Влияние формы спин-туннельного элемента на зависимость его магнитосопротивления
- Авторы: Амеличев В.В.1, Васильев Д.В.1, Поляков П.А.2, Костюк Д.В.1, Беляков П.А.1, Касаткин С.И.3, Поляков О.П.2,3, Казаков Ю.В.1
-
Учреждения:
- Научно-производственный комплекс “Технологический центр”
- Московский государственный университет имени М. В. Ломоносова
- Институт проблем управления им. В. А. Трапезникова РАН
- Выпуск: Том 124, № 5 (2023)
- Страницы: 357-362
- Раздел: ЭЛЕКТРИЧЕСКИЕ И МАГНИТНЫЕ СВОЙСТВА
- URL: https://journals.rcsi.science/0015-3230/article/view/139430
- DOI: https://doi.org/10.31857/S0015323023600338
- EDN: https://elibrary.ru/OLMLPO
- ID: 139430
Цитировать
Полный текст
Аннотация
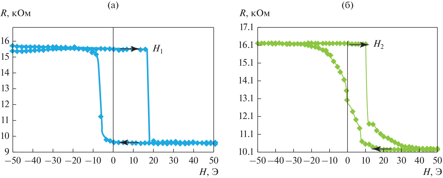
Проведено теоретическое и экспериментальное исследование зависимости магнитосопротивления для двух спин-туннельных переходов (СТП) эллипсоидальной формы. Экспериментально подобран режим одностороннего однородного перемагничивания СТП эллипсоидальной формы с различным аспектным отношением. Это позволяет, несмотря на обратное неоднородное перемагничивание, вычислить магнитные параметры данных элементов, развив теорию Стонера–Вольфарта.
Об авторах
В. В. Амеличев
Научно-производственный комплекс “Технологический центр”
Email: 29diman05@mail.ru
Россия, 124498, Зеленоград, площадь Шокина, 1
Д. В. Васильев
Научно-производственный комплекс “Технологический центр”
Email: 29diman05@mail.ru
Россия, 124498, Зеленоград, площадь Шокина, 1
П. А. Поляков
Московский государственный университет имени М. В. Ломоносова
Email: 29diman05@mail.ru
Россия, 119991, Москва, Ленинские горы, 1
Д. В. Костюк
Научно-производственный комплекс “Технологический центр”
Email: 29diman05@mail.ru
Россия, 124498, Зеленоград, площадь Шокина, 1
П. А. Беляков
Научно-производственный комплекс “Технологический центр”
Email: 29diman05@mail.ru
Россия, 124498, Зеленоград, площадь Шокина, 1
С. И. Касаткин
Институт проблем управления им. В. А. Трапезникова РАН
Email: 29diman05@mail.ru
Россия, 117997, Москва, Профсоюзная ул., 65
О. П. Поляков
Московский государственный университет имени М. В. Ломоносова; Институт проблем управления им. В. А. Трапезникова РАН
Email: 29diman05@mail.ru
Россия, 119991, Москва, Ленинские горы, 1; Россия, 117997, Москва, Профсоюзная ул., 65
Ю. В. Казаков
Научно-производственный комплекс “Технологический центр”
Автор, ответственный за переписку.
Email: 29diman05@mail.ru
Россия, 124498, Зеленоград, площадь Шокина, 1
Список литературы
- Фетисов Ю.К., Сигов А.С. Спинтроника: физические основы и устройства // РЭНСИТ. 2018. № 2. С. 133–146.
- Zutic I, Fabian J, Das Sarma S. Spintronics: Fundamental and application // Rev. Modern Phys. 2004. V. 76. P. 323–410.
- Dieny B., Goldfarb R.B., Lee K.-J. Introduction to magnetic random-access memory / Magnetics. 2017. 255 p.
- Leitao D.C., Silva A.V., Paz E., Ferreira R., Cardoso S., Freitas P.P. Magnetoresistive nanosensors: controlling magnetism at the nanoscale // Nanotechnology. 2016. V. 27. P. 1–10.
- Liou S.H., Yin X., Russek S.E. Heindl R., Silva F.C.S., Moreland J., Pappas D.P., Yuan L., Shen J. Picotesla magnetic sensors for low-frequency applications // IEEE Trans. Magn. 2011. V. 47 (10). P. 3740–3743.
- Gao K.-Zh., Yin X., Yang Y., Ewing D., Rego P.J., Liou S.-H. MTJ based magnetic sensor for current measurement in grid // AIP Advances. 2020. V. 10. P. 015301-4.
- Silva A.V., Leitao D.C., Valadeiro J., Amaral J., Freitas P.P., Cardoso S. Linearization strategies for high sensitivity magnetoresistive sensors. Eur // Phys. J. Appl. Phys. 2015. V. 72. P. 10601.
- Наумова Л.И., Миляев М.А., Бебенин Н.Г., Чернышова Т.А., Проглядо В.В., Криницина Т.П., Банникова Н.С., Устинов В.В. Безгистерезисное перемагничивание спиновых клапанов с сильным и слабым межслойным взаимодействием // ФММ. 2014. Т. 115. № 4. С. 376–383.
- Stoner E.C., Wohlfarth E.P. A mechanism of magnetic hysteresis in heterogeneous alloys // IEEE Trans. Magn. 1991. V. 27. P. 3475–3518.
- Бебенин Н.Г., Устинов В.В. Намагничивание и магнитосопротивление спинового клапана // ФММ. 2015. Т. 116. № 2. С. 179–183.
- Bruckner F., Bergmair B., Brueckl H., Palmesi P., Buder A., Satz A., Suess D. A device model framework for magnetoresistive sensors based on the Stoner-Wohlfarth model. J. Magn // Magn. Mater. 2015. V. 381, P. 344–349.
- Shevtsov V.S., Kaminskaya T.P., Polyakov P.A., Kasatkin S.I., Amelichev V.V., Takhov V.S., Shevchenko A.B. Domain structure in thin FeNiCo films with in-plane anisotropy // Bulletin of the Russian Academy of Sciences: Physics 2021. V. 85(11). P. 1226–1229.
- Li Yu., Xu K., Hu Sh., Suter J., Schreiber D.,Ramuhalli P., Jonson B., McCloy J. Computational and experimental investigations of magnetic domain structures in patterned magnetic thin films // J. Phys. D: Appl. Phys. 2015. V. 48. P. 305001.
- Sang H, Du Y.W., Chien C.L. Exchange coupling in Fe50Mn50/Ni81Fe19 bilayer: Dependence on antiferromagnetic layer thickness // J. Appl. Phys. 1999. V. 8(85). P. 4931–4933.
- Dieny B., Humbert P., Speriosu V.S., Gurney B.A., Baumgart P., Lefakis H. Giant magnetoresistance of magnetically soft sandwiches: Dependence of temperature and layer thicknesses // Phys. Rev. B. 1992. V. 45. P. 806–814.
- Polyakov O., Amelichev V., Zhukov D.,Vasilyev D., Kasatkin S.,Polyakov P. Development and research of a theoretical model of the magnetic tunnel junction // Sensors. 2021. V. 21(6). P. 2118.
- Amelichev V.V., Vasiliev D.V., Kostyuk D.V., Kazakov Yu.V., Kasatkin S.I., Polyakov O.P., Polyakov P.A., Shevtsov V.S. Study of Spin-Tunnel Junction Magnetization Using Coherent Rotation of the Free Layer Magnetization Model // Russian Microelectronics. 2021. V. 50(6). P. 461–466.
- Lee Y.M., Hayakawa J., Ikeda S., Matsukura F., Ohno H. Giant tunnel magnetoresistance and high annealing stability in CoFeB/MgO/CoFeB magnetic tunnel junctions with synthetic pinned layer // Appl. Phys. Lett. 2006. V. 89. P. 042506.
Дополнительные файлы






