Structure of a Cast Al2Au Intermetallic Compound with an Additive of Cu
- Authors: Volkova E.G.1, Antonov B.D.2, Zavalishin V.A.1, Knyazev Y.V.1, Gavrilova A.A.1,3, Volkov A.Y.1
-
Affiliations:
- Mikheev Institute of Metal Physics, Ural Branch, Russian Academy of Sciences
- The Institute of High Temperature Electrochemistry, Ural Branch, Russian Academy of Sciences
- Ural Federal University
- Issue: Vol 124, No 6 (2023)
- Pages: 460-466
- Section: СТРУКТУРА, ФАЗОВЫЕ ПРЕВРАЩЕНИЯ И ДИФФУЗИЯ
- URL: https://journals.rcsi.science/0015-3230/article/view/139433
- DOI: https://doi.org/10.31857/S0015323023600028
- EDN: https://elibrary.ru/WVEGAR
- ID: 139433
Cite item
Full Text
Abstract
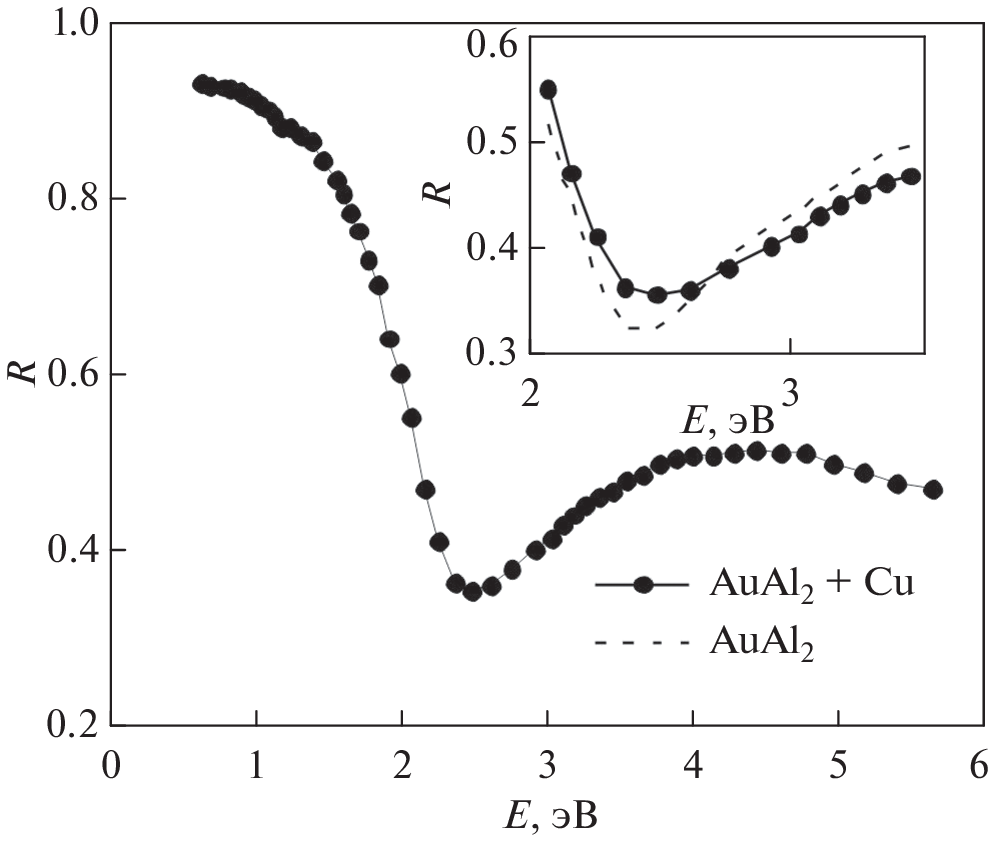
To produce an Al2Au+Cu ingot, a mixture of Al2Au and copper intermetallic powders was compacted and then melted in an argon atmosphere. The study of the ingot structure revealed the formation of brightly colored regions of the intermetallic phase Al2Au, which are located in a matrix of intermetallic AlAu. Thin veins enriched with copper were found inside the AlAu matrix. The optical characteristics of the resulting triple compound were measured. Microindentation of intermetallic phases was carried out, the values of their microhardness and contact modulus of elasticity were determined
About the authors
E. G. Volkova
Mikheev Institute of Metal Physics, Ural Branch, Russian Academy of Sciences
Email: volkova@imp.uran.ru
Ekaterinburg, 620066 Russia
B. D. Antonov
The Institute of High Temperature Electrochemistry, Ural Branch, Russian Academy of Sciences
Email: volkova@imp.uran.ru
Ekaterinburg, 620066 Russia
V. A. Zavalishin
Mikheev Institute of Metal Physics, Ural Branch, Russian Academy of Sciences
Email: volkova@imp.uran.ru
Ekaterinburg, 620108 Russia
Yu. V. Knyazev
Mikheev Institute of Metal Physics, Ural Branch, Russian Academy of Sciences
Email: volkova@imp.uran.ru
Ekaterinburg, 620108 Russia
A. A. Gavrilova
Mikheev Institute of Metal Physics, Ural Branch, Russian Academy of Sciences; Ural Federal University
Email: volkova@imp.uran.ru
Ekaterinburg, 620108 Russia; Ekaterinburg, 620002 Russia
A. Yu. Volkov
Mikheev Institute of Metal Physics, Ural Branch, Russian Academy of Sciences
Author for correspondence.
Email: volkova@imp.uran.ru
Ekaterinburg, 620108 Russia
References
- Supansomboon S., Maaroof A., Cortie M.B. Purple glory: the optical properties and technology of AuAl2 coatings // Gold Bulletin. 2008. V. 41. № 4. P. 296–304.
- Klotz U.E. Metallurgy and processing of coloured gold intermetallics – Part I: Properties and surface processing // Gold Bulletin. 2010. V. 43. № 1. P. 4–10.
- Fischer-Buhner G., Basso A., Poliero M. Metallurgy and processing of coloured gold intermetallics – Part II: Investment casting and related alloy design // Gold Bulletin. 2010. V. 43. № 1. P. 11–20.
- Yamazaki S., Ishii N., Sawada K. Noble metal ornament member and its production method, and ornament part and accessory part, Japanese Patent JP 2003/183710 (2003).
- Волков А.Ю., Уймин М.А., Мысик А.А., Новожонов В.И., Волкова Е.Г., Щеголева Н.Н., Князев Ю.В., Козлов К.А. Синтез интерметаллида AuAl2 из наноразмерных порошков золота и алюминия // Неорганич. материалы. 2011. Т. 47. № 5. С. 528–534.
- Volkova E.G., Kozlov K.A., Antonov B.D., Murzakaev A.M., Zavalishin V.A., Livinets A.A., Volkov A.Yu. Alloying of Al2Au intermetallic compound with Cu by the ball milling technique // J. Alloys Compounds. 2022. V. 900. P. 163 429.
- Волкова Е.Г., Волков А.Ю., Антонов Б.Д. Структура интерметаллида Al2Au, полученного методом механосинтеза // ФММ. 2018. Т. 119. № 7. С. 693–702.
- Volkova E.G., Knyazev Yu.V., Kozlov K.A., Antonov B.D., Volkov A.Yu. Microstructure and optical properties of the Al2Au intermetallic compound synthesized by ball milling technique // J. Alloys Compounds. 2019. V. 811. P. 151989–151996.
- Григорьева Т.Ф., Петрова С.А., Ковалева С.А, Дудина Д.В., Батраев И.С., Киселева Т.Ю., Жолудев С.И., Восмериков С.В., Девяткина Е.Т., Удалова Т.А., Поляков С.Н., Ляхов Н.З. Механохимический синтез порошков сплавов системы Cu–Al и их консолидация методом электроискрового спекания // ФММ. 2021. Т. 122. № 7. С. 729–736.
- Григорьева Т.Ф., Петрова С.А., Ковалева С.А., Киселева Т.Ю., Жолудев С.И., Восмериков С.В., Удалова Т.А., Девяткина Е.Т., Поляков С.Н., Ляхов Н.З. Механохимическое формирование твердого раствора алюминия в меди // ФММ. 2021. Т. 122. № 4. С. 396–401.
- Mozer M., Mayrhofer P.H., Ross I.M., Rainforth W.M. Microstructure and mechanical properties of sputtered intermetallic Al–Au coatings // J. Appl. Phys. 2007. V. 102. P. 023 523.
- Cretu C. and Van der Lingen E. Coloured gold alloys // Gold Bulletin. 1999. V. 32. P. 115–126.
- Bočan J., Maňák J., Jäger A. Nanomechanical analysis of AZ31 magnesium alloy and pure magnesium correlated with crystallographic orientation // J. Mat. Sci. Eng. A. 2015. V. 644. P. 121–128.
- Oliver W.C. and Pharr G.M. An improved technique for determining hardness and elastic modulus using load and displacement sensing indentation experiments // J. Mat. Res. 1992. V. 7. P. 1564–1583.
- Саврай Р.А., Скорынина П.А., Макаров А.В., Осинцева А.Л. Влияние жидкостной цементации при пониженной температуре на микромеханические характеристики метастабильной аустенитной стали // ФММ. 2020. Т. 121. № 10. С. 1109–1115.
- Bhatia V.K., Levey F.C., Kealley C.S., Dowd A., Cortie M.B. The aluminium–copper gold ternary system // Gold Bulletin. 2009. V. 42. P. 201–208.
- Levey F.C., Cortie M.B., Cornish L.A. Determination of the 76 wt % Au section of the Al–Au–Cu phase diagram // J. Alloy. Comp. 2003. V. 354. P. 171–180.
- Levey F.C., Cortie M.B., Cornish L.A. Hardness and colour trends along the 76 wt. % Au (18.2 carat) line of the Au–Cu–Al system // Scripta Mater. 2002. V. 47. P. 95–100.
- Hsu L.-S., Guo G.-Y., Denlinger J.D., Allen J.W. Experimental and theoretical study of the electronic structure of AuAl2 // J. Phys. Chem. Solids. 2001. V. 62. P. 1047–1054.
Supplementary files









