The Thermal Behavior of Two Magnetic States in Smart Anticorrosion Coatings
- Authors: Chausov F.F.1, Ul’yanov A.L.1, Kazantseva I.S.1, Dobysheva L.V.1
 - 
							Affiliations: 
							
- Udmurt Federal Research Center, Ural Branch, Russian Academy of Sciences
 
 - Issue: Vol 124, No 1 (2023)
 - Pages: 36-41
 - Section: ЭЛЕКТРИЧЕСКИЕ И МАГНИТНЫЕ СВОЙСТВА
 - URL: https://journals.rcsi.science/0015-3230/article/view/139328
 - DOI: https://doi.org/10.31857/S0015323022601416
 - EDN: https://elibrary.ru/KQQCBB
 - ID: 139328
 
Cite item
Full Text
Abstract
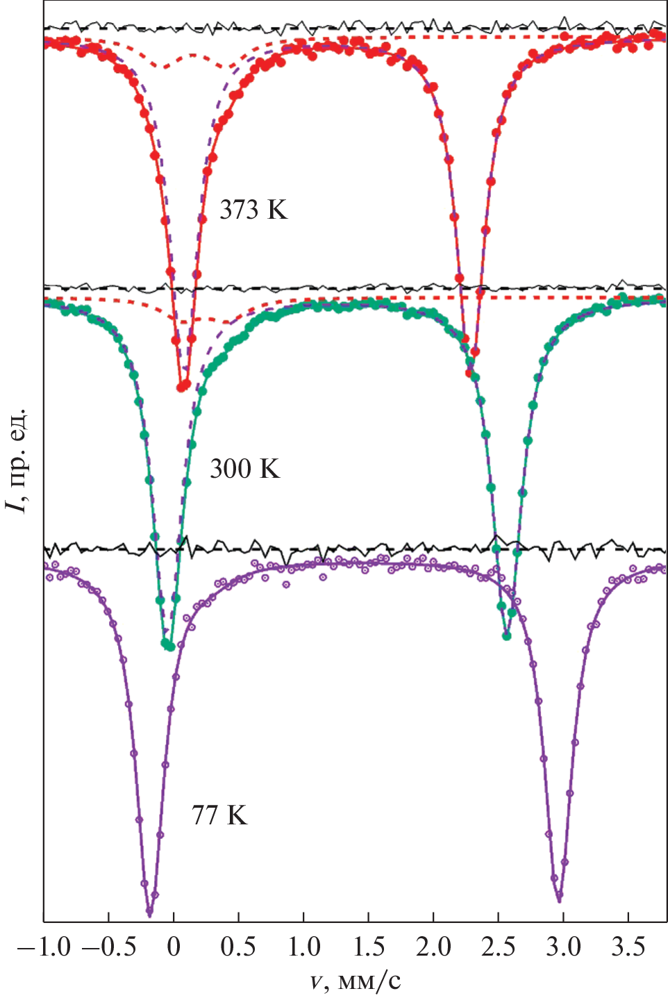
Compounds of nitrilotrimethylenephosphonic acid (NTP) with transition metals are often used as corrosion inhibitors for steels. An FeNTP anticorrosion coating is formed on the steel surface. Doping with certain metals (for example, Zn or Cd) greatly improves anticorrosion properties. Despite the fact that FeNTP, FeZnNTP, and FeCdNTP are completely isostructural compounds, substantial changes in their properties occur upon doping: (i) according to the X-ray electron spectra, Fe atoms in FeNTP are in a high-spin (HS) state, while FeZnNTP and FeCdNTP contain Fe atoms with zero spin (LS); (ii) the difference in the quadrupole splitting of the Mössbauer spectra is specific to the ratio between the HS and LS states. Quan-tum mechanical calculations of the FeNTP system showed two solutions with the properties coincideing with the experimentally found LS and HS states for these systems. In this study, we tested the hypothesis about the coexistence of two states. To study possible thermal redistribution between two magnetic states, the Möss-bauer spectra of FeNTP, FeZnNTP, and FeCdNTP were recorded at various temperatures (77, 300, and 373 K). The Mössbauer data indicate that, with an increase in the temperature, a second component occurs in FeNTP (the ground state is HS; LS occurs already at room temperature and its fraction increases with an increase in the temperature) and FeZnNTP (the ground state is LS; HS occurs at 373 K). At all investigated temperatures, FeCdNTP has only one LS component.
About the authors
F. F. Chausov
Udmurt Federal Research Center, Ural Branch, Russian Academy of Sciences
														Email: lyuka17@mail.ru
				                					                																			                												                								Izhevsk, 426067 Russia						
A. L. Ul’yanov
Udmurt Federal Research Center, Ural Branch, Russian Academy of Sciences
														Email: lyuka17@mail.ru
				                					                																			                												                								Izhevsk, 426067 Russia						
I. S. Kazantseva
Udmurt Federal Research Center, Ural Branch, Russian Academy of Sciences
														Email: lyuka17@mail.ru
				                					                																			                												                								Izhevsk, 426067 Russia						
L. V. Dobysheva
Udmurt Federal Research Center, Ural Branch, Russian Academy of Sciences
							Author for correspondence.
							Email: lyuka17@mail.ru
				                					                																			                												                								Izhevsk, 426067 Russia						
References
- Kuznetsov Yu.I., Mercer A.D., Thomas J.G.N. Organic Inhibitors of Corrosion of Metals // Springer. N.Y. 1996. 284 p. https://doi.org/10.1007/978-1-4899-1956-4
 - Demadis K.D., Katarachia S.D., Koutmos M. Crystal growth and characterization of zinc-(amino-tris-(methylenephosphonate)) organic-inorganic hybrid networks and their inhibiting effect on metallic corrosion // Inorg. Chem. Commun. 2005. V. 8. P. 254–258. https://doi.org/10.1016/j.inoche.2004.12.019
 - Сомов Н.В., Чаусов Ф.Ф. Структура ингибитора солеотложений и коррозии – тридекагидрата нитрилотриметилентрифосфонатоцинката тетранатрия // Кристаллография. 2014. Т. 59. С. 71–75. https://doi.org/10.7868/S0023476113050123
 - Shchukin D.G. Container-based multifunctional self-healing polymer coatings // Polym. Chem. 2013. V. 4. P. 4871–4877. https://doi.org/10.1039/c3py00082f
 - Zhang F., Ju P., Pan M., Zhang D., Huang Y., Li G., Li X. Self-healing mechanisms in smart protective coatings: A review // Corros. Sci. 2018. V. 144. P. 74–88. https://doi.org/10.1016/j.corsci.2018.08.005
 - Кузнецов Ю.И. Современное состояние теории ингибирования коррозии металлов // Защита металлов. 2002. Т. 38. С. 122–131.
 - Кузнецов Ю.И. Физико-химические аспекты ингибирования коррозии металлов в водных растворах // Успехи химии. 2004. Т. 73. P. 79–93. https://doi.org/10.1070/RC2004v073n01ABEH000864
 - Сомов Н.В., Чаусов Ф.Ф., Закирова Р.М., Шумилова М.А., Александров В.А., Петров В.Г. Синтез, структура и свойства нитрило-трис(метиленфосфонато)-триакважелеза(II) {Fe[μ-NH(CH2PO3H)3](H2O)3} – ингредиента защитных противокоррозионных покрытий на поверхности стали // Кристаллография. 2015. Т. 60. С. 915–921. https://doi.org/10.7868/S0023476115060338
 - Чаусов Ф.Ф., Сомов Н.В., Закирова Р.М., Алалыкин А.А., Решетников С.М., Петров В.Г., Александров В.А., Шумилова М.А. Линейные органическо-неорганические гетерометаллические сополимеры [(Fe, Zn)(H2O)3{NH(CH2PO3H)3}]n и [(Fe,Cd)(H2O)3{NH(CH2PO3H)3}]n: недостающее звено механизма ингибирования локальной коррозии стали фосфонатами // Известия РАН, Сер. Физическая. 2017. Т. 81. С. 394–396. https://doi.org/10.7868/S0367676517030085
 - Chausov F.F., Kazantseva I.S., Reshetnikov S.M., Lomova N.V., Maratkanova A.N., Somov N.V. Zinc and Cadmium Nitrilotris(methylenephosphonate)s: A comparative study of different coordination structures for corrosion inhibition of steels in neutral aqueous media // ChemistrySelect. 2020. V. 5. P. 13711–13719. https://doi.org/10.1002/slct.202003255
 - Chausov F.F., Lomova N.V., Dobysheva L.V., Somov N.V., Ul’yanov A.L., Maratkanova A.N., Kholzakov A.V., Kazantseva I.S. Linear organic/inorganic iron(II) coordination polymer based on Nitrilo-tris(Methylenephosphonic acid): Spin crossover induced by Cd doping // J. Solid State Chem. 2020. V. 286. P. 121324. https://doi.org/10.1016/j.jssc.2020.121324
 - Dobysheva L.V., Chausov F.F., Lomova N.V. Electronic structure and chemical bonding in smart anti-corrosion coatings // Mater. Today Comm. 2021. V. 29. P. 102 892. https://doi.org/10.1016/j.mtcomm.2021.102892
 - König E. Nature and dynamics of the spin-state interconversion in metal complexes // Complex Chemistry. Structure and Bonding. 1991. V. 76. P. 51–152. Springer, Berlin, Heidelberg. 1991. https://doi.org/10.1007/3-540-53499-7_2
 
Supplementary files
				
			
					
						
						
						
						
				







