voskoboinikov R.E., Osetsky Yu.N., Bacon D.J. Statistics of primary damage creation in high-energy displacement cascades in copper and zirconium // Nucl. Instr. Meth. Phys. Res. B. 2006. V. 242. P. 68–70.
- Воскобойников Р.Е. Радиационные дефекты в алюминии. Моделирование первичных повреждений в объеме материала // ФММ. 2019. Т. 120. № 1. С. 3–10.
- Voskoboinikov R. A contribution of L10 ordered crystal structure to the high radiation tolerance of γ-TiAl intermetallics // Instr. Meth. Phys. Res. B. 2019. V. 460. P. 92–97.
- Voskoboinikov R. An insight into radiation resistance of D019 Ti3Al intermetallics // J. Nucl. Mater. 2019. V. 519. P. 239–246.
- Voskoboinikov R. MD simulations of primary damage formation in L12 Ni3Al intermetallics // J. Nucl. Mater. 2019. V. 522. P. 123–135.
- Nordlund K., Averback R.S. Point defect movement and annealing in collision cascades // Phys. Rev. B. 1997. V. 56. P. 2421–2431.
- Lindemann P. Über die Berechnung molekularer Eigenfrequenzen // Physikalische Zeitschrift. 1910. V. 11. P. 609–612.
- Voskoboinikov R.E., Osetsky Yu.N., Bacon D.J. Interaction of edge dislocation with point defect clusters created in displacement cascades in α-zirconium // Mater. Sci. Eng. A. 2005. V. 400–401. P. 49–53.
- Was G.S. Fundamentals of Radiation Materials Science. Metals and Alloys 2nd Ed. Elsevier, Amsterdam, 2017. 1002 p.
- Gardiner C. Stochastic Methods. A Handbook for the Natural and Social Sciences 4th Ed. Springer Berlin, Heidelberg, 2009. 447 p.
- de Diego N., Osetsky Y.N., Bacon D.J. Mobility of interstitial clusters in alpha-zirconium // Metall Mater Trans A. 2002. V. 33. P. 783–789.
- Пример одномерной диффузии ди-, три- и т.п. междоузлий, расположенных в базисной плоскости, вдоль плотноупакованных кристаллографических направлений в α-Ti при низких температурах. https://youtu.be/RgldmdibdHs.
- Изменение диффузионной подвижности ди-, три- и т.п. междоузлий, расположенных в базисной плоскости, с одного кристаллографического направления на другое кристаллографическое направление в α-Ti при температурах K. https://youtu.be/eNluPvqktc4.
- Релаксация каскада столкновений, инициированного ПВА с энергией кэВ в α-титане при температуре К. https://youtu.be/roMU-RTats4.
- Релаксация каскада смещений, инициированного ПВА с энергией кэВ в α-титане при температуре T = 900 К. https://youtu.be/JkJKSaPwcfY.
Supplementary files











