The Magnetic Susceptibility of Alloys Below the Percolation Threshold
- Authors: Belokon V.I.1,2, Dyachenko O.I.1, Lapenkov R.V.3
-
Affiliations:
- Institute of Science-Intensive Technologies and Advanced Materials, Department of General and Experimental Physics, Far Eastern Federal University
- Institute of Science-Intensive Technologies and Advanced Materials, Department of Theoretical Physics and Intelligent Technologies, Far Eastern Federal University
- Issue: Vol 124, No 1 (2023)
- Pages: 24-28
- Section: ЭЛЕКТРИЧЕСКИЕ И МАГНИТНЫЕ СВОЙСТВА
- URL: https://journals.rcsi.science/0015-3230/article/view/139326
- DOI: https://doi.org/10.31857/S0015323022601131
- EDN: https://elibrary.ru/KPUOJZ
- ID: 139326
Cite item
Full Text
Abstract
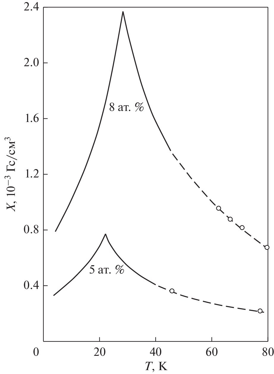
Within the theory of random interaction fields, the possibility of determining the Curie point and the paramagnetic Curie point corresponding to the appearance of short-range order is shown. In ferromag-netic alloys, there is a concentration range in which the long-range order is destroyed, but the short-range order persists. This leads to the appearance of a cluster glass phase, which is characterized by a time depen-dence of the magnetic susceptibility and the appearance of viscous magnetization. For an AuFe alloy as an example, the behavior of the initial magnetic susceptibility as a function of temperature and concentration is studied and compared with experimental data.
About the authors
V. I. Belokon
Institute of Science-Intensive Technologies and Advanced Materials, Department of General and Experimental Physics, Far Eastern Federal University;
Email: dyachenko.oi@dvfu.ru
Vladivostok, 690922 Russia
O. I. Dyachenko
Institute of Science-Intensive Technologies and Advanced Materials, Department of General and Experimental Physics, Far Eastern Federal University
Email: dyachenko.oi@dvfu.ru
Vladivostok, 690922 Russia
R. V. Lapenkov
Institute of Science-Intensive Technologies and Advanced Materials, Department of Theoretical Physicsand Intelligent Technologies, Far Eastern Federal University
Author for correspondence.
Email: dyachenko.oi@dvfu.ru
Vladivostok, 690922 Russia
References
- Keim N.C., Paulsen J.D., Zeravcic Z., Sastry S., Nagel S.R. Memory formation in matter// Rev. Mod. Phys. 2019. V. 91. P. 035002.
- Morgan I.L., Avinery R., Rahamim G., Beck R., Saleh O.A. Glassy Dynamics and Memory Effects in an Intrinsically Disordered Protein Construct // Phys. Rev. Lett. 2020. V. 125. P. 058001.
- Kumar R., Sharma J., Iyer K., Sampathkumaran E. Reentrant spin-glass and transport behavior of Gd4PtAl, a compound with three sites for Gd // J. Magn. Magn. Mater. 2019. V. 490. P. 165515.
- Binder K. Spin Glasses: Experimental Facts, Theoretical Concepts, and Open Questions // Review of Modern Phys. 1986. V. 58(4). P. 801–976.
- Доценко В.С. Физика спин-стекольного состояния // Успехи физ. наук. 1993. Т. 163. № 6. С. 1–37.
- Коренблит И.Я., Шендер Е.Ф. Спиновые стекла и неэргодичность // Успехи физических наук. 1989. Т. 157. № 2. С. 267–310.
- Белоконь В.И., Дьяченко О.И., Лапенков Р.В. Влияние диффузии на возникновение перколяционного кластера в магнетиках с прямым обменом // ФММ. 2021. Т. 122. С. 1257–1260.
- Belokon V., Lapenkov R., Chibiriak E., Dyachenko O. Oguchis Magnetic susceptibility of systems with different types of interactions: The random interaction fields method // J. Magn. Magn. Mater. 2020. V. 512. P. 167 051.
- Иудин Д.И. Фракталы: от простого к сложному. Н. Новгород: ННГАСУ. 2012. С. 200.
- Белоконь В.И., Дьяченко О.И., Лапенков Р.В., Чибиряк Е.В. Многообразие видов магнитного упорядочения: метод случайных полей обменного взаимодействия // ФММ. 2020. Т. 121. С. 802–806.
- Hagiwara M., Nagata K. Magnetism and Magnetic Interaction in a Complex Oxide Glass System Containing Deposited Clusters of Magnetite at the Superparamagnetic State // J. Phys. Soc. Japan. 1998. V. 67. P. 3590–3600.
- Cannella V., Mydosh J.A. Magnetic ordering in gold-iron alloys // Phys. Rev. B-Solid State. 1972. V. 6. P. 4220.
- Вонсовский С.В. Магнетизм. М.: Наука. 1971. 1032 с.
- Петраковский Г.А. Спиновые стекла // Cоросовский образовательный журн. 2001. Т. 7. № 9.
Supplementary files





