Developmental Features of Corpus Callosum in Children Revealed by MRI
- Authors: Zykin P.A.1, Yalfimof A.N.2, Aleksandrov T.A.2, Krasnoshchekova E.I.1, Tkachenko L.A.1, Sereda V.M.2, Nasyrov R.A.2
 - 
							Affiliations: 
							
- Saint Petersburg State University
 - St. Petersburg State Pediatric Medical University
 
 - Issue: Vol 9, No 1 (2018)
 - Pages: 37-48
 - Section: Articles
 - URL: https://journals.rcsi.science/pediatr/article/view/8733
 - DOI: https://doi.org/10.17816/PED9137-48
 - ID: 8733
 
Cite item
Full Text
Abstract
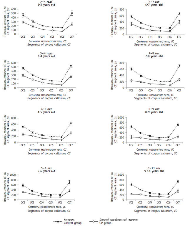
With the wide use of magnetic resonance imaging (MRI) in clinical practice, more attention is paid to corpus callosum hypoplasia in children with various central nervous system diseases, including the cerebral palsy. We compared the areas of corpus callosum segments on the mid-sagittal MR images of the children with cerebral palsy and a control group; full-term infants and preterm infants. During the postnatal development, overall callosum area naturally increases, but single segments change differently in both absolute and relative values. In the control group, the relative area of the splenium grew insignificantly, whereas for the genu, it was stable. Children with cerebral palsy also show age-specific growth, but the area of corpus callosum is smaller compared with equal age children in the control group. We found an increased relative area of corpus callosum genu and a decrease of anterior body and splenium in the cerebral palsy group compared with the control group. The kCC index shows higher values in the control group than in any age subgroup of children with cerebral palsy. Mean values for the control group steadily increase with age, whereas in the cerebral palsy group, they remain the same. For every age-specific group, the difference of kCC was statistically significant. Mean kCC index values depend on gestational age and are statistically lower in preterm infants compared with full-term infants. Selective corpus callosum hypoplasia found in the current research could be due to Wallerian degeneration or a decreased number of axons in some of its segments. This could be explained by the disruption of neurogenesis in certain cortical areas. The morphometric index kCC can be used to detect deviations in the corpus callosum structure associated with prematurity and cerebral palsy.
Keywords
Full Text
##article.viewOnOriginalSite##About the authors
Pavel A. Zykin
Saint Petersburg State University
							Author for correspondence.
							Email: pavel.zykin@spbu.ru
				                					                																			                								
PhD, Associate Professor, Biology Faculty, Department of Cytology and Histology
Russian Federation, Saint Petersburg,Anatolij N. Yalfimof
St. Petersburg State Pediatric Medical University
														Email: pavel.zykin@spbu.ru
				                					                																			                								
MD, PhD, Associate Professor
Russian Federation, Saint PetersburgTimofey A. Aleksandrov
St. Petersburg State Pediatric Medical University
														Email: ale-tim@list.ru
				                					                																			                								
Consultative-Diagnostic Center, Department of Radiology
Russian Federation, Saint PetersburgElena I. Krasnoshchekova
Saint Petersburg State University
														Email: e.krasnozchekova@spbu.ru
				                					                																			                								
PhD, Professor, Biology Faculty, Department of Cytology and Histology
Russian Federation, Saint PetersburgLyubov A. Tkachenko
Saint Petersburg State University
														Email: l.tkachenko@spbu.ru
				                					                																			                								
PhD, Associate Professor, Biology Faculty, Department of Cytology and Histology
Russian Federation, Saint PetersburgVasilii M. Sereda
St. Petersburg State Pediatric Medical University
														Email: seredavm@mail.ru
				                					                																			                								
MD, PhD, Dr Med Sci, Professor. Department of Social Pediatrics and Public Health Organization AF and DPO
Russian Federation, Saint PetersburgRuslan A. Nasyrov
St. Petersburg State Pediatric Medical University
														Email: rrmd99@mail.ru
				                					                																			                								
MD, PhD, Dr Med Sci, Professor, Head, Department of Pathological Anatomy at the Rate of Forensic Medicine
Russian Federation, Saint PetersburgReferences
- Акопян Т.А. Распространенность, медико-социальные аспекты и прогноз первичной инвалидности детей раннего возраста вследствие заболеваний нервной системы в крупном агропромышленном регионе // Сибирский медицинский журнал. – 2008. – Т. 23. – № 1–2. – С. 52–54. [Akopyan TA. Prevalence, medical-social aspects and prognosis of primary disability of infants-residents of large agricultural region due to nervous system diseases. Siberian medical journal. 2008;23(1-2):52-54. (In Russ.)]
 - Антонова Л.К., Иванов А.А., Кольцова С.Ю., Близнецова Е.А. Клинико-патоморфологические особенности недоношенных детей, родившихся с экстремально низкой массой тела // Верхневолжский медицинский журнал. – 2014. – Т. 12. – № 2. – С. 35–38. [Antonova LK, Ivanov AA, Koltsova SY, Bliznetsova EA. Clinikopathologic features of premature extremely low-birth-weight infants. Upper Volga medical journal. 2014;12(2):35-38. (In Russ.)]
 - Байбарина Е.Н., Дегтярев Д.Н. Переход на новые правила регистрации рождения детей в соответствии с критериями, рекомендованными Всемирной организацией здравоохранения: исторические, медико-экономические и организационные аспекты // Российский вестник перинатологии и педиатрии. – 2011. – Т. 56. – № 6. – С. 6–9. [Baibarina EN, Deg tyarev DN. Transition to new rules for baby’s birth registration in accordance with the criteria recommended by the World Health Organization: historical, medico-economic, and organizational aspects. Rossiiskii vestnik perinatologii i pediatrii. 2011;56(6):6-9. (In Russ.)]
 - Краснощекова Е.И., Зыкин П.А., Ткаченко Л.А., и др. Возрастная динамика развития мозолистого тела детей и ее особенности при детском церебральном параличе // Бюллетень экспериментальной биологии и медицины. – 2016. – Т. 161. – № 6. – С. 816–820. [Krasnoshchekova EI, Zykin PA, Tkachenko LA, et al. Age-Specific Dynamics of Corpus Callosum Development in Children and its Peculiarities in Infantile Cerebral Palsy. Biull Eksp Biol Med. 2016;161(6):816-820. (In Russ.)]
 - Краснощекова Е.И., Зыкин П.А., Ткаченко Л.А., Смолина Т.Ю. Развитие пирамидных нейронов коры полушарий конечного мозга человека во втором триместре гестации // Физиология человека. – 2010. – Т. 36. – № 4. – С. 65–71. [Krasnoshchokova EI, Zykin PA, Tkachenko LA, Smolina TY. Characteristics of Human Cortical Pyramidal Neuron Development during the Second Gestational Trimester. Fiziol Cheloveka. 2010;36(4):65-71. (In Russ.)]
 - Пальчик А.Б., Шабалов Н.П. Гипоксически-ишемическая энцефалопатия новорожденных. – М.: МЕДпресс-информ, 2006. [Pal’chik AB, Shabalov NP. Hypoxic-ischemic encephalopathy of newborns. Moscow: MEDpress-inform; 2006. (In Russ.)]
 - Abreu-Villaça Y, Silva WC, Manhães AC, Schmidt SL. The effect of corpus callosum agenesis on neocortical thickness and neuronal density of BALB/cCF mice. Brain Res Bull. 2002;58(4):411-416. doi: 10.1016/s0361-9230(02)00812-2.
 - Alexander AL, Lee JE, Lazar M, Field AS. Diffusion tensor imaging of the brain. Neurotherapeutics. 2007;4(3):316-329. doi: 10.1016/j.nurt.2007.05.011.
 - Beaule V, Tremblay S, Lafleur LP, et al. Cortical thickness in adults with agenesis of the corpus callosum. Neuropsychologia. 2015;77:359-365. doi: 10.1016/j.neuropsychologia.2015.09.020.
 - Bekiesinska-Figatowska M, Duczkowska A, Szkudlinska-Pawlak S, et al. Diffusion restriction in the corticospinal tracts and the corpus callosum in neonates after cerebral insult. Brain Dev. 2017;39(3):203-210. doi: 10.1016/j.braindev.2016.10.003.
 - Benders MJ, Kersbergen KJ, de Vries LS. Neuroimaging of white matter injury, intraventricular and cerebellar hemorrhage. Clin Perinatol. 2014;41(1):69-82. doi: 10.1016/j.clp.2013.09.005.
 - Benini R, Dagenais L, Shevell MI, Registre de la Paralysie Cerebrale au Quebec C. Normal imaging in patients with cerebral palsy: what does it tell us? J Pediatr. 2013;162(2):369-374; e361. doi: 10.1016/j.jpeds.2012.07.044.
 - de Bruine FT, van den Berg-Huysmans AA, Leijser LM, et al. Clinical implications of MR imaging findings in the white matter in very preterm infants: a 2-year follow-up study. Radiology. 2011;261(3):899-906. doi: 10.1148/radiol.11110797.
 - Doria V, Arichi T, Edwards DA. Magnetic Resonance Imaging of the Preterm Infant Brain. Curr Pediatr Rev. 2014;10(1):48-55. doi: 10.2174/157339631001140408120821.
 - Fan GG, Yu B, Quan SM, et al. Potential of diffusion tensor MRI in the assessment of periventricular leukomalacia. Clin Radiol. 2006;61(4):358-364. doi: 10.1016/j.crad.2006.01.001.
 - Gandhi K, Gillihan L, Wozniak MA, et al. Progressive Wallerian Degeneration of the Corpus Callosal Splenium in a Patient with Alexia Without Agraphia: Advanced MR Findings. Neuroradiol J. 2014;27(6):653-656. doi: 10.15274/NRJ-2014-10097.
 - Giampietri M, Bartalena L, Guzzetta A, et al. New techniques in the study of the brain development in newborn. Front Hum Neurosci. 2014;8:1069. doi: 10.3389/fnhum.2014.01069.
 - Gilmore JH, Shi F, Woolson SL, et al. Longitudinal development of cortical and subcortical gray matter from birth to 2 years. Cereb Cortex. 2012;22(11):2478-2485. doi: 10.1093/cercor/bhr327.
 - Groenendaal F, Benders MJ, de Vries LS. Pre-wallerian degeneration in the neonatal brain following perinatal cerebral hypoxia-ischemia demonstrated with MRI. Semin Perinatol. 2006;30(3):146-150. doi: 10.1053/j.semperi.2006.04.005.
 - Hofer S, Frahm J. Topography of the human corpus callosum revisited — comprehensive fiber tractography using diffusion tensor magnetic resonance imaging. Neuroimage. 2006;32(3):989-994. doi: 10.1016/j.neuroimage.2006.05.044.
 - Huppi PS, Dubois J. Diffusion tensor imaging of brain development. Semin Fetal Neonatal Med. 2006;11(6):489-497. doi: 10.1016/j.siny.2006.07.006.
 - Inoue Y, Matsumura Y, Fukuda T, et al. MR imaging of Wallerian degeneration in the brainstem: temporal relationships. AJNR Am J Neuroradiol. 1990;11(5):897-902.
 - Kim DY, Park HK, Kim NS, et al. Neonatal diffusion tensor brain imaging predicts later motor outcome in preterm neonates with white matter abnormalities. Ital J Pediatr. 2016;42(1):104. doi: 10.1186/s13052-016-0309-9.
 - Koerte I, Pelavin P, Kirmess B, et al. Anisotropy of transcallosal motor fibres indicates functional impairment in children with periventricular leukomalacia. Dev Med Child Neurol. 2011;53(2):179-186. doi: 10.1111/j.1469-8749.2010.03840.x.
 - Korzeniewski SJ, Birbeck G, DeLano MC, et al. A systematic review of neuroimaging for cerebral palsy. J Child Neurol. 2008;23(2):216-227. doi: 10.1177/0883073807307983.
 - Krageloh-Mann I, Horber V. The role of magnetic resonance imaging in elucidating the pathogenesis of cerebral palsy: a systematic review. Dev Med Child Neurol. 2007;49(2):144-151. doi: 10.1111/j.1469-8749.2007.00144.x.
 - Lee JD, Park HJ, Park ES, et al. Motor pathway injury in patients with periventricular leucomalacia and spastic diplegia. Brain. 2011;134(Pt 4):1199-1210. doi: 10.1093/brain/awr021.
 - Mewes AU, Huppi PS, Als H, et al. Regional brain development in serial magnetic resonance imaging of low-risk preterm infants. Pediatrics. 2006;118(1):23-33. doi: 10.1542/peds.2005-2675.
 - Mourao LF, Friel KM, Sheppard JJ, et al. The Role of the Corpus Callosum in Pediatric Dysphagia: Preliminary Findings from a Diffusion Tensor Imaging Study in Children with Unilateral Spastic Cerebral Palsy. Dysphagia. 2017;32(5):703-713. doi: 10.1007/s00455-017-9816-0.
 - Mu X, Nie B, Wang H, et al. Spatial patterns of whole brain grey and white matter injury in patients with occult spastic diplegic cerebral palsy. PLoS One. 2014;9(6):e100451. doi: 10.1371/journal.pone.0100451.
 - Oskoui M, Coutinho F, Dykeman J, et al. An update on the prevalence of cerebral palsy: a systematic review and meta-analysis. Dev Med Child Neurol. 2013;55(6):509-519. doi: 10.1111/dmcn.12080.
 - Panigrahy A, Barnes PD, Robertson RL, et al. Quantitative analysis of the corpus callosum in children with cerebral palsy and developmental delay: correlation with cerebral white matter volume. Pediatr Radiol. 2005;35(12): 1199-1207. doi: 10.1007/s00247-005-1577-5.
 - Pannek K, Scheck SM, Colditz PB, et al. Magnetic resonance diffusion tractography of the preterm infant brain: a systematic review. Dev Med Child Neurol. 2014;56(2):113-124. doi: 10.1111/dmcn.12250.
 - Rajagopalan V, Scott J, Habas PA, et al. Local tissue growth patterns underlying normal fetal human brain gyrification quantified in utero. J Neurosci. 2011;31(8):2878-87. doi: 10.1523/JNEUROSCI.5458-10.2011.
 - Ren T, Anderson A, Shen WB, et al. Imaging, anatomical, and molecular analysis of callosal formation in the developing human fetal brain. Anat Rec A Discov Mol Cell Evol Biol. 2006;288(2):191-204. doi: 10.1002/ar.a.20282.
 - Ribeiro-Carvalho A, Manhaes AC, Abreu-Villaca Y, Filgueiras CC. Early callosal absence disrupts the establishment of normal neocortical structure in Swiss mice. Int J Dev Neurosci. 2006;24(1):15-21. doi: 10.1016/j.ijdevneu.2005.12.001.
 - Rice D, Barone S, Jr. Critical periods of vulnerability for the developing nervous system: evidence from humans and animal models. Environ Health Perspect. 2000;108(Suppl 3):511-533.
 - Scheck SM, Boyd RN, Rose SE. New insights into the pathology of white matter tracts in cerebral palsy from diffusion magnetic resonance imaging: a systematic review. Dev Med Child Neurol. 2012;54(8):684-696. doi: 10.1111/j.1469-8749.2012.04332.x.
 - Schneider CA, Rasband WS, Eliceiri KW. NIH Image to ImageJ: 25 years of image analysis. Nat Methods. 2012;9(7):671-675. doi: 10.1038/nmeth.2089.
 - Serenius F, Kallen K, Blennow M, et al. Neurodevelopmental outcome in extremely preterm infants at 2.5 years after active perinatal care in Sweden. JAMA. 2013;309(17):1810-1820. doi: 10.1001/jama.2013.3786.
 - Sheth RD, Schaefer GB, Keller GM, et al. Size of the Corpus Callosum in Cerebral Palsy. J Neuroimaging. 1996;6(3):180-183. doi: 10.1111/jon199663180.
 - Thompson DK, Inder TE, Faggian N, et al. Characterization of the corpus callosum in very preterm and full-term infants utilizing MRI. Neuroimage. 2011;55(2):479-490. doi: 10.1016/j.neuroimage.2010.12.025.
 - Thompson DK, Inder TE, Faggian N, et al. Corpus callosum alterations in very preterm infants: perinatal correlates and 2 year neurodevelopmental outcomes. Neuroimage. 2012;59(4):3571-3581. doi: 10.1016/j.neuroimage.2011.11.057.
 - Tkachenko LA, Zykin PA, Nasyrov RA, Krasnoshche kova EI. Distinctive Features of the Human Marginal Zone and Cajal-Retzius Cells: Comparison of Morphological and Immunocytochemical Features at Midgestation. Front Neuroanat. 2016;10:26. doi: 10.3389/fnana.2016.00026.
 - Wegiel J, Flory M, Kaczmarski W, et al. Partial Agenesis and Hypoplasia of the Corpus Callosum in Idiopathic Autism. J Neuropathol Exp Neurol. 2017;76(3):225-237. doi: 10.1093/jnen/nlx003.
 - Weinstein M, Green D, Geva R, et al. Interhemispheric and intrahemispheric connectivity and manual skills in children with unilateral cerebral palsy. Brain Struct Funct. 2014;219(3):1025-1040. doi: 10.1007/s00429-013-0551-5.
 - Witelson SF. Hand and Sex Differences in the Isthmus and Genu of the Human Corpus Callosum. Brain. 1989;112(3):799-835. doi: 10.1093/brain/112.3.799.
 - Zanin E, Ranjeva JP, Confort-Gouny S, et al. White matter maturation of normal human fetal brain. An in vivo diffusion tensor tractography study. Brain Behav. 2011;1(2):95-108. doi: 10.1002/brb3.17.
 - The Tudor DICOM tools. Available at: http://santec.tudor.lu/project/dicom. (accessed 01.12.2017).
 - Зыкин П.А., Ткаченко Л.А., Краснощекова Е.И. Программа автоматической сегментации мозолистого тела и расчета диаг ностического индекса (Callocometry). Свидетельство о государственной регистрации ЭВМ № 2015661246 от 21 октября 2015 г.
 - Зыкин П.А., Краснощекова Е.И., Ткаченко Л.А., Ялфимов А.Н. Способ диагностики детского церебрального паралича (ДЦП). Патент на изобретение РФ № 2473311. Доступен по: https://patents.google.com/patent/RU2473311C1/ru (дата обращения 01.12.2017).
 
Supplementary files
				
			
					
						
						
				







