Structural, Dielectric, and Ferroelectric Properties of a BiFeO3/Sr0.5Ba0.5Nb2O6/Pt(001)/MgO(001) Heterostructure
- Authors: Pavlenko A.V.1,2, Matyash Y.Y.3, Stryukov D.V.3, Malomyzheva N.V.2
-
Affiliations:
- Southern Scientific Center (Federal Research Center), Russian Academy of Sciences
- Research Institute of Physics, Southern Federal University
- Federal Research Centre Southern Scientific Centre of the Russian Academy of Sciences
- Issue: Vol 59, No 7 (2023)
- Pages: 814-821
- Section: Articles
- URL: https://journals.rcsi.science/0002-337X/article/view/231935
- DOI: https://doi.org/10.31857/S0002337X23070126
- EDN: https://elibrary.ru/QSGOST
- ID: 231935
Cite item
Full Text
Abstract
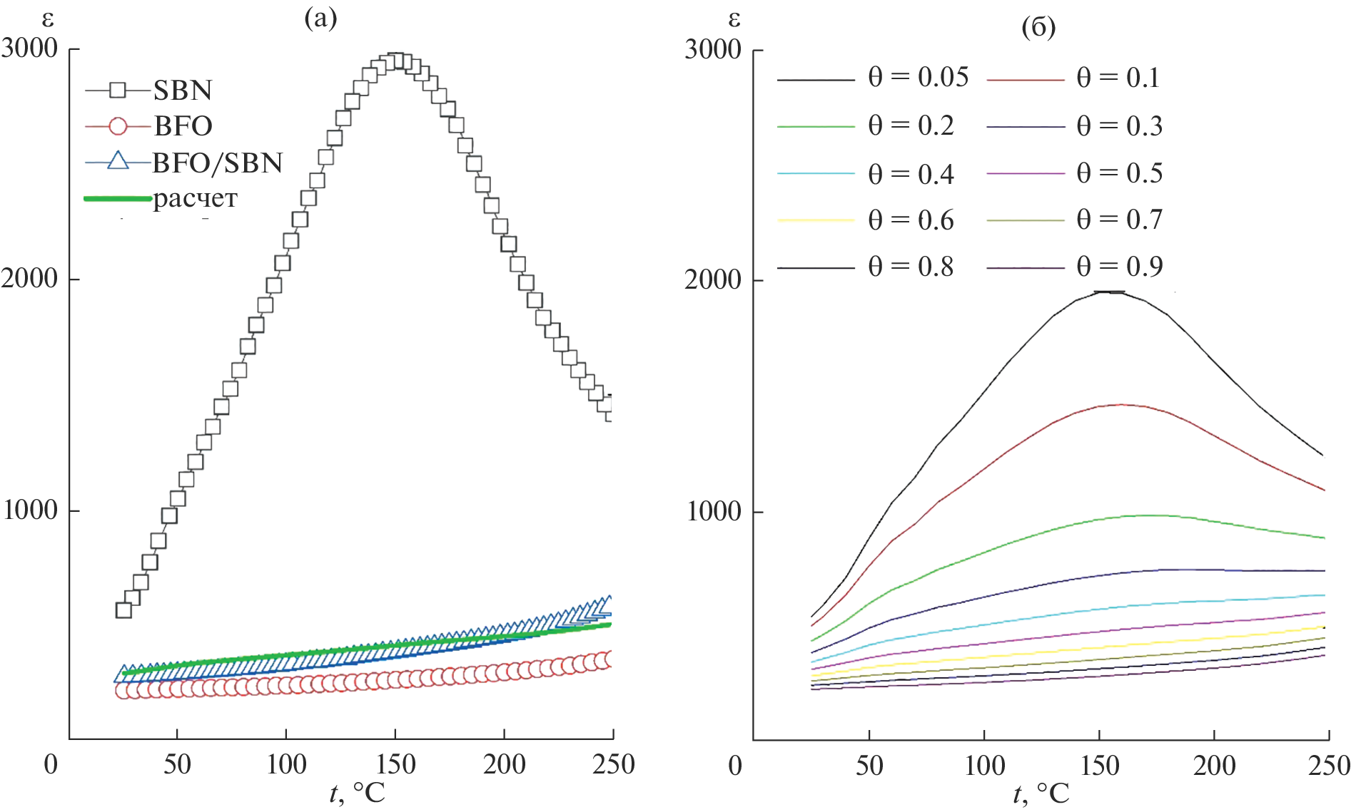
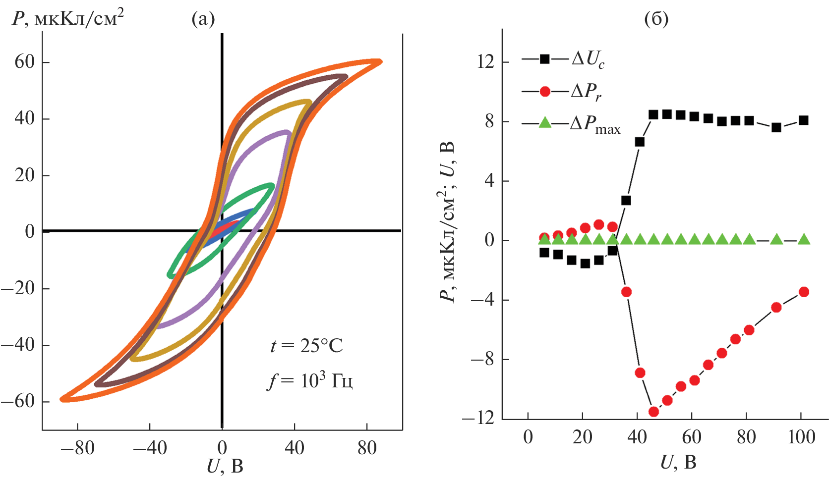
Using rf cathode sputtering in an oxygen atmosphere, we produced a heterostructure based on the bismuth ferrite (BFO) multiferroic and barium strontium niobate (SBN) ferroelectric: BiFeO3(1000 nm)/Sr0.5Ba0.5Nb2O6(1000 nm)/Pt(001)/MgO(001). It was free of impurity phases and had a root mean square surface roughness within 1% of its thickness. All of the layers in the heterostructure were grown epitaxially. The SBN-50 layer consisted of orientation domains tilted in the plane of the interface by ±18.4° with respect to the MgO substrate axes, and the crystallographic axes of the BFO and Pt layers were parallel to the substrate axes. The ferroelectric polarization of the material at U = 90 V was shown to be 59.3 μC/cm2. Our results demonstrate that, to describe the behavior of the relative dielectric permittivity (ε) of the heterostructure in the range 25–250°C, it is sufficient to take into account the ε(t) data for each layer. The mechanisms underlying the observed effects are discussed.
About the authors
A. V. Pavlenko
Southern Scientific Center (Federal Research Center), Russian Academy of Sciences; Research Institute of Physics, Southern Federal University
Email: antvpr@mail.ru
344006, Rostov-on-Don, Russia; 344090, Rostov-on-Don, Russia
Ya. Yu. Matyash
Federal Research Centre Southern Scientific Centre of the Russian Academy of Sciences
Email: avnazarenko1@gmail.com
Russia, 344006, Rostov-on-Don
D. V. Stryukov
Federal Research Centre Southern Scientific Centre of the Russian Academy of Sciences
Email: avnazarenko1@gmail.com
Russia, 344006, Rostov-on-Don
N. V. Malomyzheva
Research Institute of Physics, Southern Federal University
Author for correspondence.
Email: antvpr@mail.ru
344090, Rostov-on-Don, Russia
References
- Воротилов К.А., Мухортов В.М., Сигов А.С. Интегрированные сегнетоэлектрики. М.: Энергоатомиздат, 2011. 175 с.
- Гриценко В.А., Исламов Д.Р. Физика диэлектрических пленок: механизмы транспорта заряда и физические основы приборов памяти. Новосибирск: Параллель, 2017. 352 с.
- Мухортов В.М., Головко Ю.И., Толмачев Г.Н. Создание наноразмерных монокристаллических пленок сложных оксидов путем трехмерного упорядочения атом–кластер–кристалл // Вестн. Южного науч. центра РАН. 2006. Т. 2. № 1. С. 30.
- Зинченко С.П., Стрюков Д.В., Павленко А.В., Мухортов В.М. Влияние подслоя Ba0.2Sr0.8TiО3 на структуру и электрофизические характеристики пленок цирконата-титаната свинца на подложке Si(001) // ПЖТФ. 2020. Т. 46. Вып. 23. С. 41–44. https://doi.org/10.21883/PJTF.2020.23.50348.18476
- Стрюков Д.В., Мухортов В.М., Головко Ю.И., Бирюков С.В. Особенности сегнетоэлектрического состояния в двухслойных гетероструктурах на основе титаната бария-стронция // ФТТ. 2018. Т. 60. № 1. С. 113–117.
- Вербенко И.А., Глазунова Е.В., Дудкина С.И., Резниченко Л.А. Экологически чистые интеллектуальные материалы с особыми электрическими и магнитными свойствами. Пути поиска: модифицирование (Т. 1). Ростов н/Д.: Фонд науки и образования, 2020. 328 с.
- Физика сегнетоэлектриков: современный взгляд / Под ред. Рабе К.М. и др. пер. с англ. 4-е изд., электрон. М.: Лаборатория знаний, 2020. 443 с.
- Okatan M.B., Misirlioglu I.B., Alpay S.P. Contribution of Space Charges to the Polarization of Ferroelectric Superlattices and its Effect on Dielectric Properties // Phys. Rev. B. 2010. V. 82. P. 094115.
- Кузьминов Ю.С. Сегнетоэлектрические кристаллы для управления лазерным излучением. M.: Наука, 1982. 400 с.
- Павленко А.В., Стрюков Д.В., Кубрин С.П. Фазовый состав и структура пленки BiFeO3, выращенной на подложке MgO(001) методом ВЧ-катодного распыления в атмосфере O2 // ФТТ. 2022. Т. 64. Вып. 2. С. 218–222.
- Павленко А.В., Захарченко И.Н., Кудрявцев Ю.А., Киселева Л.И., Алихаджиев С.Х. Структурные характеристики тонких пленок Sr0.5Ba0.5Nb2O6 в интервале температур 20–500°C // Неорган. материалы. 2020. Т. 56. № 11. С. 1252–1256. https://doi.org/10.31857/S0002337X20100115
- Павленко А.В., Стрюков Д.В., Кудрявцев Ю.А., Матяш Я.Ю., Маломыжева Н.В. Получение, особенности структуры, элементный состав и диэлектрические свойства двухслойной структуры на основе тонких пленок мультиферроика BiFeO3 и сегнетоэлектрика (Sr, Ba)Nb2O6 // ФТТ. 2022. Т. 64. Вып. 12. С. 1954–1959.
- Scanning Probe Microscopy: Electrical and Electromechanical Phenomena at the Nanoscale / Eds. Kalinin S.V., Gruverman A.V. 1. N.Y.: Springer, 2007. P. 173–214
Supplementary files








