Near-Surface Air Content of CH4, СО2, СО and δ13C–СH4 in Moscow According to In Situ Observations
- Authors: Berezina E.V.1, Vasileva A.V.1, Moiseenko K.B.1, Pankratova N.V.1, Skorokhod A.I.1,2, Belikov I.B.1, Belousov V.A.1, Artamonov A.Y.1
-
Affiliations:
- Obukhov Institute of Atmospheric Physics, Russian Academy of Sciences
- University of Vienna
- Issue: Vol 59, No 5 (2023)
- Pages: 569-584
- Section: Articles
- URL: https://journals.rcsi.science/0002-3515/article/view/140363
- DOI: https://doi.org/10.31857/S0002351523050036
- EDN: https://elibrary.ru/XUSLEP
- ID: 140363
Cite item
Full Text
Abstract
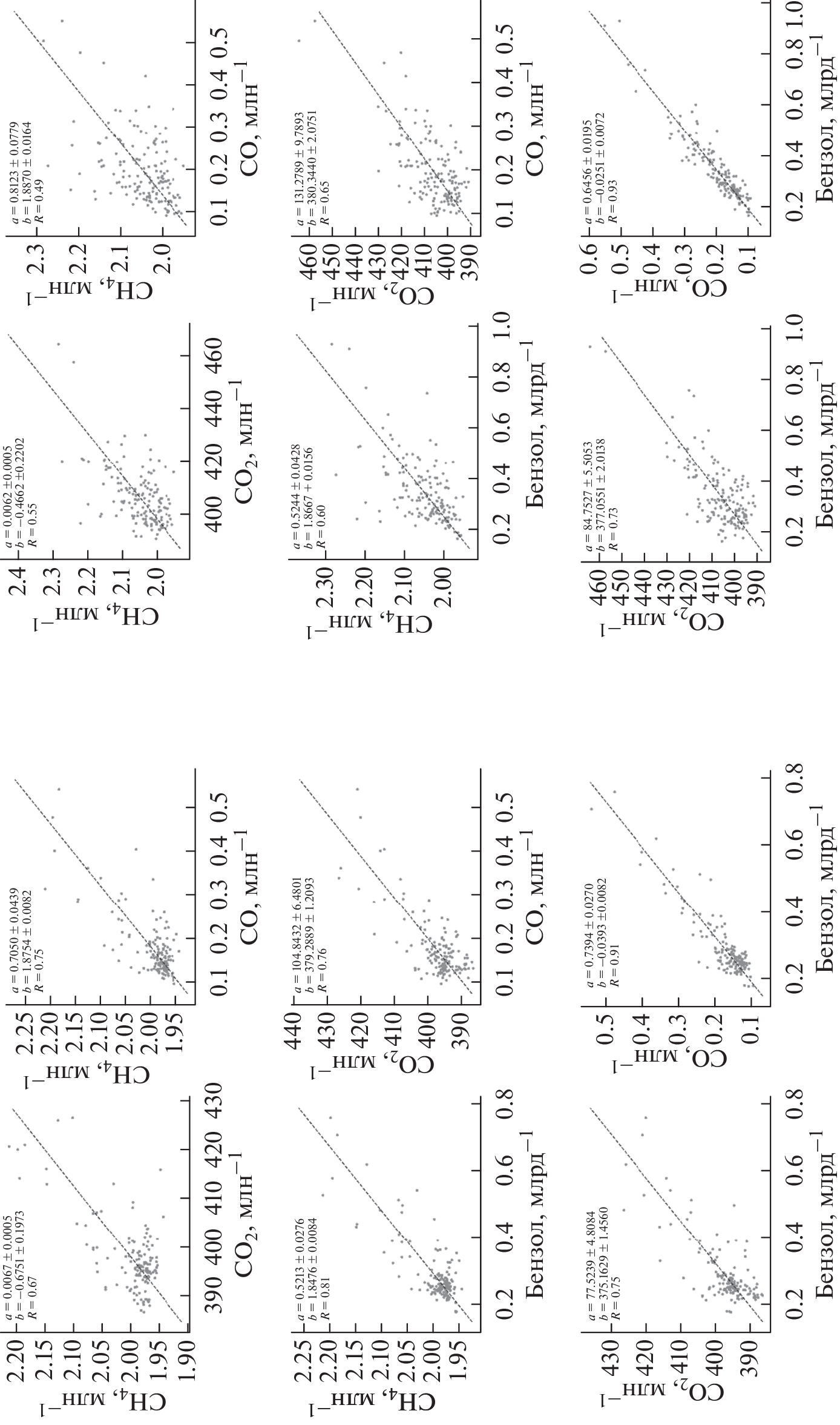
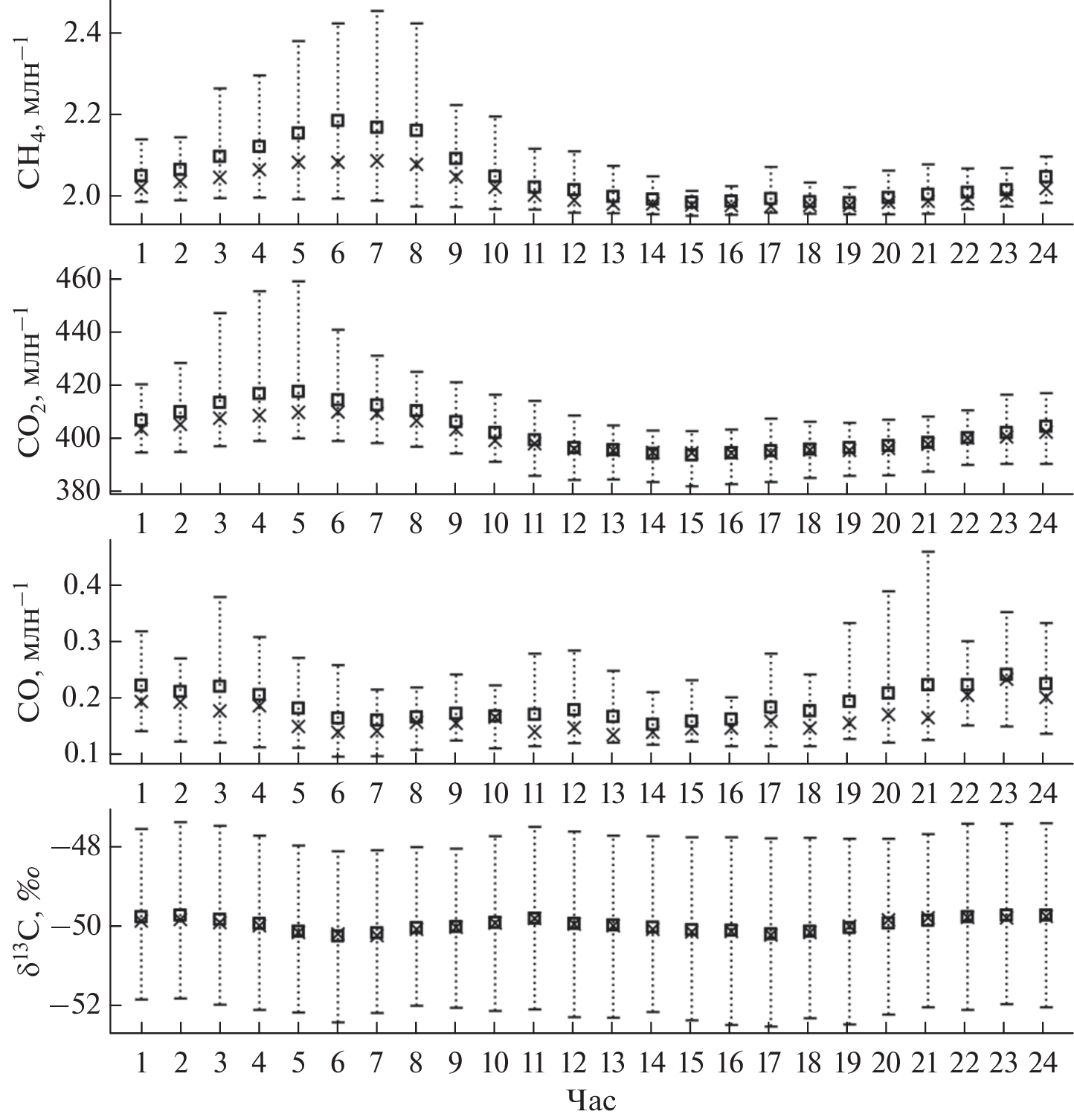
Near-surface observations of air mixing ratios of CH4, CO2, CO, benzene, and δ13C–СH4 at the IAP-RAS site in Moscow for years 2018–2020 are analyzed to describe typical interannual, seasonal, and diurnal variations. The highest mixing ratios of CH4, CO2, and CO (above 2.2, 430, and 0.2 ppmv, respectively) are mostly observed in winter as a result of the seasonal maxima in the emissions of these gases from motor transport and energy sectors and the slow removal of the emissions from the near-surface air due to suppressed turbulent vertical mixing in the cold season. The highest impact of local and distant microbial emissions on the CН4 mixing ratios is observed in summer, as follows from the low δ13C–СH4 values from –50 to –60‰. The highest increase in the mixing ratios of all the measured species is associated with air transport from the industrial area located at the east – southeast from the site. The estimated emission ratios CH4/benzene = = 0.52–0.54 ppmv/ppbv, СH4/СО = 0.56–0.75 ppmv/ppmv, СО2/benzene = 77–93 ppmv/ppbv, СО2/СО = = 81–131 ppmv/ppmv, СО/benzene = 0.65–1.11 ppmv/ppbv show the prevailing contribution of emissions from motor transport and energy sectors to the content of trace gases in the near-surface air in Moscow and are consistent with other similar estimates published on the basis of observations in large cities.
Keywords
About the authors
E. V. Berezina
Obukhov Institute of Atmospheric Physics, Russian Academy of Sciences
Author for correspondence.
Email: e_berezina_83@mail.ru
Russia, 119017, Moscow, Pyzhevsky lane, 3
A. V. Vasileva
Obukhov Institute of Atmospheric Physics, Russian Academy of Sciences
Email: e_berezina_83@mail.ru
Russia, 119017, Moscow, Pyzhevsky lane, 3
K. B. Moiseenko
Obukhov Institute of Atmospheric Physics, Russian Academy of Sciences
Email: e_berezina_83@mail.ru
Russia, 119017, Moscow, Pyzhevsky lane, 3
N. V. Pankratova
Obukhov Institute of Atmospheric Physics, Russian Academy of Sciences
Email: e_berezina_83@mail.ru
Russia, 119017, Moscow, Pyzhevsky lane, 3
A. I. Skorokhod
Obukhov Institute of Atmospheric Physics, Russian Academy of Sciences; University of Vienna
Email: e_berezina_83@mail.ru
Russia, 119017, Moscow, Pyzhevsky lane, 3; Austria, 1090, Vienna, Josef-Holaubek-Platz, 2,
I. B. Belikov
Obukhov Institute of Atmospheric Physics, Russian Academy of Sciences
Email: e_berezina_83@mail.ru
Russia, 119017, Moscow, Pyzhevsky lane, 3
V. A. Belousov
Obukhov Institute of Atmospheric Physics, Russian Academy of Sciences
Email: e_berezina_83@mail.ru
Russia, 119017, Moscow, Pyzhevsky lane, 3
A. Y. Artamonov
Obukhov Institute of Atmospheric Physics, Russian Academy of Sciences
Email: e_berezina_83@mail.ru
Russia, 119017, Moscow, Pyzhevsky lane, 3
References
- Еланский Н.Ф., Шилкин А.В., Пономарев Н.А., Захарова П.В., Качко М.Д., Поляков Т.И. Пространственно-временные вариации содержания загрязняющих примесей в воздушном бассейне Москвы и их эмиссии // Изв. РАН. Физика атмосферы и океана. 2022. Т. 58. С. 92–108. https://doi.org/10.31857/s0002351522010023
- Кадыгров Е.Н. Микроволновая радиометрия атмосферного пограничного слоя-метод, аппаратура, результаты измерений // Оптика атмосферы и океана. 2009. Т. 22. № 7. С. 697–704.
- Ammoura L., Xueref-Remy I., Gros V., Baudic A., Bonsang B., Petit J.-E., Perrussel O., Bonnaire N., Sciare J., Chevallier F. Atmospheric measurements of ratios between CO2 and co-emitted species from traffic: a tunnel study in the Paris megacity // Atmos. Chem. Phys. 2014. V. 14. P. 12 871–12 882. https://doi.org/10.5194/acp-14-12871-2014
- Bakkaloglu S., Lowry D., Fisher R.E., Menoud M., Lanoisell’e M., Chen T., Rockmann, T., Nisbet E.G.A. Stable isotopic signatures of methane from waste sources through atmospheric measurements // Atmos. Environ. 2022. Article 119021.
- Berezina E., Moiseenko K., Skorokhod A., Pankratova N.V., Belikov I., Belousov V., Elansky N.F. Impact of VOCs and NOx on Ozone Formation in Moscow // Atmosphere. 2020. V. 11. P. 1262. https://doi.org/10.3390/atmos11111262
- Berezina E., Moiseenko K., Vasileva A., Pankratova N., Skorokhod A., Belikov I., Belousov V. Emission Ratios and Source Identification of VOCs in Moscow in 2019–2020 // Atmosphere. 2022. V. 13. P. 257. https://doi.org/10.3390/ atmos13020257
- Berezina E., Vasileva A.; Moiseenko K.; Pankratova N.; Skorokhod A., Belikov I.; Belousov V. Atmospheric CH4 and Its Isotopic Composition (δ 13C) in Urban Environment in the Example of Moscow, Russia. Atmosphere. 2023. V. 14. P. 830. https://doi.org/10.3390/atmos14050830
- Canadel J.G., Ciais P., Dhakal S., Dolman H., Friedlingstein P., Gurney K.R., Held A., Jackson R.B., Le Quéré C., Malone E.L., Ojima D.S., Patwardhan A., Peters G.P., Raupach M.R. Interactions of the carbon cycle, human activity, and the climate system: a research portfolio // Curr. Opin. Environ. Sustain. 2010. V. 2. P. 301–311. https://doi.org/10.1016/j.cosust.2010.08.003
- Derwent R.G., Parrish D.D., Simmonds P.G., O’Doherty S.J., Spain T.G. Seasonal cycles in baseline mixing ratios of a large number of trace gases at the Mace Head, Ireland atmospheric research station // Atmos. Env. 2020. V. 233. 117 531.
- Dlugokencky E.J., Myers R.C., Lang P.M., Masarie K.A., Crotwell A.M., Thoning K.W., Hall B.D., Elkins J.W., Steele L.P. Conversion of NOAA atmospheric dry air CH4 mole fractions to a gravimetrically prepared standard scale // J. Geophys. Res. 2005. V. 110. D18306. https://doi.org/10.1029/2005JD006035
- Fishe, R., Lowry D., Wilkin O., Sriskantharaja S., Nisbet E.G. High-precision, automated stable isotope analysis of atmospheric methane and carbon dioxide using continuous flow isotope-ratio mass spectrometry // Rapid Communications in Mass Spectrometry. 2006. V. 20. P. 200–208.
- GAW WMO. Impacts of megacities on air pollution and climate // Rep. № 205. 2012. P. 298.
- Ilyin G.N., Troitsky A.V. Determining the Tropospheric Delay of a Radio Signal by the Radio1metric Method // Radiophysics and Quantum Electronics. 2017. V. 60. № 4. P. 291–299.
- Kelvin H.B., Jacob D.J. A new model mechanism for atmospheric oxidation of isoprene: global effects on oxidants, nitrogen oxides, organic products, and secondary organic aerosol // Atmos. Chem. Phys. 2019. V. 19. P. 9613–9640. https://doi.org/10.5194/acp-19-9613-2019
- Levin I., Glatzel-Mattheier H., Marik T., Cuntz M., Schmidt M., Worthy D.E.J. Verification of German methane emission inventories and their recent changes based on atmospheric observations // J. Geophys. Res. 1999. V. 104. P. 3447–3456.
- Lopez M., Sherwood O.A., Dlugokencky E.J., Kessler R., Giroux L. et al. Isotopic signatures of anthropogenic CH4 sources in Alberta, Canada // Atmospheric Environment. 2017. V. 164. P. 280–288. ffhttps://doi.org/10.1016/j.atmosenv.2017.06.021
- Pankratova N., Skorokhod A., Belikov I., Belousov V., Muravya V., Flint M. Ship-Borne Observations of Atmospheric CH4 and δ13C Isotope Signature in Methane over Arctic Seas in Summer and Autumn 2021 // Atmosphere. 2022. V. 13. P. 390–458. https://doi.org/10.3390/atmos13030458
- Pankratova N., Skorokhod A., Belikov I., Elansky N., Rakitin V., Shtabkin Y., Berezina E. Evidence of atmospheric response to methane emissions from the east Siberian arctic shelf. // Geogr. Environ. Sustain. 2018. V. 11. P. 85–92. https://doi.org/10.24057/2071-9388-2018-11-1-85-92
- Townsend-Small A., Tyler S.C., Pataki D.E., Xu X., Christensen L.E. Isotopic measurements of atmospheric methane in Los Angeles, California, USA: influence of “fugitive” fossil fuel emissions // J. Geophys. Res. Atmos. 2012. V. 117(D7). P. D07308. https://doi.org/10.1029/2011JD016826
- Varga T., Fisher R.E., France J.L., Haszpra L., Jull A.J.T., Lowry D. et al. Identification of potential methane source regions in Europe using δ13CCH4 measurements and trajectory modeling // J. Geophysical Research: Atmospheres. 2021. V. 126. e2020JD033963. https://doi.org/10.1029/2020JD033963
- Wennberg P.O., Mui W., Wunch D., Kort E.A., Blake D.R. Atlas E.L., Santoni G.W., Wofsy S.C., Diskin G.S., Joeng S., Fischer M.L. On the sources of methane to the Los Angeles atmosphere // Environ. Sci. Technol. 2012. V. 46. P. 9282–9289. https://doi.org/10.1021/es301138y
- Wong K.W., Fu D., Pongetti T.J., Newman S., Kort E.A., Duren R., Hsu Y.-K., Miller C.E., Yung Y.L., Sander S.P. Mapping CH4 : CO2 ratios in Los Angeles with CLARS-FTS from MountWilson // California, Atmos. Chem. Phys. 2015. V. 15. P. 241–252. https://doi.org/10.5194/acp-15-241-2015
- Xueref-Remy I., Zazzeri G., Br’eon F.M., Vogel F., Ciais P., Lowry D., Nisbet E.G. Anthropogenic methane plume detection from point sources in the Paris megacity area and characterization of their δ13C signature // Atmos. Environ. 2020. V. 222. 117055. https://doi.org/10.1016/j.atmosenv.2019.117055
- Zazzeri G., Lowry D., Fisher R.E., France J.L., Lanoisellé M., Grimmond C.S.B., Nisbet E.G. Evaluating methane in-ventories by isotopic analysis in the London region // Sci. Rep. 2017. V. 7. 4854. https://doi.org/10.1038/s41598-017-04802-6
Supplementary files














