The importance of antiangiogenic substances endoglin and sFLT-1, as well as endogenous digitalis-like factor marinobufagenin in the pathogenesis of preeclampsia
- Authors: Reznik V.A.1, Ivanov D.O.1, Ruhlyada N.N.1, Tapilskaya N.I.1, Ershov I.A.1
-
Affiliations:
- St. Petersburg State Pediatric Medical University, Ministry of Healthcare of the Russian Federation
- Issue: Vol 11, No 1 (2020)
- Pages: 5-12
- Section: Editorial
- URL: https://journals.rcsi.science/pediatr/article/view/33849
- DOI: https://doi.org/10.17816/PED1115-12
- ID: 33849
Cite item
Abstract
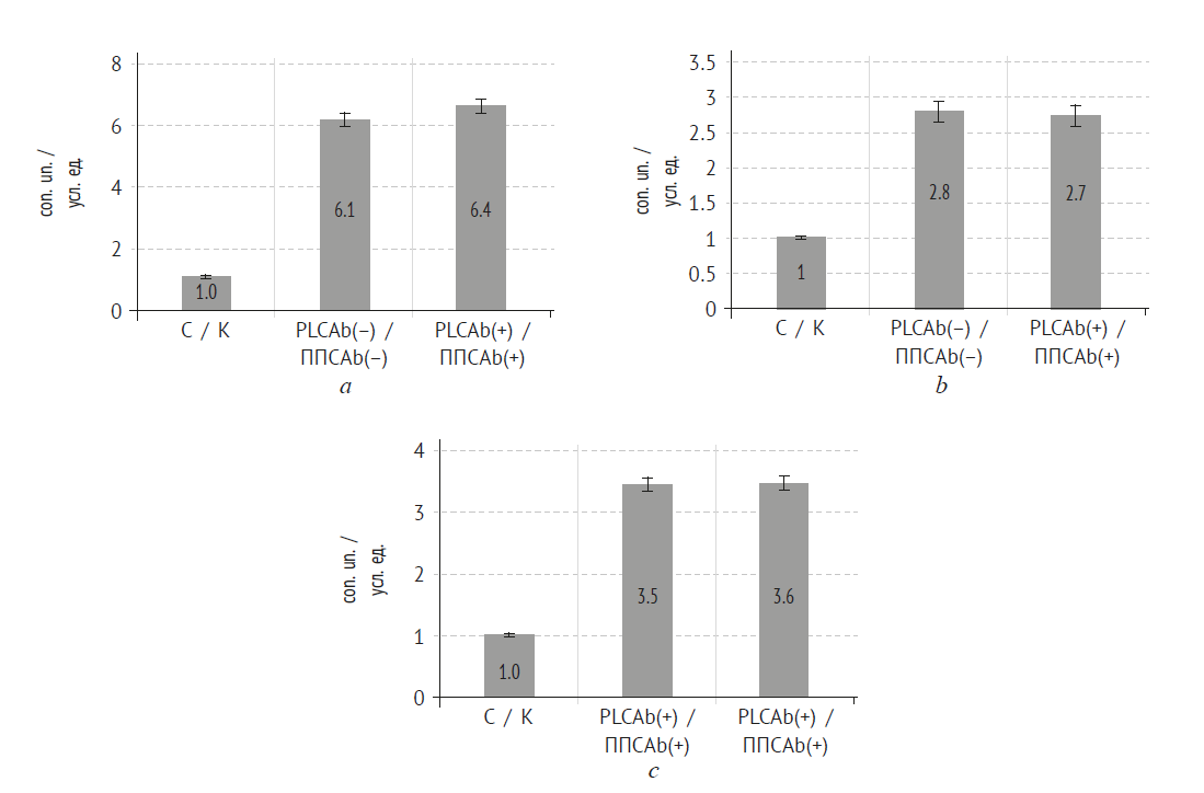
Objective. Establish the relationship between the action of antiangiogenic factors sFLT-1 and endoglin, as well as marinobufagenin in the formation of symptoms of preeclampsia in the clinic and experiment.
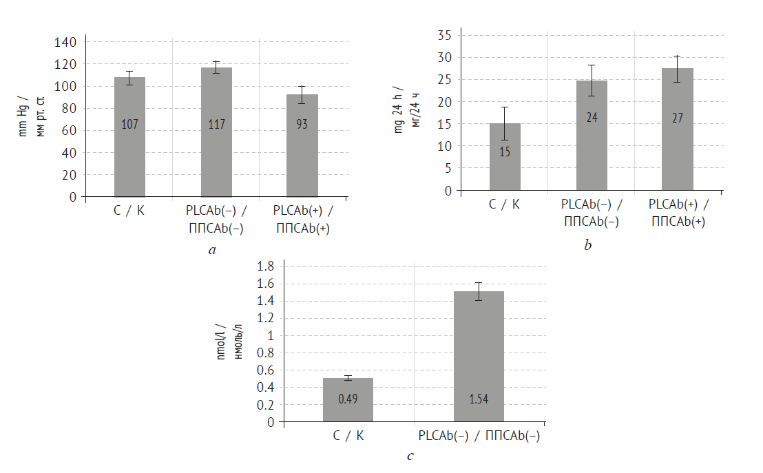
Materials and methods. In the first experimental phase, preeclampsia-like state was simulated in pregnant rats, the changes in the content of substances reflected in the target tissues were studied, as well as the effect on their concentrations of anti-marinobufagenin antibodies. In the second (clinical) phase, changes in the content of sFlt-1 and endoglin-1 in placental tissues, as well as marinobufagenin in blood plasma and activity of Na+/K+-ATPase of erythrocytes in pregnant women with preeclampsia were studied.
Results. In rats, an increase in systolic blood pressure, and marinobufagenin plasma levels was observed during the formation of a preeclampsia-like condition. Administration of antibodies to marinobufagenin caused a decrease in blood pressure. Found that during the formation of a preeclampsia-like condition, there is an increase in the content of sFlt-1 in the placenta and thoracic aorta and endoglin in the placenta. In patients with preeclampsia, it was found that the increase in blood pressure occurs against the background of an increase in the content of marinobufagenin in blood plasma, as well as a decrease in the activity of Na+/K+-ATPase of erythrocytes. The formation of preeclampsia is accompanied by a significant increase in the level of antiangiogenic factors endoglin and sFlt-1 in the placenta.
Summary. In patients with preeclampsia, the development of clinical symptoms is accompanied by an increase in the placental tissues of the content of antiangiogenic factors endoglin and sFlt-1 and the content of marinobufagenin in blood plasma. The obtained data are confirmed by the results of an experiment performed on pregnant rats with modeling of preeclampsia-like condition.
Keywords
Full Text
##article.viewOnOriginalSite##About the authors
Vitaly A. Reznik
St. Petersburg State Pediatric Medical University, Ministry of Healthcare of the Russian Federation
Author for correspondence.
Email: vitaliy-reznik@mail.ru
MD, PhD, Associate Professor, Head Physician on Obstetrics and Gynecology
Russian Federation, St. PetersburgDmitry O. Ivanov
St. Petersburg State Pediatric Medical University, Ministry of Healthcare of the Russian Federation
Email: doivanov@yandex.ru
MD, PhD, Dr Med Sci, Professor, Rector
Russian Federation, St. PetersburgNikolaj N. Ruhlyada
St. Petersburg State Pediatric Medical University, Ministry of Healthcare of the Russian Federation
Email: nicolasr@mail.ru
MD, PhD, Dr Med Sci, Professor, Head, Department of Obstetrics and Gynecology
Russian Federation, St. PetersburgNatal’ya I. Tapilskaya
St. Petersburg State Pediatric Medical University, Ministry of Healthcare of the Russian Federation
Email: tapnatalia@yandex.ru
MD, PhD, Dr Med Sci, Professor, Department of Obstetrics and Gynecology
Russian Federation, St. PetersburgIvan A. Ershov
St. Petersburg State Pediatric Medical University, Ministry of Healthcare of the Russian Federation
Email: ershov@yandex.ru
Resident Physician, Department of Obstetrics and Gynecology
Russian Federation, St. PetersburgReferences
- Климанова Е.А. Связывание уабаина и маринобуфагенина с Na, K-ATФазой: Дис. … канд. биол. наук. – М., 2015. – 109 с. [Klimanova EA. Svyazyvanie uabaina i marinobufagenina s Na,K-ATFazoy. [dissertation] Moscow; 2015. 109 p. (In Russ.)]
- Козлова А.В., Витковский Ю.А. Содержание сосудисто-эндотелиального фактора роста и его растворимых форм рецепторов I и II типа в слезной жидкости при длительном применении мягких контактных линз из различных материалов // Забайкальский медицинский вестник. – 2012. – № 2. – С. 101–105. [Kozlova AV, Vitkovsky YuA. Content of vascular endothelial growth factor and its type I, II soluble receptors in tear fluid conditioned by prolonged use of soft contact lenses made of different materials. Zabaykal’skiy meditsinskiy vestnik. 2012;(2):101-105. (In Russ.)]
- Мурашко А.В., Файзуллин А.Л., Мурашко Л.Е. Ангиогенные факторы роста в патогенезе преэклампсии // Архив акушерства и гинекологии им. В.Ф. Снегирева. – 2015. – Т. 2. – № 3. – С. 4–7. [Murashko AV, Faizullin AL, Murashko LE. Angiogenic growth factors in the pathogenesis of pre-eclampsia. Arkhiv akusherstva i ginekologii im. V.F. Snegireva. 2015;2(3):4-7. (In Russ.)]
- Резник В.А. Вазоактивные факторы в патогенезе преэклампсии // Артериальная гипертензия. – 2006. – Т. 12. – № 1. – С. 22–31. [Reznic V. Vasoactive factors in the preeclampsia pathogenesis. Arterial᾿naia gipertenziia. 2006;12(1):22-31. (In Russ.)]
- Рыбакова А.В., Макарова М.Н. Методы эвтаназии лабораторных животных в соответствии с Европейской Директивой 2010/63 // Международный вестник ветеринарии. – 2015. – № 2. – С. 96–107. [Rybakova AV, Makarova MN. Methods of euthanasia of laboratory animals, in accordance with European Directive 2010/63. Mezhdunarodnyy vestnik veterinarii. 2015;(2):96-107. (In Russ.)]
- Соколов Д.И., Колобов А.В., Лесничия М.В., и др. Роль проангиогенных и антиангиогенных факторов в развитии плаценты // Медицинская иммунология. – 2008. – Т. 10. – № 4–5. – С. 347–352. [Sokolov DI, Kolobov AV, Lesnichiya MV, et al. Role of pro- and antiangiogenic factors in placental development. Meditsinskaia immunologiia. 2008;10(4-5):347-352. (In Russ.)]
- Ходжаева З.С., Мусиенко Е.В., Сухих Г.Т. Особенности секреции про- и антиангиогенных факторов в I триместре беременности у женщин с привычным выкидышем в анамнезе // Проблемы репродукции. – 2011. – Т. 17. – № 2. – С. 30–34. [Khodzhaeva ZS, Musienko EV, Sukhikh GT. Secretion of pro- and antiangiogenic factors during first trimester of -pregnancy in women with habitual miscarriages in the past. Modern reproductive technologies. 2011;17(2):30-34. (In Russ.)]
- Яковлева Н.Ю., Хазова Е.Л., Васильева Е.Ю., Зазерская И.Е. Соотношение ангиогенных и антиангиогенного факторов при преэклампсии // Артериальная гипертензия. – 2016. – Т. 22. – № 5. – С. 488–494. [Yakovleva NYu, Khazova EL, Vasil’eva EYu, Zazerskaya IE. Ratio of angiogenic and anti-angiogenic factors in preeclampsia. Arterial᾿naia gipertenziia. 2016;22(5): 488-494. (In Russ.)]
- Fedorova OV, Lakatta EG, Bagrov AY. Differential effects of acute NaCl loading on endogenous ouabain like and marinobufagenin like ligands of the sodium pump in Dahl hypertensive rats. Circulation. 2000;102(24):3009-3014.
- Fedorova OV, Simbirtsev AS, Kolodkin NI, et al. Monoclonal antibody to an endogenous bufadienolide, marinobufagenin, reverses preeclampsia-induced Na/K-ATPase inhibition and lowers blood pressure in NaCl-sensitive hypertension. J Hypertens. 2008;26(12):2414-2425. https://doi.org/10.1097/HJH.0b013e328312c86a.
- Fedorova OV, Ishkaraeva VV, Grigorova YN, et al. Antibody to Marinobufagenin Reverses Placenta-Induced Fibrosis of Umbilical Arteries in Preeclampsia. Int J Mol Sci. 2018;19(8):2377. https://doi.org/10.3390/ijms19082377.
- Morton JS, Cooke CL, Davidge ST. In Utero Origins of Hypertension: Mechanisms and Targets for Therapy. Physiol Rev. 2016;96(2):549-603. https://doi.org/10.1152/physrev.00015.2015.
- Naljayan MV, Karumanchi SA. New developments in the pathogenesis of preeclampsia. Adv Chronic Kidney Dis. 2013;20(3):265-270. https://doi.org/10.1053/j.ackd.2013.02.003.
- Seki H. Balance of antiangiogenic and angiogenic factors in the context of the etiology of preeclampsia. Acta Obstet Gynecol Scand. 2014;93(10):959-964. https://doi.org/10.1111/aogs.12473.
Supplementary files





