Половые отличия микробиома кишечника детей раннего возраста и их клиническое значение
- Авторы: Баринова В.В.1, Иванов Д.О.2, Буштырева И.О.1, Боташева Т.Л.3, Дудурич В.В.4, Данилов Л.Г.4
-
Учреждения:
- Клиника профессора Буштыревой
- Санкт-Петербургский государственный педиатрический медицинский университет
- Ростовский государственный медицинский университет
- Медико-генетический центр «Сербалаб»
- Выпуск: Том 15, № 5 (2024)
- Страницы: 25-38
- Раздел: Оригинальные статьи
- URL: https://journals.rcsi.science/pediatr/article/view/286930
- DOI: https://doi.org/10.17816/PED15525-38
- ID: 286930
Цитировать
Полный текст
Аннотация
Актуальность. Многочисленные исследования микробиома кишечника показали его взаимосвязь с различными заболеваниями у детей. Однако роль такого фактора, как пол ребенка мало учитывается в этих работах.
Цель — выявить особенности состава микробиома кишечника детей в возрасте 1-го месяца жизни, рожденных через естественные родовые пути и находящихся на грудном вскармливании, в зависимости от пола ребенка.
Материалы и методы. В исследование были включены 103 ребенка в возрасте 4–6 нед. жизни (1- я группа — 46 девочек, 2- я группа — 57 мальчиков), обследованных в ООО «Клиника профессора Буштыревой» с 2019 по 2020 г. У всех детей взяли кал для проведения дальнейшего секвенирования 16S рРНК.
Результаты. При анализе данных секвенирования было выявлено, что у мальчиков доля бактерий рода Erysipelatoclostridium, предрасполагающих к развитию аллергических реакций и воспалительных заболеваний кишечника, была значимо выше, чем у девочек (12,52 и 0,2 % соответственно, р = 0,020). Доля бактерий рода Lachnoclostridium, высокие количества которых ассоциированы с устойчивостью к заболеваниям нервной системы, также значимо отличалась в группах мальчиков и девочек (0,01 и 5,78 % соответственно, р = 0,046). При анализе корреляционных матриц обнаружено, что коэффициент корреляционной адаптометрии в группе мальчиков был практически в 4 раза выше, чем у девочек (9,5 и 2,4 соответственно). При анализе заболеваемости детей до года было выявлено, что аллергии встречались практически в 3 раза чаще у мальчиков, чем у девочек (33,3 и 13 %). Эпизоды острых кишечных инфекций на 1-м году жизни зарегистрированы у 6 мальчиков и только у 1 девочки (10,5 и 2,2 %).
Выводы. У мальчиков в 1-й месяц жизни, рожденных через естественные родовые пути и находящихся на грудном вскармливании, по сравнению с девочками, доля бактерий рода Erysipelatoclostridium в составе микробиома кишечника выше, что служит фактором риска развития аллергических реакций и воспалительных заболеваний кишечника. При этом доля бактерий рода Lachnoclostridium, наоборот, у девочек была в 5 раз больше, чем у мальчиков. Выявленные отличия могут быть использованы для подбора профилактической пробиотической терапии с учетом пола ребенка.
Полный текст
АКТУАЛЬНОСТЬ
Различные формы функциональных расстройств желудочно-кишечного тракта встречаются более чем у половины детей в возрасте до 6 мес. [17]. По данным Роспотребнадзора в нашей стране имеется тенденция роста заболеваемости кишечными инфекциями у детей от 0 до 17 лет в среднем на 6–7 % в год [4, 8]. Известно также, что многие соматические заболевания, такие как диабет, ожирение, аллергии, ассоциированы с изменениями микробиоты кишечника [22].
Желудочно-кишечный тракт человека — сложная экосистема, на формирование которой оказывает влияние множество различных факторов: способ родоразрешения, диета, климатические условия и зона проживания, состояние здоровья, перенесенные заболевания, стресс и др. [25]. Микробиом кишечника состоит из более чем 35 тыс. видов микроорганизмов, в основном являющихся представителями типов Furmicutes и Bacteroidetes [16]. Опубликованы данные о большом значении микробиоты при сахарном диабете и ожирении [22].
Формированию микробиоты в кишечнике детей предшествует внутриутробный период развития, когда функциональные особенности плода в значительной степени аранжированы воздействием иммунной, эндокринной, нервной, сердечно-сосудистой системой матери, а также ее микробиотой. Эти воздействия также смодулированы полом вынашиваемого плода [1, 2, 9]. Очевидно, что в условиях ранее обнаруженных отличий в гормональном и биохимическом статусе женщин, вынашивающих плодов разного пола, будут формироваться предпосылки для отличий в составе микробиоты у плодов мужского и женского пола.
Понимание факторов, влияющих на состав кишечной микробиоты в неонатальном периоде с учетом фактора «пол ребенка», может служить важным потенциалом для изучения механизмов развития патологических состояний, что может способствовать эффективному прогнозированию, лечению и профилактике целого ряда заболеваний в педиатрической практике.
Исследование разнополых близнецов показало, что у новорожденных мужского пола был более высокий риск неонатальной смертности и заболеваемости, чем у их сиблингов женского пола, включая более высокий риск врожденных аномалий и респираторного дистресс-синдрома плода. Основополагающие механизмы этих событий до сих пор недостаточно изучены [31]. Но в основе этих явлений, очевидно, лежат особенности иммунного ответа и воспаление, вызываемое микробиотой кишечника, что было подтверждено в исследованиях, проведенных у недоношенных новорожденных [26].
Группа китайских ученых изучала микробиоту кишечника недоношенных детей, находящихся в отделении интенсивной терапии [13]. У недоношенных детей мужского и женского пола достоверно различались индексы В-разнообразия и состав микробиоты кишечника. К 3-й неделе жизни количество бифидобактерий доминировало в составе кишечной микробиоты независимо от пола ребенка, по сравнению со 2-й неделей жизни, что служит защитным адаптационным механизмом. Различия в составе микробиоты кишечника у новорожденных мальчиков и девочек особо ярко проявлялись на филогенетическом уровне микробных семейств. У мальчиков преобладали представители семейства Enterobacteriaceae, в то время как у девочек — Archangiaceae, Rhizobiaceae и Ruminococcaceae на 1-й неделе жизни. На 2-й неделе жизни у девочек преобладали Clostridiaceae, Enterococcaceae, Peptostreptococcaceae и Staphylococcaceae, у мальчиков — Bacteroidaceae, Muribaculaceae, Spirochaetaceae и Tannerellaceae. На 3-й неделе жизни у девочек доминировали Clostridiaceae, Lachnospiraceae, Muribaculaceae, Peptostreptococcaceae и Rhodobacteraceae, а у мальчиков — Enterobacteriaceae. К концу 1-го месяца жизни — у мальчиков доминировали Muribaculaceae и Prevotellaceae, у девочек — Clostridiaceae, Enterococcaceae, Halomonadaceae, Pseudomonadaceae и Staphylococcaceae.
Имеются данные, что у недоношенных мальчиков было более низкое альфа-разнообразие микробиоты кишечника после рождения, по сравнению с девочками. Именно у мальчиков доминировали представители порядка Enterobacterales, а бактерии из порядка Clostridiates были обнаружены в меньших концентрациях, чем у девочек [14].
На сегодняшний день известно о 4 фазах развития микробиома кишечника ребенка: 1-я фаза — от рождения до 2 нед. жизни характеризуется преобладанием Streptococcus, Escherichia, Lactobacillus, Bifidobacterium, Clostridium, Bacteroides ; 2-я фаза — от 2 нед. жизни до момента введения прикорма, когда нарастает количество Bacteroides ; 3-я — до момента завершения грудного вскармливания, когда наряду с ростом Bacteroides увеличивается и рост анаэробных грамположительных кокков; 4-я фаза характеризуется формированием «взрослого» типа микробиома кишечника и совпадает с завершением грудного вскармливания [10]. Дискутабельным остается вопрос, необходима ли вообще пробиотическая поддержка условно здоровым детям в первые 3 года жизни, и если необходима, то какими бактериальными препаратами, какими конкретными штаммами бактерий? Должны ли это быть только Bifidobacterium или другие роды микроорганизмов тоже допустимы, например, для профилактики исключительно аллергических реакций, кишечных инфекций? А также необходимо ли учитывать другие сопутствующие факторы (как, например, пол ребенка) для подбора пробиотической терапии?
В связи с вышеизложенным была сформулирована цель настоящего исследования — выявить особенности состава микробиома кишечника детей в возрасте 1-го месяца жизни, рожденных через естественные родовые пути и находящихся на грудном вскармливании, в зависимости от пола ребенка для оптимизации пробиотической коррекции микробиоты кишечника у детей.
МАТЕРИАЛЫ И МЕТОДЫ
В исследование были включены 103 ребенка в возрасте 4–6 нед. жизни, обследованных в клинике профессора Буштыревой по Приказу Министерства здравоохранения Российской Федерации № 514н1 с 2019 по 2020 г. У всех детей был взят кал для проведения дальнейшего секвенирования 16S рРНК. Все дети были рождены через естественные родовые пути в доношенном сроке беременности и находились на грудном вскармливании. По признаку половой принадлежности дети были разделены на 2 группы: в 1-ю группу вошли 46 девочек, во 2-ю группу — 57 мальчиков. Критерии включения в исследование: здоровые дети в возрасте 4–6 нед. жизни, рожденные в доношенном сроке беременности через естественные родовые пути, выписанные из родильного стационара на 2–3-е сутки после родов, находившиеся исключительно на грудном вскармливании. Критерии исключения: оперативное родоразрешение; преждевременные роды; искусственное или смешанное вскармливание ребенка; дети, рожденные от матерей с беременностью, протекавшей на фоне преэклампсии, фетоплацентарной недостаточности, задержки развития плода, тяжелой экстрагенитальной и акушерской патологии; дети, находившиеся после родоразрешения в условиях отделения реанимации и интенсивной терапии новорожденных.
Законные представители заполняли информированное добровольное согласие на исследование. Локальный этический комитет клиники профессора Буштыревой одобрил проведение настоящего исследования (протокол № 13 от 15.01.2019).
После дефекации ребенка исследуемый материал брали из подгузника сухим стерильным зондом в пробирку со специальной стерильной транспортной средой. Использовали кал, полученный в день исследования естественным путем, без применения слабительных и клизм. При взятии кала необходимо было избегать касания стерильного зонда краев памперса, контакт зонда возможен был только непосредственно с каловыми массами с целью избежать контаминации микрофлорой окружающей среды.
Образец флоры помещали в пробирку Эппендорфа со специальной транспортной средой «транспортная среда с муколитиком» (ФБУН Центральный НИИ эпидемиологии Роспотребнадзора, Москва, Россия), среда сохранялась при температуре 4 °C до выделения ДНК.
Тотальную ДНК выделяли из образцов кала, подвергнутых гомогенизации в лизирующем растворе. Гомогенизация проводилась вместе с шариками, с последующей экстракцией ДНК методом сорбентной колонки (Qiagen, Germantown, MD, США) в соответствии с рекомендациями производителя.
Библиотеки для секвенирования 16S рРНК готовили в соответствии с протоколом Illumina по подготовке 16S-метагеномных библиотек для секвенирования (Part #15044223 Rev. B). Наборы реагентов были приобретены у компании Illumina, Inc. (San Diego, CA, США). Для амплификации целевого фрагмента гена 16S рРНК с помощью рекомендованных праймеров для области V3–V4 использовали 5 нг общей ДНК на образец. Согласно стандартного рекомендованного количества циклов в протоколе Illumina, проводили 25 циклов полимеразной цепной реакции с использованием смеси KAPA HiFi HotStart ReadyMix (2×) (Roche Diagnostics, Цуг, Швейцария). Меньшее количество циклов нецелесообразно для применения в связи с тем, что образцы бывают с низкой концентрацией генетического материала. Далее для запуска секвенирования на платформе BGI использовали набор для конверсии библиотек Illumina MGIEasy Universal Library Conversion Kit (App-A).
Биоинформатическая обработка базы данных 16S рРНК была проведена с помощью собственного пайплана, реализованного на языках программирования R v.3.6 и Python3. На первом этапе обработки последовательности праймеров обрезали для парных прочтений, а прочтения, не содержащие последовательности праймеров, удаляли. Затем были удалены прочтения с плохим качеством ( Phred score не менее 10) и короткие (не менее 200 п. н.), полученные данные обработаны с помощью конвейера DADA2 для выявления точных вариантов последовательностей [12]. После определения точных вариантов последовательностей прямые и обратные прочтения конкатенировали, а полученные последовательности использовали для таксономической классификации по методу Naive Bayes [23] с применением референсной базы данных SILVA v.138 [24]. Идентификация видов бактерий была проведена с использованием алгоритма точного совпадения в DADA2 по предварительно обработанным с помощью пользовательских скриптов соответствующим образом последовательностям SILVA v.138.
В процессе статистической обработки данных оценивали значения медианы и интерквартильного размаха [ Q 1 ; Q 3 ], статистическую значимость результатов рассчитывали при доверительной вероятности 95 %; для сравнения групп использовали непараметрический критерий Краскела–Уоллиса для независимых выборок, непараметрический коэффициент корреляции Спирмена. Для статистической обработки данных использовали алгоритм «Деревья решений», или «Деревья классификации», а также ROC-анализ, дающий дополнительные инструменты для анализа построенных моделей и их верификации.
Исходные признаки обрабатывали с помощью пакетов прикладных программ Statistica версии 14.0.0.15, Excel 2019, IBM SPSS27.0.0.1. Для нахождения решающих правил с помощью пакета SPSS применен алгоритм RANFOR (случайный лес) и Decision Tree (деревья решений), а также кросс-проверка. Для снижения размерности исходных параметров использовали модуль «Скрининг предикторов» пакета Statistica.
Для визуализации непараметрических корреляций применен пакет GVedit 2.39.
РЕЗУЛЬТАТЫ
Оценку микробиоты кишечника проводили на таксономическом уровне родов микроорганизмов. Поскольку результат анализа микробиома кишечника представляют в процентном соотношении, а не в абсолютных величинах, анализировали долю каждого рода бактерий в общей массе микробиоты (в англоязычной литературе для обозначения доли бактерий существует термин relative abundance ).
Таблица 1. Роды микроорганизмов, выявленные методом деревьев решений, доли которых максимально отличалась между группами
Table 1. Genus of microorganisms identified by the decision tree method, the relative abundance of which differed the most between groups
Род микроорганизмов/ Genus of microorganisms | Критерий Пирсона/ Chi-square | p - value |
Rothia | 16,64496 | 0,001 |
Lactobacillus | 18,11043 | 0,001 |
Veillonella | 18,92314 | 0,002 |
Bifidobacterium | 16,72718 | 0,002 |
Enterococcus | 13,89382 | 0,008 |
Eggerthella | 15,55554 | 0,008 |
Clostridium_sensu_stricto_1 | 15,33973 | 0,009 |
Streptococcus | 12,27610 | 0,015 |
Erysipelatoclostridium | 12,25234 | 0,016 |
Flavonifractor | 10,33442 | 0,016 |
Lachnospira | 5,15679 | 0,023 |
Prevotella | 5,12175 | 0,024 |
Finegoldia | 7,42573 | 0,024 |
Sutterella | 10,64227 | 0,031 |
Pseudoscardovia | 10,33442 | 0,035 |
Alistipes | 6,64328 | 0,036 |
Escherichia/Schigella | 11,81883 | 0,037 |
Staphylococcus | 8,17489 | 0,043 |
Lachnoclostridium | 6,14273 | 0,046 |
Pseudocitrobacter1 | 7,95767 | 0,047 |
Gemella | 11,15131 | 0,048 |
Суммарно был выявлен 81 род микроорганизмов, из которых с использованием метода деревьев решений был идентифицирован 21 род, по доли которых в общей массе микробиоты различия между группами мальчиков и девочек были максимальными (табл. 1): Rothia, Lactobacillus, Veillonella, Bifidobacterium, Enterococcus, Eggerthella, Clostridium_sensu_stricto_1, Streptococcus, Erysipelatoclostridium, Flavonifractor, Lachnospira, Prevotella, Finegoldia, Sutterella, Pseudoscardovia, Alistipes, Escherichia/Schigella, Staphylococcus, Lachnoclostridium, Pseudocitrobacter1, Gemella. Доля этих родов в микробиоме кишечника мальчиков и девочек представлена в табл. 2.
Таблица 2. Средняя доля родов микроорганизмов, выявленных методом деревьев решений, которые максимально отличались между группами сравнения, медиана [ Q1; Q3], %
Table 2. Mean relative abundance of microorganism genus identified by the decision tree method, which differed the most between groups, Median [ Q1; Q3], %
Род микроорганизмов/ Genus of microorganisms | Группа 1 (женский | Группа 2 (мужской пол, | p - |
Alistipes | 0,06 | ||
Bifidobacterium | 0,35 | ||
Clostridium_sensu_stricto_1 | 0,40 | ||
Eggerthella | 0,50 | ||
Enterococcus | 0,21 | ||
Erysipelatoclostridium | 0,02 | ||
Escherichia/Schigella | 0,82 | ||
Finegoldia | 0,13 | ||
Flavonifractor | 0,07 | ||
Gemella | 0,48 | ||
Lachnoclostridium | 0,01 [0,01; 0,13 | 0,05 | |
Lachnospira | 0 | – | |
Lactobacillus | 0,89 | ||
Prevotella | 0,35 | ||
Pseudocitrobacter1 | 0,06 | ||
Pseudoscardovia | 0,16 | ||
Rothia | 0,07 | ||
Staphylococcus | 0,51 | ||
Streptococcus | 0,64 | ||
Sutterella | 0,71 | ||
Veillonella | 0,20 |
Пятью родами с самой высокой долей в микробиоме кишечника у девочек были Bifidobacterium (29,69 %), Escherichia/Schigella (16,41 %), Clostridium_sensu _stricto_1 (7,43 %), Streptococcus (6,93 %) и Lachnoclostridium (5,78 %), у мальчиков — Bifidobacterium (27,02 %), Escherichia/Schigella (14,31 %), Erysipelatoclostridium (12,52 %), Clostridium_sensu_stricto_1 (7,8 %) и Streptococcus (6,13 %). Примечательно, что у мальчиков доля Erysipelatoclostridium была значимо выше, чем у девочек (12,52 и 0,2 % соответственно, р = 0,020) (рис. 1, а ). У мальчиков практически не были выявлены бактерии родов Lachnoclostridium и Lachnospira (0,01 и 0 %), в то время как у девочек они были обнаружены в небольших количествах (5,78 и 1,31 % соответственно). Доля бактерий рода Lachnoclostridium так же значимо отличалась в группах мальчиков и девочек (0,01 и 5,78 % соответственно, р = 0,046) (рис. 1, b ).
Рис. 1. Диаграмма размаха долей бактерий рода Erysipelatoclostridium ( а ) и Lachnoclostridium ( b ) в составе микробиоты кишечника девочек (0) и мальчиков (1). Жирная линия внутри обозначает медиану каждой группы, нижняя и верхняя часть прямоугольника — 25-й и 75-й процентили соответственно, «усы» — минимальное и максимальное значение, не являющееся экстремальным
Fig. 1. Range diagram of the relative abundance of bacteria of the genus Erysipelatoclostridium ( а ) and Lachnoclostridium ( b ) in the intestinal microbiota of girls (0) and boys (1). The thick line inside denotes the median of each group, the bottom and top of the box are the 25 th and 75 th percentiles, respectively. “Whiskers” is a minimum and maximum value that is not extreme
Для определения степени интеграции между изучаемыми родами бактерий в составе микробиома кишечника детей в обеих группах был проведен корреляционный анализ. Для удобства межгруппового сравнения при помощи метода корреляционной адаптометрии осуществляли суммарную оценку корреляционных весов в сопоставляемых группах. При увеличении адаптационной нагрузки или смене условий существования в изучаемой системе увеличивается число корреляций, их величина и знак между изучаемыми системами, в результате же успешной адаптации количество и сила этих связей снижается.
Рис. 2. Коррелограмма связей между родами бактерий, выделенных в результате секвенирования 16S рРНК, в микробиоме кишечника в 1-й группе (у девочек). Красным цветом показаны доминирующие в составе микробиома кишечника роды бактерий по их доле у девочек. Черные сплошные стрелки — положительные корреляции, цифра над стрелкой — сила корреляции
Fig. 2. Correlogram of relationships between bacterial genus isolated in 16S rRNA sequencing in the intestinal microbiome of girls in group 1. The dominant bacterial genus in the gut microbiome are shown in red color, based on their mean relative abundance in girls. The black solid directions indicate positive correlations, and the number above the arrow indicates the strength of the correlation
Коррелограммы представлены на рис. 2 и 3 соответственно для девочек и мальчиков. Все связи, показанные на рисунках, были статистически значимыми ( p ≤ 0,05).При анализе корреляционных матриц в группе девочек (рис. 3) обращает на себя внимание тот факт, что все связи были только положительными, что указывает на симбиотический тип взаимодействия между представленными на коррелограмме родами бактерий. Так, у Bifidobacterium была положительная связь средней силы с Staphylococcus (ρ = 0,6), у Staphylococcus — положительная сильная связь с бактериями рода Rothia (ρ = 0,9). У Enterococcus была положительная связь средней силы с бактериями родов Escherichia/Schigella и Clostridium_sensu_stricto_1 (ρ = 0,5).
Рис. 3. Коррелограмма связей между родами бактерий, выделенных в результате секвенирования 16S рРНК, в микробиоме кишечника во 2-й группе (у мальчиков). Красным цветом отмечены доминирующие в составе микробиома кишечника роды бактерий по их доле у мальчиков. Черные сплошные стрелки — положительные корреляции, красные прерывистые стрелки — отрицательные корреляции, цифра над стрелкой — сила корреляции
Fig. 3. Correlogram of relationships between bacterial genera isolated in 16S rRNA sequencing in the intestinal microbiome in group 2 in boys. The dominant bacterial genus in the gut microbiome are shown in red color, based on their mean relative abundance in boys. Black solid arrows indicate positive correlations, red dashed arrows indicate negative correlations, and the number above the arrow indicates the strength of the correlation
При анализе характера корреляций в группе мальчиков (рис. 3) обращает на себя внимание наличие как положительных, так и отрицательных связей. У Bifidobacterium были положительная связь средней силы с Gemella (ρ = 0,6) и сильная — с Pseudoscardovia (ρ = 0,7), слабая отрицательная связь с Clostridium_sensu_stricto_1 (ρ = 0,2) и средней силы отрицательная связь с Escherichia/Schigella (ρ = 0,4). У Clostridium_sensu_stricto_1 были сильная (ρ = 0,7) отрицательная связь с Pseudoscardovia и Eggerthella (ρ = 0,9), а также положительная связь средней силы с Escherichia/Schigella (ρ = 0,5) и Streptococcus (ρ = 0,4), положительная сильная с Erysipelatoclostridium (ρ = 0,8). У Streptococcus были отрицательная сильная связь с бактериями рода Pseudoscardovia (ρ = 0,9) и положительная связь средней силы с Lactobacillus (ρ = 0,5) и Escherichia/ Schigella (ρ = 0,4). У бактерии рода Rothia были сильная положительная связь с Lactobacillus (ρ = 0,7) и связь средней силы — с Escherichia/Schigella (ρ = 0,5). У Enterococcus была положительная связь средней силы с Veilonella (ρ = 0,4) и Eggerthella (ρ = 0,6).
Примечательно, что в структуре корреляционных матриц Bifidobacterium, преобладающих в составе микробиоты обеих групп и являющихся нормальными обитателями микробиоты кишечника у детей раннего возраста, нашли значимые отличия в зависимости от половой принадлежности детей: в группе девочек была зарегистрирована одна положительная связь средней силы между бактериями рода Bifidobacterium и Staphylococcus. Bifidobacterium — продуценты лактата и ацетата, участвуют в синтезе бутирата, чрезвычайно полезного для здоровья кишечной микробиоты. Учитывая положительную связь со стафилококками, можно предположить, что это были непатогенные виды стафилококков. У мальчиков степень интеграции Bifidobacterium с другими родами бактерий была выражена значительно сильнее, о чем свидетельствовало четырехкратное превалирование корреляций. Обнаружены также отрицательные обратные связи слабой силы с Clostridium_sensu_stricto_1, чьи высокие концентрации ассоциированы с аллергическими реакциями, и с Escherichia/Schigella, являющихся условно-патогенными. При этом более высокие показатели корреляций бактерий рода Clostridium_sensu_stricto_1 в группе мальчиков, по сравнению с группой девочек (5 связей у мальчиков против 1 у девочек), свидетельствующие об их достаточно «агрессивном» поведении именно в группе мальчиков, демонстрируют их преобладание в составе микробиома и могут служить причиной подавления бактерий родов Eggerthella, Pseudoscardovia и Bifidobacterium.
В целом, микробиота кишечника мальчиков функционирует с более выраженным адаптационным напряжением, по сравнению с микробиотой девочек, о чем свидетельствует и коэффициент корреляционной адаптометрии: в группе мальчиков значение этого коэффициента составило 9,5, что было практически в 4 раза выше, чем в группе девочек, — 2,4.
Из 21 рода микроорганизмов методом деревьев решений были выделены 4 рода, которые максимально влияли на разделение между группами: Eggerthella, Erysipelatoclostridium, Flavonifractor, Escherichia/Shigella. Характерным для женского пола ребенка будет система неравенств (решаюших правил): Eggerthella ≤0,15419, Erysipelatoclostridium ≤3.5103545 и Flavonifractor ≤2,6856495, а также Eggerthella >0,15419 и Escherichia/Shigella ≤1,4985. Система решающих правил, характерная для мужского пола ребенка: Eggerthella ≤0,15419 и Erysipelatoclostridium >3,5103545, а также Eggerthella >0,15419 и Escherichia/Shigella >1,4985.
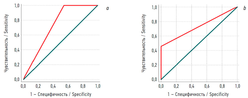
Площадь ROC-кривых для мужского и женского пола составила при этом 0,731 (рис. 4).
Рис. 4. ROC-кривая: а — для 1-й группы (девочки); b — для 2-й группы (мальчики). Верхняя линия — ROC-кривая, нижняя линия — опорная линия
Fig. 4. ROC curve: а, for the group 1 (girls); b, for the observation group 2 (boys). The top line is the ROC curve, the bottom line is the reference line
Каждый ребенок, принимавший участие в исследовании, продолжал наблюдение у педиатров клиники. До 1-го года жизни оценивали частоту тех или иных заболеваний, с которыми родители обращались за консультацией к педиатрам (табл. 3).
Таблица 3. Частота заболеваемости детей обследуемых групп на 1-м году жизни
Table 3. Morbidity rates in children of the study groups in the 1st year of life
Нозология / Nosology | Группа 1 Group 1 | Группа 2 Group 2 |
Аллергические заболевания / Allergic diseases | 6 (13 %) | 19 (33,3 %) |
Эпизоды острых кишечных инфекций / Episodes of acute intestinal infections | 1 (2,2 %) | 6 (10,5 %) |
Острые респираторные вирусные инфекции / Acute respiratory viral infections | 12 (26,1 %) | 14 (24,6 %) |
Неврологическая патология / Neurological pathology | 6 (13 %) | 4 (7 %) |
Те или иные аллергические проявления встречали практически в 3 раза чаще у мальчиков, чем у девочек (33,3 и 13 % наблюдаемых соответственно). Эпизоды острых кишечных инфекций любой этиологии (и бактериальной, и вирусной) на 1-м году жизни зарегистрированы у 6 мальчиков и только у 1 девочки (10,5 и 2,2 % соответственно). Острые респираторные вирусные инфекции встречались одинаково часто среди детей наблюдаемых групп, как и не было существенной разницы между частотой неврологической патологии у сравниваемых групп (13 % у девочек и 7 % у мальчиков).
ОБСУЖДЕНИЕ
Примечательный факт анализа — значимо более высокая доля бактерий рода Erysipelatoclostridium у мальчиков, в отличие от девочек (12,52 и 0,2 % соответственно, р = 0,020). С внедрением технологии секвенирования нового поколения обнаружено большое количество родов бактерий, которые ранее не находились с помощью стандартных бактериологических культуральных методик, в связи с чем до конца их роль в развитии патологических состояний остается мало изученной. По немногочисленным данным литературы известно, что бактерии этого рода в высоких количествах характерны для пищевой аллергии у детей, в том числе аллергии на пшеницу [18]. Помимо этого, повышенные концентрации характерны для воспалительных заболеваний кишечника, а также диеты с высоким содержанием жиров [20, 32]. Интересен также тот факт, что количество Erysipelatoclostridium в составе кишечной микробиоты может увеличиваться в результате применения такой пищевой добавки, как динатриевая соль пирролохинолинхинона (PQQ), содержащегося в норме в бобовых, петрушке, шпинате, сельдерее и в некоторых витаминах, что может указывать на употребление матерями в пищу этих продуктов и витаминов [27]. Полученные данные свидетельствуют о том, что обнаружение бактерий рода Erysipelatoclostridium в микробиоме может служить ранним предиктором воспалительных заболеваний кишечника, аллергических реакций и метаболических нарушений у мальчиков, что при условии своевременной коррекции позволит эти риски минимизировать.
Бактерии рода Lachnoclostridium были чаще выявлены у мальчиков, по сравнению с девочками, в очень низком количестве, а бактерии рода Lachnospira не зарегистрированы у мальчиков совсем. Известно, что высокие значения Lachnoclostridium в кишечном микробиоме ассоциированы с устойчивостью к заболеваниям нервной системы и психическим расстройствам [19], что может говорить о большей уязвимости мальчиков к этим заболеваниям. Что касается бактерий рода Lachnospira, то по данным одного из исследований, в методологической основе которого также лежал метод деревьев решений, бактерии этого рода считаются важными предикторами расстройств аутистического спектра [21], что свидетельствует о принадлежности девочек к группе риска по аутизму. Снижение количества Lachnospira у мальчиков может быть также ранним маркером развития аллергических реакций [28], что, в свою очередь, коррелирует с данными о высокой доле у мальчиков бактерий рода Erysipelatoclostridium по данным настоящего исследования.
При анализе корреляционных связей в группе мальчиков и девочек обращает на себя внимание интенсивность взаимодействия родов микроорганизмов друг с другом в кишечном микробиоме в зависимости от половых отличий. В группе девочек связей на порядок меньше, все они носят положительный характер, что свидетельствует о возможности существования симбиоза, направленного на поддержание гомеостаза. Для микробиома мальчиков характерен как симбиотический, так и антагонистический типы взаимодействия между различными родами бактерий. И если в группе девочек одни и те же бифидобактерии поддерживают симбиотический вариант сосуществования с другими родами бактерий, то в группе мальчиков они потенциально способны подавлять условно-патогенную микрофлору.
Данное предположение подтверждалось и при оценке коэффициента корреляционной адаптометрии, который у мальчиков оказался практически в 4 раза выше, чем у девочек (9,5 и 2,4 соответственно), что свидетельствовало о более выраженном напряжении функциональных подсистем детского организма, направленном на поддержание гомеостаза [3, 5–7].
Метод деревьев решений позволил выявить тот факт, что женский пол ассоциировался с невысокой долей бактерий родов Eggerthella (≤0,154), Erysipelatoclostridium (≤3,510) и Flavonifractor (≤2,686). По данным литературы, высокие значения Erysipelatoclostridium и Flavonifractor ассоциированы с высоким риском аллергических реакций, высокие значения Eggerthella — с риском неврологических нарушений, депрессивных расстройств, ревматоидным артритом у взрослых и инсулинорезистентностью [11, 15, 29, 30], что говорит о низкой вероятности развития аллергических реакций и неврологических осложнений у девочек.
Следующим неравенством, характерным для микробиоты детей женского пола, было Eggerthella >0,15419 и Escherichia/Shigella ≤1,4985, что может говорить о том, что даже в случае повышения доли бактерий рода Eggerthella в микробиоме кишечника девочек, воспалительный потенциал микробиоты, то есть вероятность наступления кишечных инфекций, ассоциированных с Escherichia /Shigella, был минимален.
Система решающих правил, характерная для мужского пола ребенка, — Eggerthella ≤0,15419 и Erysipelatoclostridium >3,5103545, может быть потенциально интерпретирована как наличие высокого риска аллергических реакций при низких рисках заболеваний нервной системы у мальчиков. Второе неравенство, характерное для микробиоты кишечника мальчиков — Eggerthella >0,15419 и Escherichia/Shigella >1,4985, — косвенно свидетельствует о высоком потенциале микробиоты к развитию кишечных инфекций, а также о рисках неврологической патологии.
Дальнейшее клиническое наблюдение за детьми до года жизни показало, что аллергические заболевания действительно регистрировали чаще у мальчиков, чем у девочек (33,3 и 13 %), и потенциал микробиоты кишечника к развитию воспалительных реакций, а именно подверженность острым кишечным инфекциям была также выше у мальчиков, чем у девочек (10,5 и 2,2 % соответственно). Полученные клинические наблюдения могут быть объяснены различиями микробиоты кишечника детей в раннем возрасте: более высокая доля бактерий рода Erysipelatoclostridium у мальчиков, чем у девочек (12,52 и 0,2 % соответственно, р = 0,020) — это фактор риска развития разнообразных проявлений аллергий. Отсутствие бактерий рода Lachnospira у мальчиков также служит фактором, предрасполагающим к развитию аллергических реакций.
Общий воспалительный потенциал микробиоты кишечника был выше у мальчиков, чем у девочек, что также подтверждено клиническими наблюдениями: эпизоды острых кишечных инфекций у мальчиков на 1-м году жизни возникали чаще, чем у девочек. С одной стороны, это объясняется более высокими концентрациями провоспалительных родов бактерий Escherichia/Shigella у мальчиков по данным анализа с помощью деревьев решений (система неравенств Eggerthella >0,15419 и Escherichia/Shigella >1,4985 у мальчиков; и система неравенств Eggerthella >0,15419 и Escherichia/Shigella ≤1,4985 у девочек). С другой стороны, больший воспалительный потенциал микробиоты можно объяснить и высоким количеством симбиотических и антагонистических связей между родами бактерий у мальчиков при проведении корреляционного анализа, большим «напряжением» всей экосистемы бактерий у мальчиков, по сравнению с девочками.
При проведении корреляционного анализа выявлено, что у мальчиков состояние микробного гомеостаза было обеспечено более высоким количеством положительных и отрицательных связей между бактериями в кишечном микробиоме, по сравнению с девочками, что выражалось в четырехкратном превышении у них коэффициента корреляционной адаптометрии. При этом в течение 1-го года жизни острые кишечные инфекции у мальчиков встречались чаще, чем у девочек, что, по-видимому, указывает на необходимость привлечения большего количества связей между микробными подсистемами для поддержания гомеостаза.
Полученные данные могут быть применимы при разработке персонализированного подхода к пробиотической поддержке детей 1-го года жизни, с учетом пола в том числе.
ВЫВОДЫ
- При изучении влияния половых отличий на состав микробиома кишечника детей в возрасте 1-го месяца жизни, рожденных через естественные родовые пути и находящихся на грудном вскармливании, выявлено, что у мальчиков доля бактерий рода Erysipelatoclostridium была значимо выше, чем у девочек (12,52 и 0,2 % соответственно, р = 0,020), а доля бактерий рода Lachnoclostridium была выше у девочек, по сравнению с мальчиками (5,78 и 0,01 % соответственно, р = 0,046).
- При проведении корреляционного анализа обнаружено, что у мальчиков состояние микробного гомеостаза было обеспечено более высоким количеством положительных и отрицательных связей между бактериями в кишечном микробиоме, по сравнению с девочками, что выражалось в четырехкратном превышении у них коэффициента корреляционной адаптометрии.
- Анализ методом «деревья решений» показал, что для мальчиков в составе микробиоты кишечника характерны высокие количества бактерий родов Erysipelatoclostridium и Escherichia/Shigella, а для девочек, наоборот, низкое количество бактерий этих родов.
ЗАКЛЮЧЕНИЕ
На сегодняшний день не так много научных работ посвящено половым отличиям в микробиоте кишечника у детей раннего возраста. Тем не менее эти уникальные данные могли бы быть очень важны для подбора персонализированной терапии дисбиотических состояний у детей с учетом пола, а также для профилактики заболеваний.
Половые отличия микробиоты кишечника в постнатальной жизни могут быть факторами риска развития соматических заболеваний, аллергических реакций, включая аутоиммунные и метаболические болезни в периоде взрослой жизни. Нельзя игнорировать пол как предрасполагающий фактор развития тех или иных нарушений состояния здоровья в постнатальной жизни, в том числе и с позиции формирования микробиома кишечника.
ДОПОЛНИТЕЛЬНАЯ ИНФОРМАЦИЯ
Вклад авторов. Все авторы внесли существенный вклад в разработку концепции, проведение исследования и подготовку статьи, прочли и одобрили финальную версию перед публикацией.
Источник финансирования. Авторы заявляют об отсутствии внешнего финансирования при проведении исследования.
Конфликт интересов. Авторы декларируют отсутствие явных и потенциальных конфликтов интересов, связанных с публикацией настоящей статьи.
Информированное согласие на публикацию. Получено информированное согласие законных представителей пациентов на участие в исследовании.
ADDITIONAL INFO
Authors’ contribution. All authors made a substantial contribution to the conception of the study, acquisition, analysis, interpretation of data for the work, drafting and revising the article, final approval of the version to be published and agree to be accountable for all aspects of the study.
Funding source. This study was not supported by any external sources of funding.
Competing interests. The authors declare that they have no competing interests.
Consent for publication. Consent for publication. Written consent was obtained from the patient for publication of relevant medical information within the manuscript.
1 Приказ Министерства здравоохранения Российской Федерации от 10.08.2017 № 514н «О порядке проведения профилактических медицинских осмотров несовершеннолетних».
Об авторах
Виктория Владиславовна Баринова
Клиника профессора Буштыревой
Автор, ответственный за переписку.
Email: victoria-barinova@yandex.ru
ORCID iD: 0000-0002-8584-7096
SPIN-код: 5068-0680
кандидат медицинских наук, заместитель директора, врач акушер-гинеколог
Россия, 344011, Ростов-на-Дону, пер. Соборный, д. 58/7Дмитрий Олегович Иванов
Санкт-Петербургский государственный педиатрический медицинский университет
Email: spb@gpma.ru
ORCID iD: 0000-0002-0060-4168
SPIN-код: 4437-9626
доктор медицинских наук, профессор, заведующий кафедрой неонатологии с курсами неврологии и акушерства-гинекологии ФП и ДПО, ректор
Россия, Санкт-ПетербургИрина Олеговна Буштырева
Клиника профессора Буштыревой
Email: kio4@mail.ru
ORCID iD: 0000-0001-9296-2271
SPIN-код: 5009-1565
Dr. Sci. (Medicine), Professor, Director
Россия, 344011, Ростов-на-Дону, пер. Соборный, д. 58/7Татьяна Леонидовна Боташева
Ростовский государственный медицинский университет
Email: t_botasheva@mail.ru
ORCID iD: 0000-0001-5136-1752
SPIN-код: 3341-2928
доктор медицинских наук, профессор, главный научный сотрудник акушерско-гинекологического отдела НИИ акушерства и педиатрии
Россия, Ростов-на-ДонуВасилиса Валерьевна Дудурич
Медико-генетический центр «Сербалаб»
Email: vasilisadudurich@yandex.ru
ORCID iD: 0000-0002-6271-5218
руководитель отдела метагеномных исследований
Россия, Санкт-ПетербургЛаврентий Глебович Данилов
Медико-генетический центр «Сербалаб»
Email: lavrentydanilov@gmail.com
ORCID iD: 0000-0002-4479-3095
SPIN-код: 7424-8745
биоинформатик лаборатории
Республика Корея, Санкт-ПетербургСписок литературы
- Боташева Т.Л., Андреева В.О., Рымашевский А.Н., и др. Роль половой принадлежности плода в патогенезе гестационного сахарного диабета и акушерских осложнений // Акушерство и гинекология. 2022. № 9. С. 33–41. EDN: EUEXNL doi: 10.18565/aig.2022.9.33-41
- Боташева Т.Л., Рымашевский А.Н., Фабрикант А.Д., и др. Особенности гликемического статуса, про- и контринсулярных факторов у беременных с гестационным сахарным диабетом в зависимости от половой принадлежности плода // Главный врач Юга России. 2022. № 1. С. 6–9. EDN: OGMFOJ
- Горбань А.Н., Манчук В.Т., Петушкова Е.В. Динамика корреляций между физиологическими параметрами при адаптации и эколого-эволюционный принцип полифакториальности. В кн.: Проблемы экологического мониторинга и моделирования экосистем. Ленинград: Гидрометеоиздат. 1987. С. 187–198.
- Печкуров Д.В., Турти Т.В., Беляева И.А., Тяжева А.А. Микробиота кишечника у детей: от профилактики нарушений становления к предупреждению неинфекционных заболеваний // Педиатрическая фармакология. 2016. Т. 13, № 4. С. 377–383. EDN: WQSIPF doi: 10.15690/pf.v13i4.1611
- Покидышева Л.И., Игнатова И.А. Корреляционная адаптометрия и метод главных компонент в оценке адаптационных возможностей иммунной системы // Системный анализ и управление в биомедицинских системах. 2011. Т. 10, № 1. С. 152–157. EDN: NDOSQZ
- Светличная Г.Н., Смирнова Е.В., Покидышева Л.И. Корреляционная адаптометрия как метод оценки кардиоваскулярного и респираторного взаимодействия // Физиология человека. 1997. Т. 23, № 3. С. 58–62. EDN: TIKWUZ
- Седов К.Р., Горбань А.Н., Петушкова Е.В., и др. Корреляционная адаптометрия как метод диспансеризации населения // Вестник АМН СССР. 1988. № 10. C. 69–75. EDN: RBHXEH
- Усенко Д.В., Плоскирева А.А., Горелов А.В. Острые кишечные инфекции у детей в практике педиатра: возможности диагностики и терапии // Вопросы современной педиатрии. 2014. Т. 13, № 3. С. 12–20. EDN: SHWORB
- Фабрикант А.Д., Боташева Т.Л., Рымашевский А.Н., и др. Значимость половой принадлежности плода в структуре акушерской патологии у беременных с гестационным сахарным диабетом // Медицинский вестник Юга России. 2021. Т. 12, № 4. С. 20–26. EDN: ORJWJZ doi: 10.21886/2219-8075-2021-12-4-20-26
- Харитонова Л.А., Григорьев К.И., Папышева О.В., Борзакова С.Н. Микробиота и здоровье ребенка: задачи медицинской практики // Российский вестник перинатологии и педиатрии. 2022. Т. 67, № 1. С. 5–13. EDN: AVAIOP doi: 10.21508/1027-4065-2022-67-1-5-13
- Balakrishnan B., Luckey D., Wright K., et al. Eggerthella lenta augments preclinical autoantibody production and metabolic shift mimicking senescence in arthritis // Sci Adv. 2023. Vol. 9, N 35. ID eadg1129. doi: 10.1126/sciadv.adg1129
- Callahan B.J., McMurdie P.J., Rosen M.J., et al. DADA2: High-resolution sample inference from Illumina amplicon data // Nat Methods. 2016. Vol. 13. P. 581–583. doi: 10.1038/nmeth.3869
- Chen J., Li H., Maas K., et al. Sex-specific gut microbiome profiles among preterm infants during the neonatal intensive care hospitalization // Interdiscip Nurs Res. 2022. Vol. 1, N 1. P. 6–13. doi: 10.1097/NR9.0000000000000004
- Cong X., Xu W., Janton S., et al. Gut microbiome developmental patterns in early life of preterm infants: impacts of feeding and gender // PloS One. 2016. Vol. 11. ID e0152751. doi: 10.1371/journal.pone.0152751
- Gao M., Wang J., Liu P., et al. Gut microbiota composition in depressive disorder: a systematic review, meta-analysis, and meta-regression // Transl Psychiatry. 2023. Vol. 13, N 1. ID 379. doi: 10.1038/s41398-023-02670-5
- Gupta V.K., Paul S., Dutta C. Geography, ethnicity or subsistence-specific variations in human microbiome composition and diversity // Front Microbiol. 2017. Vol. 8. ID 1162. doi: 10.3389/fmicb.2017.01162
- Iacono G., Merolla R., D’Amico D., et al. Gastrointestinal symptoms in infancy: a population-based prospective study // Dig Liver Dis. 2005. Vol. 37, N 6. P. 432–438. doi: 10.1016/j.dld.2005.01.009
- Kanchongkittiphon W., Nopnipa S., Mathuranyanon R., et al. Characterization of gut microbiome profile in children with confirmed wheat allergy // Asian Pac J Allergy Immunol. 2024. doi: 10.12932/AP-080623-1626
- Manchia M., Paribello P., Pisanu C., et al. A pilot interaction analysis of gut microbiota and peripheral markers of aging in severe psychiatric disorders: a role for Lachnoclostridium? // Int J Mol Sci. 2023. Vol. 24, N 24. ID 17618. doi: 10.3390/ijms242417618
- Ning L., Zhou Y.-L., Sun H., et al. Microbiome and metabolome features in inflammatory bowel disease via multi-omics integration analyses across cohorts // Nat Commun. 2023. Vol. 14, N 1. ID 7135. doi: 10.1038/s41467-023-42788-0
- Olaguez-Gonzalez J.M., Chairez I., Breton-Deval L., Alfaro-Ponce M. Machine learning algorithms applied to predict autism spectrum disorder based on gut microbiome composition // Biomedicines. 2023. Vol. 11, N 10. ID 2633. doi: 10.3390/biomedicines11102633
- Patterson E., Ryan P.M., Cryan J.F., et al. Gut microbiota, obesity and diabetes // Postgrad Med J. 2016. Vol. 92, N 1087. P. 286–300. doi: 10.1136/postgradmedj-2015-133285
- Qiong W., Garrity M.G., Tiedje M.J., Cole R.J. Naïve Bayesian classifier for rapid assignment of rRNA sequences into the new bacterial taxonomy // Appl Environ Microbiol. 2007. Vol. 73, N 16. P. 5261–5267. doi: 10.1128/AEM.00062-07
- Quast C., Pruesse E., Yilmaz P., et al. The SILVA ribosomal RNA gene database project: Improved data processing and web-based tools // Nucleic Acids Res. 2013. Vol. 41, N D1. P. D590–D596. doi: 10.1093/nar/gks1219
- Rinninella E., Raoul P., Cintoni M., et al. What is the healthy gut microbiota composition? A changing ecosystem across age, environment, diet, and diseases // Microorganisms. 2019. Vol. 7, N 1. ID 1 4. doi: 10.3390/microorganisms7010014
- Seki D., Mayer M., Hausmann B., et al. Aberrant gut-microbiota-immune-brain axis development in premature neonates with brain damage // Cell Host Microbe. 2021. Vol. 29, N 10. P. 1558–1572.e6. doi: 10.1016/j.chom.2021.08.004
- Shao D., Liu L., Tong H., Shi S. Dietary pyrroloquinoline quinone improvement of the antioxidant capacity of laying hens and eggs are linked to the alteration of Nrf2/HO-1 pathway and gut microbiota // Food Chem X. 2023. Vol. 20. ID 101021. doi: 10.1016/j.fochx.2023.101021
- Simonyté Sjödin K., Hammarström M.-L., Rydén P., et al. Temporal and long-term gut microbiota variation in allergic disease: A prospective study from infancy to school age // Allergy. 2019. Vol. 74, N 1. P. 176–185. doi: 10.1111/all.13485
- Wang Y., Hou J., Tsui J.C.-C., et al. Unique gut microbiome signatures among adult patients with moderate to severe atopic dermatitis in Southern Chinese // Int J Mol Sci. 2023. Vol. 24, N 16. ID 12856. doi: 10.3390/ijms241612856
- Zhang B., Zhang X., Luo Z., et al. Microbiome and metabolome dysbiosis analysis in impaired glucose tolerance for the prediction of progression to diabetes mellitus // J Genet Genomics. 2023. Vol. 51, N 1. P. 75–86. doi: 10.1016/j.jgg.2023.08.005
- Zhao D., Zou L., Lei X., Zhang Y. Gender differences in infant mortality and neonatal morbidity in mixed-gender twins // Sci Rep. 2017. Vol. 7, N 1. ID 8736. doi: 10.1038/s41598-017-08951-6
- Zhu X., Cai J., Wang Y., et al. A high-fat diet increases the characteristics of gut microbial composition and the intestinal damage associated with non-alcoholic fatty liver disease // Int J Mol Sci. 2023. Vol. 24, N 23. ID 16733. doi: 10.3390/ijms242316733
Дополнительные файлы





