Фазовый состав и оптические свойства оксинитрида алюминия, легированного железом
- Авторы: Ищенко А.В.1, Ахмадуллина Н.С.2, Пастухов Д.А.1, Леонидов И.И.3, Сиротинкин В.П.2, Лысенков А.С.2, Шишилов О.Н.4, Каргин Ю.Ф.2
-
Учреждения:
- Уральский федеральный университет им. первого Президента России Б.Н. Ельцина
- Институт металлургии и материаловедения им. А.А. Байкова Российской академии наук
- Институт химии твердого тела УрО Российской академии наук
- МИРЭА – Российский технологический университет
- Выпуск: Том 60, № 3 (2024)
- Страницы: 322-330
- Раздел: Статьи
- URL: https://journals.rcsi.science/0002-337X/article/view/274381
- DOI: https://doi.org/10.31857/S0002337X24030083
- EDN: https://elibrary.ru/LKTIUA
- ID: 274381
Цитировать
Полный текст
Аннотация
В статье приведены результаты по синтезу, фазовому составу и оптическим свойствам оксинитрида алюминия Al5O6N, легированного ионами железа в широком диапазоне концентраций: от 0.01 до 5.0 ат. % (относительно алюминия). Все образцы, полученные обжигом смесей Al2O3, AlN и Fe2O3 при температуре 1750°С в токе азота, представляют собой практически однофазный γ-AlON с незначительными примесями нитрида алюминия и неидентифицированных фаз. Ширина запрещенной зоны Eg в AlON:Fe лежит в диапазоне 5.76–5.88 эВ в зависимости от концентрации железа. Обнаружены люминесценция AlON:Fe, обусловленная собственными дефектами и примесными центрами свечения, и зависимость интенсивности люминесценции полос свечения от концентрации Fe в AlON. Присутствие железа в AlON приводит к увеличению оптического поглощения и снижению интенсивности собственной люминесценции.
Ключевые слова
Полный текст
ВВЕДЕНИЕ
Оксинитрид алюминия (Al5O6N или AlON) известен как многофункциональный материал, обладающий высокой термической, химической и механической стабильностью [1]. Он часто используется в качестве оптического материала, в частности матриц люминофоров, поскольку может быть сравнительно легко легирован ионами переходных и редкоземельных металлов (РЗМ) и представляет интерес для источников света от УФ- до ближнего ИК-диапазона [2–7]. В литературе представлены результаты исследований оксинитрида алюминия γ-AlON, легированного ионами Eu2+ [5], Ce3+ [8], Tb3+ [7], Er3+ [9], Yb2+ [2], Cr3+ [10] и Mn2+ [4]. Активно изучаются оптические свойства AlON с двойным легированием, например, Eu2+/Ce3+ [11, 12], Eu2+/Tb3+ [12, 13] и Ce3+/Tb3+ [12].
На сегодняшний день для оксинитрида алюминия, легированного перечисленными ионами, описаны особенности синтеза, пределы растворимости легирующих ионов и фазовый состав при превышении этих пределов [6, 14–16]. В случае РЗМ примесные фазы в основном представляют собой алюминаты MIIIAl11O18 и MIIAl12O19 [17]. Несмотря на достаточно большой объем информации в литературе по оксинитриду алюминия, содержащему РЗМ, сведения о свойствах AlON, легированного переходными металлами, практически отсутствуют. Недавно нами были начаты исследования оксинитридов Al5O6N:Ti [18] и Al5O6N:Co [19], в частности, кинетики образования, фазового состава и оптических свойств.
В данной работе мы продолжаем исследование оксинитрида алюминия, легированного ионами 3d-металлов, а именно, для случая железа. Актуальность исследования дополнительно обусловлена тем, что в работах [18, 19] высказано предположение об участии ионов железа в процессах люминесценции в AlON в красной и ближней ИК-областях.
ЭКСПЕРИМЕНТАЛЬНАЯ ЧАСТЬ
Исходные вещества. В качестве исходных компонентов для синтеза образцов AlON, легированных железом, использовали изопропоксид алюминия Al(OiPr)3 квалификации “х. ч.”, оксид железа Fe2O3 (“х. ч.”), моногидрат лимонной кислоты (“х. ч.”) и нитрид алюминия AlN, синтезированный методом самораспространяющегося высокотемпературного синтеза в ИСМ РАН (г. Черноголовка)1. В качестве растворителей использовали дистиллированную воду и изопропанол квалификации “х. ч.” без дополнительной очистки. Оксид алюминия получали золь–гель-методом из изопропоксида алюминия [18].
Синтез AlON:Fe. Образцы AlON:Fe были приготовлены методом высокотемпературного обжига смесей порошков оксида алюминия, нитрида алюминия и оксида железа (III). Смеси готовились путем интенсивного перетирания с ацетоном в агатовой ступке с последующей сушкой при 120°С на воздухе. Смеси компактировались, полученные таблетки обжигали в токе азота под давлением в 1 атм при температуре 1750°С в течение 2 ч. Подъем температуры вели со скоростью ~400°C/ч, после обжига смеси давали остыть естественным путем в токе азота. Описанным способом были приготовлены образцы с содержанием железа 0, 0.01, 0.05, 0.1, 0.2, 0.5, 1.0, 2.5 и 5.0 ат. % (относительно алюминия), которые обозначены, например, как AlON:0.01Fe, или кратко 0.01Fe.
Рентгенофазовый анализ. Фазовый состав исходных порошков и полученных образцов устанавливали методом рентгенофазового анализа на дифрактометре Ultima IV (CuKα-излучение).
Спектроскопия комбинационного рассеяния (КРС). Регистрация КРС-спектров осуществлена с помощью конфокального микроскопа Renishaw inVia Reflex с конфигурацией, описанной ранее [18]. В качестве источника возбуждения использовался Nd:YAG-лазер Renishaw с длиной волны 532.1 нм при мощности около 3 мВт на образце.
Спектры диффузного отражения. Спектры регистрировали на спектрофотометре Shimadzu UV-2450 с использованием интегрирующей сферы ISR-2200 в диапазоне длин волн 200–850 нм.
Спектры импульсной катодолюминесценции (ИКЛ). Спектры измеряли на установке КЛАВИ-Р [20], оборудованной импульсным ускорителем РАДАН-ЭКСПЕРТ с энергией 150 кэВ, длительностью импульса 2 нс, плотностью тока 150 А/см2. Спектры ИКЛ регистрировали ПЗС-сенсором Sony ILX511 с электронно-оптическим преобразователем в диапазоне 350–850 нм при комнатной температуре со временем интегрирования 20 мс.
РЕЗУЛЬТАТЫ И ОБСУЖДЕНИЕ
Фазовый состав AlON:Fe. Образцы AlON:Fe были охарактеризованы данными порошковой рентгеновской дифракции. Дифрактограммы представлены на рис. 1 в линейном и логарифмическом масштабах. Индицирование дифрактограмм полученных образцов показывает, что основные рефлексы соответствуют фазе γ-AlON (PDF2, карточка [48-0686]) с небольшой примесью нитрида алюминия (PDF2, карточка [65-3409]), который является основной примесной фазой. Дополнительно во всех образцах присутствует неидентифицированная фаза (НФ), содержащаяся в незначительных количествах (отмечена на рис. 1 как НФ1). Общее содержание примеси AlN и фазы НФ1 в образцах не превышает 3–5 об. %.
Рис. 1. Дифрактограммы образцов в линейном (а) и логарифмическом (б) масштабе AlON:Fe (НФ1 и НФ2 – неидентифицированные фазы)
Добавка в исходную смесь оксида железа даже в минимальной концентрации (0.01 ат. %) при синтезе γ-AlON позволяет исключить формирование примеси α-Al2O3 (PDF2, карточка [82-1399]), присутствие которой наблюдается в образце AlON:0Fe (рис. 1). Подобный результат зафиксирован при синтезе AlON, легированного титаном [18] и кобальтом [19].
При увеличении содержания оксида железа в реакционной смеси до 0.2 ат. % и более на дифрактограммах, кроме примеси AlN и фазы НФ1, наблюдается появление дополнительных пиков (фаза НФ2, рис. 1б), однозначная идентификация которых вызывает затруднения. Их интенсивность относительно пиков оксинитрида алюминия монотонно возрастает с увеличением содержания оксида железа от 0.2 до 5 ат. %, что позволяет предположить в качестве их источника железосодержащие фазы. В частности, описываемые пики могут быть отнесены к алюминату железа FeAl2O4 (PDF-2, карточка [03-0894]) либо к кубической модификации нитрида алюминия (PDF-2, карточка [46-1200]), поскольку обе упомянутые фазы имеют интенсивные пики при ~44.8° и 65.2°. Близость положения этих рефлексов к α-Fe (2θ = 44.67°, 65.018°, карточка [06-0696]) вряд ли может быть связана с его образованием, так как более вероятна возможность образования твердого раствора железа в нитриде алюминия AlN:Fe (Al1−xFexN с 0 ≤ x ≤ 0.136 [21]). Кроме того, изоструктурность γ-AlON и герценита FeAl2O4, имеющих структуру шпинели (пр. гр. Fdm) с близкими параметрами кубической элементарной ячейки (7.950 и 8.12 Å соответственно), предопределяет возможность их взаимной растворимости с образованием твердых растворов.
Параметры кристаллической решетки основной фазы AlON в синтезированных образцах были уточнены с помощью пакета Profex [22] методом Ритвельда. При аппроксимации дифрактограмм критерий χ2 не превышал значения 2.5 без учета пиков от неидентифицированных фаз НФ1 и НФ2. В результате оценки выявлено, что при увеличении концентрации железа в исходной смеси постоянная решетки оксинитрида алюминия закономерно уменьшается с 7.950 до 7.945 Å (рис. 2). Образец AlON:0Fe не подчиняется данной зависимости предположительно из-за отличий в стехиометрическом составе, на что указывает присутствие фазы α-Al2O3. Уменьшение постоянной решетки при увеличении содержания железа может быть связано с тем, что ионы железа занимают вакансии алюминия VAl, а не замещают ионы Al3+. В работе [23] в рамках модели кристаллической структуры γ-AlON c полностью заполненными анионными позициями (модель постоянных анионов) показано, что заселенность позиций алюминия заметно ниже 1, причем большая часть дефектов VAl приходится на октаэдрические позиции 16d, которые наиболее выгодны для ионов железа при их внедрении в шпинельную структуру. Появление дополнительных катионов в этих позициях, возможно, приводит к уменьшению постоянной решетки, что, однако, требует дополнительных исследований.
Рис. 2. Зависимость постоянной решетки фазы AlON от концентрации железа
КРС-спектроскопия. В КРС-спектрах AlON:Fe c концентрацией железа 0.01, 0.1, 1 и 5 ат. % (рис. 3) наблюдаются интенсивные полосы с максимумами при 230 и 311 см−1, несколько перекрывающихся полос при 260, 370, 416, 467, 510, 540, 583 см−1 и слабая широкая полоса в диапазоне 700–840 см−1.
Рис. 3. Спектры КРС образцов AlON:Fe c содержанием железа 0.01, 0.1, 1.0 и 5.0 ат. %
Зарегистрированные КРС-спектры образцов нетипичны для спектров AlON, представленных в литературе [24]. Так, в спектрах AlON:Fe отсутствуют широкие интенсивные полосы в области 600–1000 см–1. Однако при этом обнаруживаются узкие линии с максимумами при 613, 658, 670, 894 и 910 см−1, относящиеся к колебаниям решетки AlN структурного типа вюрцита [25], присутствующего в виде примесной фазы во всех образцах. Линии колебаний AlN максимальной интенсивности проявляются в спектре образца AlON:0.1Fe. Однако данное обстоятельство не является свидетельством повышенного содержания фазы AlN, так как спектр КРС образца AlON:0.1Fe с хорошим соотношением сигнал/шум удалось успешно зарегистрировать лишь в области поверхности с повышенным содержанием примеси AlN, которая, как было показано ранее, присутствует в AlON в виде зерен размером до нескольких микрометров [19].
Согласно результатам [26], интенсивная полоса с максимумом 307–312 см−1 типична для AlON и относится к деформационной моде кристаллической решетки типа “растяжение–сжатие” T2g. Слабая полоса в области 700–840 см–1 отнесена к симметричным растяжениям тетраэдров AlO4. Идентификация остальных наблюдаемых полос является предметом отдельного исследования. Профили КРС-спектров показывают, что образцы AlON:Fe изоструктурны ранее исследованным AlON:Ti [18] и AlON:Co [19] с содержанием легирующих ионов до 5 ат. %.
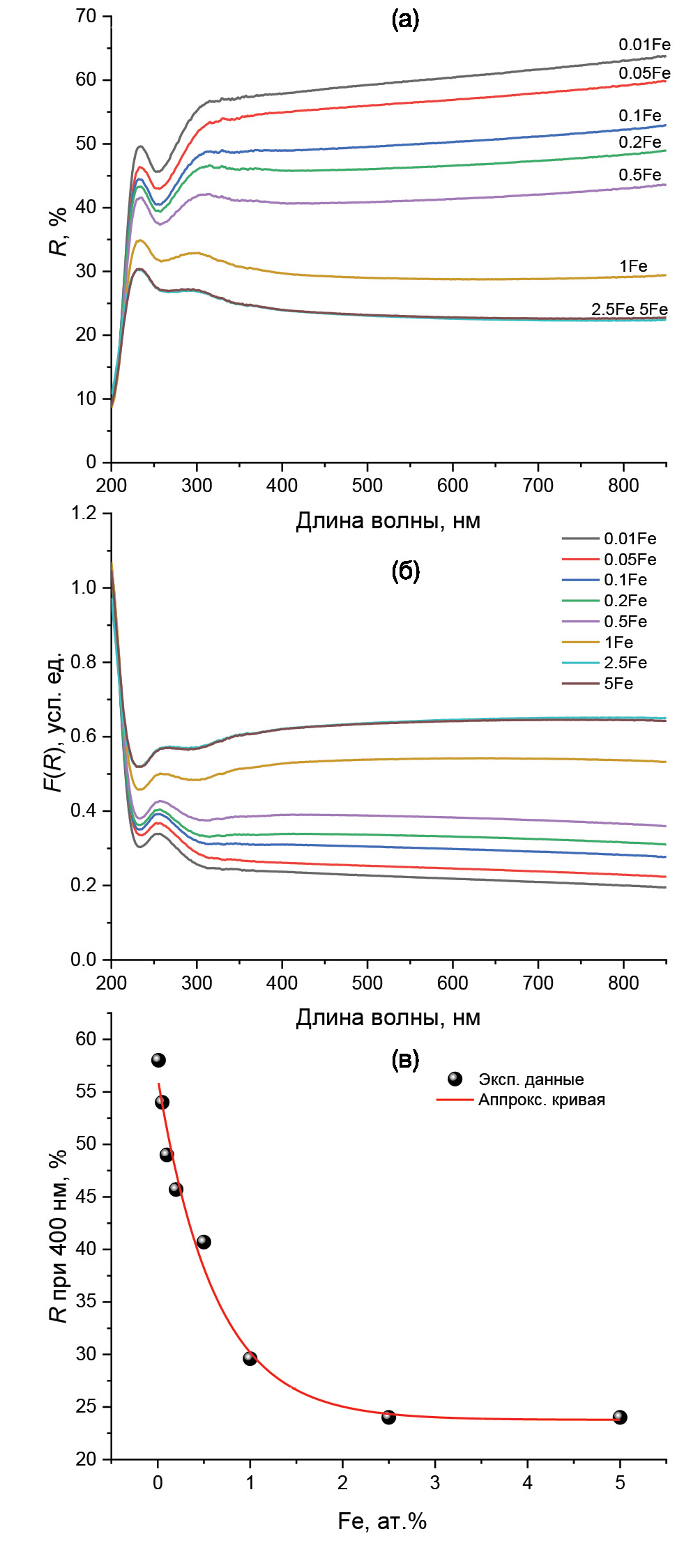
Оптические свойства. Спектры диффузного отражения образцов AlON:Fe (рис. 4а) показывают, что при увеличении концентрации железа в AlON коэффициент отражения образцов уменьшается с 58 до 24% на длине волны 400 нм по экспоненциальному закону (рис. 4в).
Рис. 4. Спектры пропускания (a), поглощения (б) и зависимость коэффициента отражения на длине волны 400 нм образцов AlON:Fe от концентрации железа (в) образцов AlON:Fe
Спектры поглощения (рис. 4б) AlON:Fe получены расчетным путем с помощью выражения Кубелки–Мунка [27] F(R) = (1−R)2/(2R), где F(R) – функция Кубелки–Мунка, пропорциональная показателю поглощения, R – коэффициент отражения. При увеличении концентрации железа наблюдается рост величины поглощения в диапазоне 230–850 нм. Для всех образцов наблюдается полоса поглощения с максимумом 255 нм, которая типична для AlON [18, 19] и связана с электронными переходами в дефектах типа VAl [28].
Наличие в спектрах поглощения (рис. 4б) ярко выраженного края фундаментального поглощения позволяет оценить оптическую ширину запрещенной зоны методом Тауца [29]. Для этого спектры поглощения были перестроены в координатах Тауца (рис. 5а) в соответствии с выражением (ahν)1/n = A(hν−Eg), где Eg – ширина запрещенной зоны, h – постоянная Планка, ν – частота, a – коэффициент поглощения, А – коэффициент пропорциональности, n – показатель степени, равный ½ для прямых разрешенных электронных переходов, характерных для AlON [19, 30]. На спектрах, построенных в координатах Тауца (рис. 5а), обнаруживается участок в области 5.5–6.5 эВ, который может быть аппроксимирован прямой линией до пересечения с осью абсцисс для определения Eg. Однако описанная выше процедура для AlON может приводить к значительной погрешности при оценке Eg вследствие наличия полосы поглощения с максимумом 255 нм и значительной фоновой составляющей. Для корректной оценки Eg методом Тауца была использована методика [18, 19], в которой для устранения влияния описанных выше факторов проводилось вычитание фоновой линии из спектров поглощения. Пример оценки Eg без коррекции и с коррекцией приведен на рис. 5в, 5г для образца AlON:5Fe. Для нескорректированных спектров AlON:5Fe значение Eg равно 5.61 эВ для скорректированных 5.86 эВ.
Рис. 5. Спектры поглощения в координатах Тауца (а), зависимость Eg от концентрации Fe (б) образцов AlON:Fe и пример оценки Eg для образца AlON:5Fe со спектрами без коррекции (в) и с коррекцией (г)
Значения Eg, вычисленные для всех образцов, представлены в графическом виде на рис. 5б. Видно, что в диапазоне концентраций железа 0.01–1.0 ат. % величина Eg лежит в диапазоне 5.76–5.82 эВ. При дальнейшем увеличении концентрации железа Eg возрастает до 5.87–5.88 эВ.
Спектры ИКЛ образцов AlON:Fe (рис. 6а) представляют собой широкие полосы люминесценции с максимумами при 495, 595 и 760 нм. Узкие пики в области 350-500 нм принадлежат свечению молекулярного азота N2 в воздухе при воздействии катодного пучка. Самой интенсивной эмиссией обладает образец с минимальным содержанием железа AlON:0.01Fe.
Рис. 6. Спектры ИКЛ образцов AlON:Fe (а), аппроксимация экспериментального спектра ИКЛ на примере образца AlON:0.01Fe четырьмя гауссианами (б) и зависимости интенсивности ИКЛ (оси ординат отмечены цветом в соответствии с цветом графика) полос свечения B1, B2, B3 и B5 от концентрации Fe в AlON (в)
Анализ спектров ИКЛ осуществлен путем аппроксимации экспериментальных данных, которая проводилась одновременно по всем экспериментальным спектрам с единым критерием χ2 функцией, состоящей из четырех гауссовых компонент с одинаковыми положением максимумов и полушириной для всех спектров. Интенсивность каждой компоненты подобрана индивидуально для всех спектров ИКЛ. Результат аппроксимации приведен на рис. 6б на примере образца AlON:0.01Fe. Обозначение полос аналогично тем, что приведены в работах [18, 19]: B1, B2, B3, B4 и B5. В спектрах AlON:Fe обнаружены четыре полосы B1, B2, B3 и B5 с максимумами 3.11 (398), 2.52 (492), 2.06 (602) и 1.68 эВ (738 нм) и полуширинами 0.55, 0.61, 0.14 и 0.38 эВ соответственно. Полосы B1 и B4 относятся к излучательным переходам в AlN [19]. Полоса B4 в спектрах AlON:Fe не зарегистрирована. Являющаяся одной из самых интенсивных полоса B2 в AlON принадлежит к излучению дефектов типа [V‴Al–3O•N]. Полосы B3 и B5 были ранее отнесены к излучению примесных ионов в AlON, таких как Fe, Mn, Ti [18, 19]. Для выяснения природы полос были построены зависимости их интенсивности от концентрации железа (рис. 6в). Интенсивность полосы B5 в отличие от полос B1–B3 достигает максимума при 0.2 ат. % Fe и последовательно снижается в диапазоне концентраций 0.2–5 ат. %. Такое поведение типично для концентрационной зависимости интенсивности примесной люминесценции, что может указывать на вовлеченность ионов железа в процессы переноса заряда, связанные с полосой B5. Резкое снижение интенсивности свечения всех полос люминесценции при концентрации Fe более 0.2–0.5 ат. % (рис. 6в) связано с образованием примесной железосодержащей фазы и ростом оптического поглощения. Полоса B3 может принадлежать к люминесценции ионов Mn, что, однако, требует экспериментальной проверки.
ЗАКЛЮЧЕНИЕ
Образцы AlON, легированные 0.01–5 ат. % железа, синтезированы методом высокотемпературного обжига смесей порошков Al2O3, полученного золь-гель методом из изопропоксида алюминия, нитрида алюминия и оксида железа (III). Рентгенофазовый анализ показал наличие основой фазы γ-AlON с примесью AlN и небольшого количества неидентифицированной фазы для всех синтезированных образцов. Дополнительная железосодержащая фаза появляется при концентрациях железа 0.2 ат. % и более.
Наличие ионов железа в AlON не приводит к появлению новых полос поглощения в оптическом диапазоне спектра, однако способствует увеличению величины поглощения. Ширина запрещенной зоны Eg AlON также зависит от концентрации железа и лежит в диапазоне 5.76–5.88 эВ. В спектрах ИКЛ AlON:Fe обнаружены полосы свечения, которые относятся к люминесценции примеси AlN, собственных дефектов типа [V‴Al–3O•N] и примесной люминесценции, предположительно, ионов Mn. полос люминесценции с максимумами 398 (3.11), 492 (2.52) и 602 нм (2.06 эВ) Легирование AlON ионами железа приводит к тушению полос люминесценции с максимумами 398 (3.11), 492 (2.52) и 602 нм (2.06 эВ). Максимальная интенсивность полосы при 738 нм (1.68 эВ) достигается при 0.2 ат. % Fe. Резкое снижение интенсивности свечения всех полос люминесценции при концентрации Fe более 0.2–0.5 ат. % связано с образованием примесной железосодержащей фазы и ростом оптического поглощения.
ФИНАНСИРОВАНИЕ РАБОТЫ
Работа выполнена при поддержке Российского научного фонда, проект № 22-23-00958.
КОНФЛИКТ ИНТЕРЕСОВ
Авторы заявляют, что у них нет конфликта интересов.
1 Технический порошок нитрида алюминия для клеев и герметиков; содержание основного вещества: не менее 96%.
Об авторах
А. В. Ищенко
Уральский федеральный университет им. первого Президента России Б.Н. Ельцина
Автор, ответственный за переписку.
Email: a-v-i@mail.ru
Россия, Екатеринбург
Н. С. Ахмадуллина
Институт металлургии и материаловедения им. А.А. Байкова Российской академии наук
Email: a-v-i@mail.ru
Россия, Москва
Д. А. Пастухов
Уральский федеральный университет им. первого Президента России Б.Н. Ельцина
Email: a-v-i@mail.ru
Россия, Екатеринбург
И. И. Леонидов
Институт химии твердого тела УрО Российской академии наук
Email: a-v-i@mail.ru
Россия, Екатеринбург
В. П. Сиротинкин
Институт металлургии и материаловедения им. А.А. Байкова Российской академии наук
Email: a-v-i@mail.ru
Россия, Москва
А. С. Лысенков
Институт металлургии и материаловедения им. А.А. Байкова Российской академии наук
Email: a-v-i@mail.ru
Россия, Москва
О. Н. Шишилов
МИРЭА – Российский технологический университет
Email: a-v-i@mail.ru
Россия, Москва
Ю. Ф. Каргин
Институт металлургии и материаловедения им. А.А. Байкова Российской академии наук
Email: a-v-i@mail.ru
Россия, Москва
Список литературы
- Mittal D., Hostaša J., Silvestroni L., Esposito L., Mohan A., Kumar R., Sharma S.K. Tribological Behaviour of Transparent Ceramics: A Review // J. Eur. Ceram. Soc. 2022. V. 42. № 14. P. 6303–6334. https://doi.org/10.1016/j.jeurceramsoc.2022.06.080
- Ayman M.T., Chung W.J., Lee H., Yoon D.-H. Fabrication and Photoluminescence of γ-AlON:Sm and Yb // J. Eur. Ceram. Soc. 2022. V. 42. № 4. P. 1348–1353. https://doi.org/10.1016/j.jeurceramsoc.2021.12.015
- Akhmadullina N.S., Lysenkov A.S., Ashmarin A.A., Baranchikov A.E., Ishchenko A.V., Yagodin V.V., Shul’gin B.V., Kargin Y.F. Synthesis and Luminescence Properties of Eu2+- and Ce3+-doped AlONs // Ceram. Int. 2016. V. 42. № 1. Рart A. P. 286–293. https://doi.org/10.1016/j.ceramint.2015.08.107
- Dong Q., Yang F., Cui J., Tian Y., Liu S., Du F., Peng J., Ye X. Enhanced Narrow Green Emission and Thermal Stability in γ-AlON: Mn2+, Mg2+ Phosphor Via Charge Compensation // Ceram. Int. 2019. V. 45. № 9. P. 11868–11875. https://doi.org/10.1016/j.ceramint.2019.03.069
- Jian X., Wang H., Lee M.-H.H., Tian W., Chen G.-Z.Z., Chen W.-Q.Q., Ji W.-W.W., Xu X., Yin L.-J.J. Insight the Luminescence Properties of AlON: Eu, Mg Phosphor under VUV Excitation // Materials (Basel). 2017. V. 10. № 7. P. 723. https://doi.org/10.3390/ma10070723
- Ахмадуллина Н.С., Шишилов О.Н., Каргин Ю.Ф. Эффекты сенсибилизации в нитридных материалах, легированных ионами редкоземельных металлов // Изв. АН Сер. хим. 2020. Т. 69. № 5. С. 825–837. https://doi.org/10.1007/s11172-020-2841-4
- Ахмадуллина Н.С., Ищенко А.В., Ягодин В.В., Лысенков А.С., Сиротинкин В.П., Каргин Ю.Ф., Шульгин Б.В. Синтез и люминесцентные свойства оксинитрида алюминия, легированного Tb3+ // Неорган. материалы. 2019. Т. 55. № 12. С. 1298–1304. https://doi.org/ 10.1134/S0002337X19120017
- Chen C.F., Yang P., King G., Tegtmeier E.L. Processing of Transparent Polycrystalline AlON:Ce3+ Scintillators // J. Am. Ceram. Soc. 2016. V. 99. № 2. P. 424–430. https://doi.org/10.1111/jace.13986
- Zhang L., Luo H., Zhou L., Liu Q., Li J., Zhang W. Preparation of γ‐Aluminum Oxynitride Phosphor with Eu Doping by Direct Nitridation in Ammonia and Postannealing // J. Am. Ceram. Soc. 2018. V. 101. № 8. P. 3299–3308. https://doi.org/10.1111/jace.15494
- Liu L., Zhang J., Wang X., Hou W., Liu X., Xu M., Yang J., Liang B. Preparation and Fluorescence Properties of a Cr3+:γ-AlON Powder by High Temperature Solid State Reaction // Mater. Lett. 2020. V. 258. P. 126811. https://doi.org/10.1016/j.matlet.2019.126811
- Chen L., Du F., Liang Y., Zhu Y., Xiao Y., Peng J. A Study on Photoluminescence and Energy Transfer of γ-AlON:Ce3+,Eu2+ Phosphors for Application in Full-visible-spectrum LED Lighting // Displays. 2022. V. 71. P. 102147. https://doi.org/10.1016/j.displa.2021.102147
- Akhmadullina N.S., Ishchenko A. V., Lysenkov A.S., Shishilov O.N., Kargin Y.F. Synthesis and Luminescence Properties of Eu2+/Ce3+, Ce3+/Tb3+ and Eu2+/Tb3+ co-doped AlONs // J. Alloys Compd. 2021. V. 887. P. 161410. https://doi.org/10.1016/j.jallcom.2021.161410
- Zhang J., Ma C., Wen Z., Du M., Long J., Ma R., Yuan X., Li J., Cao Y. Photoluminescence and Energy Transfer Properties of Eu2+ and Tb3+ Co-doped Gamma Aluminum Oxynitride Powders // Opt. Mater. 2016. V. 58. P. 290–295. https://doi.org/10.1016/j.optmat.2016.05.048
- Tsabit A.M., Yoon D.-H. Transparent Polycrystalline γ-AlON Fabricated Using a Hybrid Sintering Process // Scr. Mater. 2021. V. 194. P. 113715. https://doi.org/10.1016/j.scriptamat.2020.113715
- Tsabit A.M., Yoon D.-H. Review on Transparent Polycrystalline Ceramics // J. Korean Ceram. Soc. 2022. V. 59. № 1. P. 1–24. https://doi.org/10.1007/s43207-021-00140-6
- Каргин Ю.Ф., Ахмадуллина Н.С., Лысенков А.С., Сиротинкин В.П., Шамрай В.Ф. Синтез и рентгеноструктурное исследование твердых растворов γ-оксонитрида алюминия // Журн. неорган. химии. 2020. Т. 65. № 9. С. 1192–1197. https://doi.org/10.31857/S0044457X20090056
- Ахмадуллина Н.С., Лысенков А.С., Ашмарин А.А., Каргин Ю.Ф., Ищенко А.В., Ягодин В.В., Шульгин Б.В. Влияние концентрации легирующей примеси на фазовый состав и люминесцентные свойства AlON, легированных Eu2+ и Ce3+ // Неорган. матералы 2015. Т. 51. № 5. С. 529–537. https://doi.org/ 10.7868/S0002337X15050012
- Ishchenko A.V., Akhmadullina N.S., Leonidov I.I., Sirotinkin V.P., Skvortsova L.G., Shishilov O.N., Zhidkov I.S., Kukharenko A.I., Kargin Y.F. Synthesis and Spectroscopic Properties of Aluminum Oxynitride Doped with 3d-metal Ions: The Case of γ-AlON:Ti // J. Alloys Compd. 2023. V. 934. P. 167792. https://doi.org/10.1016/j.jallcom.2022.167792
- Ishchenko A. V., Akhmadullina N.S., Leonidov I.I., Sirotinkin V.P., Skvortsova L.G., Mandrygina D.A., Shishilov O.N., Zhidkov I.S., Kukharenko A.I., Weinstein I.A., Kargin Y.F. Synthesis and Spectroscopic Properties of Aluminum Oxynitride Doped with 3d-metal Ions: the Case of γ-AlON:Co [Electronic resource] // Res. Square. 2023. P. 26. https://doi.org/10.21203/rs.3.rs-3221329/v1
- Solomonov V.I., Michailov S.G., Lipchak A.I., Osipov V. V., Shpak V.G., Shunailov S.A., Yalandin M.I., Ulmaskulov M.R. CLAVI Pulsed Cathodoluminescence Spectroscope // Laser Phys. 2006. V. 16. № 1. P. 126–129. https://doi.org/10.1134/S1054660X06010117
- Хлудков С.С., Прудаев И.А., Корень Л.О., Толбанов О.П., Ивонин И.В. Нитрид алюминия, легированный атомами группы переходных металлов, как материал для спинтроники // Изв. вузов. Физика. 2020. Т. 63. № 11. С. 162–172. https://doi.org/10.17223/00213411/63/11/162
- Doebelin N., Kleeberg R. Profex : A Graphical User Interface for the Rietveld Refinement Program BGMN // J. Appl. Crystallogr. 2015. V. 48. № 5. P. 1573–1580. https://doi.org/10.1107/S1600576715014685
- Каргин Ю.Ф., Ахмадуллина Н.С., Лысенков А.С., Сиротинкин В.П., Шамрай В.Ф. Синтез и рентгеноструктурное исследование твердых растворов γ-оксонитрида алюминия // Журн. неорган. химии. 2020. Т. 65. № 9. С. 1192–1197. https://doi.org/10.31857/S0044457X20090056
- Guo J.J., Wang K., Fujita T., McCauley J.W., Singh J.P., Chen M.W. Nanoindentation Characterization of Deformation and Failure of Aluminum Oxynitride // Acta Mater. 2011. V. 59. № 4. P. 1671–1679. https://doi.org/10.1016/j.actamat.2010.11.034
- Kudyakova V.S., Leonidov I.I., Chaikin D. V., Shishkin R.A., Zamyatin D.A., Weinstein I.A. Microstructure and Luminescence Properties of the High Pressure High Temperature Sintered AlN–TiN Ceramics // Ceram. Int. 2021. V. 47. № 12. P. 16876–16881. https://doi.org/10.1016/j.ceramint.2021.02.263
- Zheng K., Wang H., Xu P., Gu H., Tu B., Wang W., Liu S., Fu Z. Effect of Nitrogen Content on Optical Properties of Transparent γ-AlON Polycrystalline Ceramics // J. Eur. Ceram. Soc. 2021. V. 41. № 7. P. 4319–4326. https://doi.org/10.1016/j.jeurceramsoc.2021.02.047
- Kubelka P., Munk F. Ein eitrag zur optik der farbanstriche // Z. Tech. Phys. 1931. V. 12. P. 593–601
- Du X., Yao S., Jin X., Chen H., Li W., Liang B. Radiation Damage and Luminescence Properties of Gamma Aluminum Oxynitride Transparent Ceramic // J. Phys. D.: Appl. Phys. 2015. V. 48. № 34. P. 345104. https://doi.org/10.1088/0022-3727/48/34/345104
- Tauc J. Optical Properties and Electronic Structure of Amorphous Ge and Si // Mater. Res. Bull. 1968. V. 3. № 1. P. 37–46. https://doi.org/10.1016/0025-5408(68)90023-8
- Zhang X., Gao S., Li Z., Zhao H., Zeng Q. First-principles Study of the Electronic Structure and Optical Properties of Eu2+–M (M = Mn2+, Mg2+, Li+) co-Doped γ-AlON Phosphor // Ceram. Int. 2019. V. 45. № 6. P. 7778–7784. https://doi.org/10.1016/j.ceramint.2019.01.082
Дополнительные файлы









