IR Photoluminescence of the RbBa2(PO3)5 Polyphosphate Containing Bi+ Impurity Centers
- Authors: Romanov A.N.1, Kapustin A.A.1, Haula E.V.1, Kuli-zade A.M.2, Korchak V.N.1
-
Affiliations:
- Semenov Federal Research Center for Chemical Physics, Russian Academy of Sciences
- Moscow State University
- Issue: Vol 59, No 7 (2023)
- Pages: 801-808
- Section: Articles
- URL: https://journals.rcsi.science/0002-337X/article/view/231922
- DOI: https://doi.org/10.31857/S0002337X2307014X
- EDN: https://elibrary.ru/QSRANA
- ID: 231922
Cite item
Full Text
Abstract
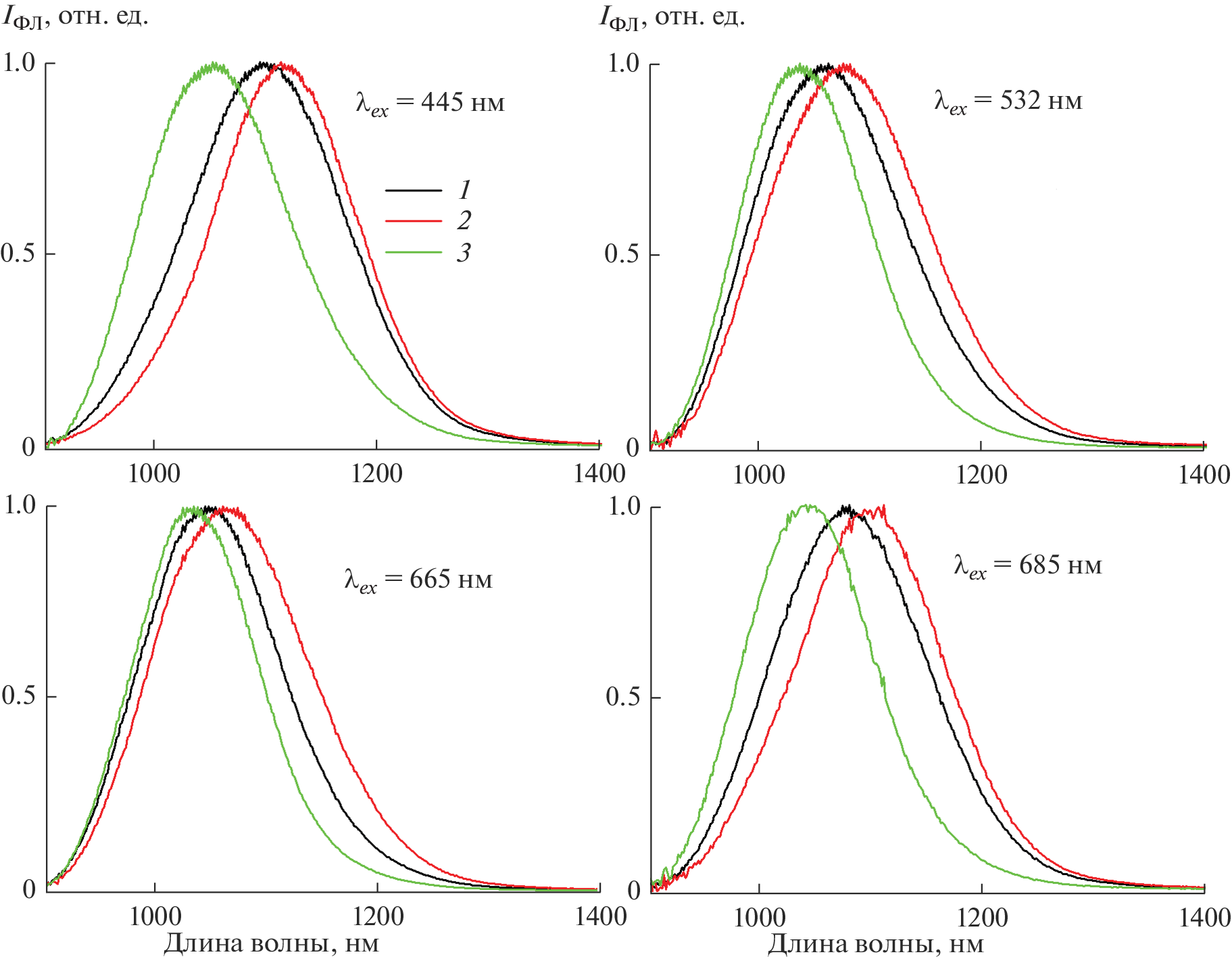
The rubidium barium polyphosphate RbBa2(PO3)5 containing impurity bismuth monocations has been prepared via crystallization from a melt with the stoichiometric composition and melts containing excess of rubidium or barium. The samples thus obtained demonstrate broadband photoluminescence in the Near-IR. Analysis of their photoluminescence properties leads us to conclude that they contain two types of emission centers and that predominant formation of one of them depends on melt composition. Our results show that one of the emissive centers is a bismuth monocation substituting for a barium cation and that it forms mainly from barium-deficient melts. The other emissive center, a Bi+ monocation substituting on the rubidium site, results predominantly from crystallization of rubidium-deficient melts.
About the authors
A. N. Romanov
Semenov Federal Research Center for Chemical Physics, Russian Academy of Sciences
Email: alexey.romanov@list.ru
119991, Moscow, Russia
A. A. Kapustin
Semenov Federal Research Center for Chemical Physics, Russian Academy of Sciences
Email: alexey.romanov@list.ru
119991, Moscow, Russia
E. V. Haula
Semenov Federal Research Center for Chemical Physics, Russian Academy of Sciences
Email: alexey.romanov@list.ru
119991, Moscow, Russia
A. M. Kuli-zade
Moscow State University
Email: alexey.romanov@list.ru
119991, Moscow, Russia
V. N. Korchak
Semenov Federal Research Center for Chemical Physics, Russian Academy of Sciences
Author for correspondence.
Email: alexey.romanov@list.ru
119991, Moscow, Russia
References
- Fujimoto Y., Nakatsuka M. Infrared Luminescence from Bismuth-Doped Silica Glass // Jpn. J. Appl. Phys. 2001. V. 40. № 3B. P. L279–L281. https://doi.org/10.1143/JJAP.40.L279
- Fujimoto Y., Nakatsuka M. Optical Amplification in Bismuth-Doped Silica Glass // Appl. Phys. Lett. 2003. V. 82. P. 3325–3326. https://doi.org/10.1063/1.1575492
- Veber A., Cicconi M.R., Puri A., de Ligny D. Optical Properties and Bismuth Redox in Bi-Doped High-Silica Al–Si Glasses // J. Phys. Chem. C. 2018. V. 122. № 34. P. 19777–19792. https://doi.org/10.1021/acs.jpcc.8b05614
- Meng X., Qiu J., Peng M., Chen D., Zhao Q., Jiang X., Zhu C. Infrared Broadband Emission of Bismuth-Doped Barium-Aluminum-Borate Glasses // Opt. Express. 2005. V. 13. № 5. P. 1635–1642. https://doi.org/10.1364/OPEX.13.001635
- Romanov A.N., Fattakhova Z.T., Zhigunov D.M., Korchak V.N., Sulimov V.B. On the Origin of Near-IR Luminescence in Bi-Doped Materials (I). Generation of Low-Valence Bismuth Species by Bi3+ and Bi0 Synproportionation // Opt. Mater. 2011. V. 33. № 4. P. 631–634. https://doi.org/10.1016/j.optmat.2010.11.019
- Meng X., Qiu J., Peng M., Chen D., Zhao Q., Jiang X., Zhu C. Near Infrared Broadband Emission of Bismuth-Doped Aluminophosphate Glass // Opt. Express. 2005. V. 13. № 5. P. 1628–1634. https://doi.org/10.1364/OPEX.13.001628
- Романов А.Н., Хаула Е.В., Корчак В.Н. Образование и оптические свойства ИК фотолюминесцентных центров в алюмофосфатном стекле, содержащем висмут // Квантовая электроника. 2020. Т. 50. № 10. С. 910–916. https://doi.org/10.1070/QEL17250
- Peng M., Qiu J., Chen D., Meng X., Yang I., Jiang X., Zhu C. Bismuth- and Aluminum-Codoped Germanium Oxide Glasses for Super-Broadband Optical Amplification // Opt. Lett. 2004. V. 29. № 17. P. 1998–2000. https://doi.org/10.1364/OL.29.001998
- Ren J., Qiu J., Wu B., Chen D. Ultrabroad Infrared Luminescences from Bi-Doped Alkaline Earth Metal Germanate Glasses // J. Mater. Res. 2007. V. 22. № 6. P. 1574–1578. https://doi.org/10.1557/JMR.2007.0200
- Hughes M., Suzuki T., Ohishi Y. Advanced Bismuth-Doped Lead-Germanate Glass for Broadband Optical Gain Devices // J. Opt. Soc. Am. B. 2008. V. 25. № 8. P. 1380–1386. https://doi.org/10.1364/JOSAB.25.001380
- Winterstein A., Manning S., Ebendorff-Heidepriem H., Wondraczek L. Luminescence from Bismuth-Germanate Glasses and Its Manipulation through Oxidants // Opt. Mater. Express. 2012. V. 2. № 10. P. 1320–1328. https://doi.org/10.1364/OME.2.001320
- Dong G.P., Xiao X.D., Ren J.J., Ruan J., Liu X.F., Qiu J.R., Lin C.G., Tao H.Z., Zhao X.J. Chin. Broadband Infrared Luminescence from Bismuth-Doped GeS2-Ga2S3 Chalcogenide Glasses // Chin. Phys. Lett. 2008. V. 25. № 5. P. 1891–1894. https://doi.org/10.1088/0256-307X/25/5/101
- Hughes M.A., Akada T., Suzuki T., Ohishi Y., Hewak D.W. Ultrabroad Emission from a Bismuth Doped Chalcogenide Glass // Opt. Express. 2009. V. 17. № 22. P. 19345–19355. https://doi.org/10.1364/OE.17.019345
- Romanov A.N., Haula E.V., Fattakhova Z.T., Veber A.A., Tsvetkov V.B., Zhigunov D.M., Korchak V.N., Sulimov V.B. Near-IR Luminescence from Subvalent Bismuth Species in Fluoride Glass // Opt. Mater. 2011. V. 34. № 1. P. 155–158. https://doi.org/10.1016/j.optmat.2011.08.012
- Romanov A.N., Fattakhova Z.T., Veber A.A., Usovich O.V., Haula E.V., Korchak V.N., Tsvetkov V.B., Trusov L.A., Kazin P.E., Sulimov V.B. On the Origin of Near-IR Luminescence in Bi-Doped Materials (II). Subvalent Monocation Bi+ and Cluster Bi53+ Luminescence in AlCl3/ZnCl2/BiCl3 Chloride Glass // Opt. Express. 2012. V. 203. № 7. P. 7212–7220. https://doi.org/10.1364/OE.20.007212
- Zlenko A.S., Mashinsky V.M., Iskhakova L.D., Semjonov S.L., Koltashev V.V., Karatun N.M., Dianov E.M. Mechanisms of Optical Losses in Bi:SiO2 Glass Fibers // Opt. Express. 2012. V. 20. № 21. P. 23186–23200. https://doi.org/10.1364/OE.20.023186
- Milovich F.O., Iskhakova L.D., Presniakov M.Yu., Vasiliev A.L., Bondarenko V.I., Sverchkov S.E., Galagan B.I. The Identification of Bi Atoms and Clusters in Mg–Al Silicate Glasses // J. Non-Cryst. Solids. 2019. V. 510. P. 166–171. https://doi.org/10.1016/j.jnoncrysol.2018.12.028
- Romanov A.N., Serykh A.I., Haula E.V., Shashkin D.P., Kogan V.M., Rozhdestvenskaya N.N., Krylov I.B., Korchak V.N. NIR Photoluminescence of ZSM-5 and Mordenite Zeolites, Containing Low-Valence Bismuth Exchange Cations // Micropor. Mesopor. Mater. 2022. V. 336. P. 111875. https://doi.org/10.1016/j.micromeso.2022.111875
- Romanov A.N., Grigoriev F.V., Sulimov V.B. Estimation of Bi+ Monocation Crystal Ionic Radius by Quantum Chemical Simulation // Comp. Theor. Chem. 2013. V. 1017. P. 159–161. https://doi.org/10.1016/j.comptc.2013.05.020
- Okhrimchuk A.G., Butvina L.N., Dianov E.M., Lichkova N.V., Zagorodnev V.N., Boldyrev K.N. Near-Infrared Luminescence of RbPb2Cl5:Bi Crystals // Opt. Lett. 2008. V. 33. P. 2182–2184. https://doi.org/10.1364/OL.33.002182
- Su L., Zhao H., Li H., Zheng L., Fan X., Jiang X., Tang H., Ren G., Xu J., Ryba-Romanowski W., Lisiecki R., Solarz P. Near-Infrared Photoluminescence Spectra in Bi-Doped CsI Crystal: Evidence for Bi-Valence Conversions and Bi Ion Aggregation // Opt. Mater. Express. 2012. V. 2. P. 757–764. https://doi.org/10.1364/OME.2.000757
- Romanov A.N., Veber A.A., Fattakhova Z.T., Usovich O.V., Haula E.V., Trusov L.A., Kazin P.E., Korchak V.N., Tsvetkov V.B., Sulimov V.B. Subvalent Bismuth Monocation Bi+ Photoluminescence in Ternary Halide Crystals KAlCl4 and KMgCl3 // J. Lumin. 2013. V. 134. P. 180–183. https://doi.org/10.1016/j.jlumin.2012.08.051
- Veber A.A., Romanov A.N., Usovich O.V., Fattakhova Z.T., Haula E.V., Korchak V.N., Trusov L.A., Kazin P.E., Sulimov V.B., Tsvetkov V.B. Optical Properties of the Bi+ Center in KAlCl4 // J. Lumin. 2014. V. 151. P. 247–255. https://doi.org/10.1016/j.jlumin.2014.02.024
- Romanov A.N., Veber A.A., Fattakhova Z.T., Vtyurina D.N., Kouznetsov M.S., Zaramenskikh K.S., Lisitsky I.S., Korchak V.N., Tsvetkov V.B., Sulimov V.B. Spectral Properties and NIR Photoluminescence of Bi+ Impurity in CsCdCl3 Ternary Chloride // J. Lumin. 2014. V. 149. P. 292–296. https://doi.org/10.1016/j.jlumin.2014.01.049
- Втюрина Д.Н., Романов А.Н., Вебер А.А., Фаттахова З.Т., Антонов А.А., Цветков В.Б., Корчак В.Н. Спектральные характеристики и ИК-фотолюминесценция примесного центра Bi+ в составе тройных хлоридов RbAlCl4, CsAlCl4, RbMgCl3, CsMgCl3, KCdCl3 и RbCdCl3 // Хим. физика. 2016. Т. 35. № 5. С. 16–22.
- Romanov A.N., Veber A.A., Vtyurina D.N., Kouznetsov M.S., Zaramenskikh K.S., Lisitsky I.S., Fattakhova Z.T., Haula E.V., Loiko P.A., Yumashev K.V., Korchak V.N. NIR Photoluminescence of Bismuth-Doped CsCdBr3 – The First Ternary Bromide Phase with a Univalent Bismuth Impurity Center // J. Lumin. 2015. V. 167. P. 371–375. https://doi.org/10.1016/j.jlumin.2015.07.020
- Романов А.Н., Втюрина Д.Н., Хаула Е.В., Шашкин Д.П., Пимкин Н.А., Кузнецов М.С., Лисицкий И.С., Корчак В.Н. ИК-фотолюминесценция примесных центров Bi+ в составе тройного хлорида RbY2Cl7 // Хим. физика. 2016. Т. 35. № 9. С. 14–19.
- Romanov A.N., Haula E.V., Shashkin D.P., Korchak V.N. Broadband Near-IR Photoluminescence of Bismuth-Doped Cyclotriphosphate RbMgP3O9 Phase // J. Alloys Compd. 2021. V. 864. P. 158907. https://doi.org/10.1016/j.jallcom.2021.158907
- Романов А.Н., Хаула Е.В., Костюков А.А., Егоров А.Е., Кузьмин В.А., Корчак В.Н. ИК-фотолюминесценция примесного монокатиона висмута в смешанных циклотрифосфатах щелочных и щелочноземельных металлов // Неорган. материалы. 2022. Т. 58. № 12. С. 1331–1341.
- Durif A. Crystal Chemistry of Condensed Phosphates. N. Y.: Springer Science + Business Media, 1995.
- Zhao S., Gong P., Luo S., Bai L., Lin Z., Ji C., Chen T., Hong M., Luo J. Deep-Ultraviolet Transparent Phosphates RbBa2(PO3)5 and Rb2Ba3(P2O7)2 Show Nonlinear Optical Activity from Condensation of [PO4]3– Units // J. Am. Chem. Soc. 2014. V. 136. № 24. P. 8560–8563. https://doi.org/10.1021/ja504319x
- Romanov A.N., Haula E.V., Kouznetsov M.S., Lisitsky I.S., Pimkin N.A., Boldyrev K.N., Sereda A.E., Shashkin D.P., Korchak V.N. Preparation of Optical Media with NIR Luminescent Bi+ Impurity Centers by Ion Exchange // J. Am. Ceram. Soc. 2019. V. 102. P. 2745–2751. https://doi.org/10.1111/jace.16170
- Lakowicz J.P. Principles of Fluorescence Spectroscopy. N. Y.: Kluwer, 2-nd edition, 1999. P. 619.
Supplementary files







