Постковидные когнитивные нарушения: мишени нейропсихологической коррекции
- Авторы: Кутькова А.К.1,2,3, Земляных М.В.1, Вознюк И.А.2
-
Учреждения:
- Санкт-Петербургский государственный педиатрический медицинский университет
- Первый Санкт-Петербургский государственный медицинский университет им. акад. И.П. Павлова
- Научно-исследовательский институт скорой помощи им. И.И. Джанелидзе
- Выпуск: Том 15, № 3 (2024)
- Страницы: 77-84
- Раздел: Клиническая психология
- URL: https://journals.rcsi.science/pediatr/article/view/277304
- DOI: https://doi.org/10.17816/PED15377-84
- ID: 277304
Цитировать
Аннотация
Актуальность. На данный момент большое количество научных исследований посвящено теме постковидных когнитивных расстройств, а также изучению неврологических и психиатрических последствий COVID-19. Однако вопросы описания когнитивного профиля, патогномоничного для постковидного пациента, а также лечения и нейрокоррекции возникающих нарушений рассматриваются крайне редко.
Цель — составить когнитивный профиль постковидного пациента, выявить мишени для нейропсихологической реабилитации.
Материалы и методы. Проведено полное нейропсихологическое обследование 50 пациентов, перенесших COVID-19 средней или легкой степени тяжести не больше полугода назад от момента проведения исследования. Использовали: MoCA-тест, тест «рисунок часов», методику вербальных ассоциаций, FAB, пробу Г. Хэда, пробу на понимание сравнительных конструкций, пробу «бочка и ящик», тест символьно-цифрового кодирования, шкалу оценки астении (MFI-20), Больничную шкалу тревоги и депрессии.
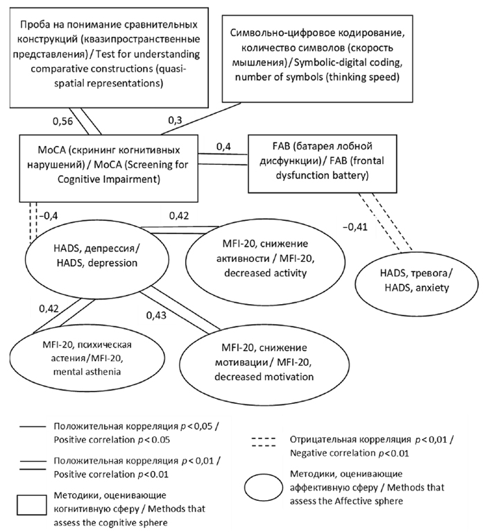
Результаты. По результатам скрининговых шкал пациенты набирали пограничное количество баллов между нормой и легким (субъективным) когнитивным снижением. Нарушений оперативной слухоречевой и зрительной памяти не было. Отмечены низкие показатели по методике символьно-цифрового кодирования в сочетании с ухудшением понимания логико-грамматических конструкций. Эти же шкалы имеют прямую корреляционную связь с общим уровнем когнитивной сохранности. Выявлены высокие показатели тревоги и астении, низкие показатели депрессии.
Выводы. У данной когорты пациентов имеется когнитивный дефицит легкой степени. На первый план выходят снижение нейродинамических показателей и нарушение квазипространственных представлений. Наблюдаются высокие показатели тревоги и астении при ведущем психическом компоненте астении на фоне сохранной мотивации и низких показателей депрессии. Мишенями нейрокоррекции для данных пациентов являются: устойчивость внимания, беглость речи, скорость мышления, квазипространственные представления.
Полный текст
Открыть статью на сайте журналаОб авторах
Анна Константиновна Кутькова
Санкт-Петербургский государственный педиатрический медицинский университет; Первый Санкт-Петербургский государственный медицинский университет им. акад. И.П. Павлова; Научно-исследовательский институт скорой помощи им. И.И. Джанелидзе
Автор, ответственный за переписку.
Email: kutkova.nura@yandex.ru
ORCID iD: 0009-0001-5825-9686
SPIN-код: 4595-7455
аспирант кафедры психосоматики и психотерапии медицинской психологии, ФГБОУ ВО «Санкт-Петербургский государственный педиатрический медицинский университет» Минздрава России; медицинский психолог, ФГБОУ ВО «Первый Санкт-Петербургский государственный медицинский университет им. И.П. Павлова»; медицинский психолог, ГБУ «СПб НИИ скорой помощи им. И.И. Джанелидзе»
Россия, Санкт-Петербург; Санкт-Петербург; Санкт-ПетербургМарина Веанировна Земляных
Санкт-Петербургский государственный педиатрический медицинский университет
Email: mvz6@mail.ru
SPIN-код: 9576-8022
канд. мед. наук, доцент кафедры психосоматики и психотерапии
Россия, Санкт-ПетербургИгорь Алексеевич Вознюк
Первый Санкт-Петербургский государственный медицинский университет им. акад. И.П. Павлова
Email: voznjouk@yandex.ru
ORCID iD: 0000-0002-0340-4110
SPIN-код: 3340-2897
д-р мед. наук, профессор кафедры неврологии
Россия, Санкт-ПетербургСписок литературы
- Балашова Е.Ю., Ковязина М.С. Нейропсихологическая диагностика в вопросах и ответах. Москва: Генезис, 2022. 240 c.
- Вассерман Л.И., Дорофеева С.А., Меерсон Я.А. Методы нейропсихологической диагностики: Практическое руководство. Санкт Петербург: Стройлеспечать, 1997. 400 c.
- Головачева В.А., Табеева Г.Р., Кузнецов И.В. Когнитивные нарушения при COVID-19: взаимосвязь, патогенез и вопросы терапии // Неврология, нейропсихиатрия, психосоматика. 2021. Т. 13, № 2. С. 123–129. EDN: ZYCCMG doi: 10.14412/2074-2711-2021-2-123-129
- Гусев Е.И., Боголепова А.Н. Когнитивные нарушения при цереброваскулярных заболеваниях. Москва: МЕДпресс-информ, 2013. 176 c.
- Левин О.С. Алгоритмы диагностики и лечения деменции. Москва: МЕДпресс-информ, 2018. 192 c.
- Левин О.С. Диагностика и лечение когнитивных нарушений и деменции в клинической практике. Москва: МЕДпресс-информ, 2019. 448 c.
- Лобзин В.Ю., Литвиненко И.В., Пушкарев В.А. Когнитивные нарушения у перенесших COVID-19: «туман в голове» или дебют нейродегенерации? // Бюллетень безопасности общества по статистике болезней Паркинсона и нарушений общественного порядка. 2022. № 2. 138–140.
- Некрасова Ю.Ю., Горшков К.М., Колесов Д.В., и др. Нейрокогнитивные нарушения у пациентов, перенесших COVID-19: патогенез и направления реабилитации // Трудный пациент. 2021. Т. 19, № 6. С. 8–17. EDN: OUQIPR
- Преображенская И.С. COVID-ассоциированные когнитивные нарушения // Consilium Medicum. 2022. Т. 24, № 2. С. 96–102. EDN: IMWYLI doi: 10.26442/20751753.2022.2.201512
- Taboada M., Moreno E., Cariñena A., et al. Quality of life, functional status, and persistent symptoms after intensive care of COVID-19 patients // Br J Anaesth. 2021. Vol. 126, N 3. P. e110–e113. doi: 10.1016/j.bja.2020.12.007
- Tenforde M.W., Kim S.S., Lindsell C.J., et al. Symptom duration and risk factors for delayed return to usual health among outpatients with COVID-19 in a multistate health care systems network — United States, march–june 2020 // MMWR Morb Mortal Wkly Rep. 2020. Vol. 69, N 30. P. 993–998. doi: 10.15585/mmwr.mm6930e1
Дополнительные файлы




