Оценка эффективности коррекции дефицита витамина D у детей с муковисцидозом в Санкт-Петербурге: результаты 12-месячного проспективного исследования
- Авторы: Пашкевич А.А.1, Ковалев В.Н.2, Никитина М.И.2, Кайстря И.В.3, Дорофейков В.В.4, Желенина Л.А.1, Костик М.М.1
-
Учреждения:
- ФГБОУ ВО «Санкт-Петербургский государственный педиатрический медицинский университет» Минздрава России
- СПб ГБУЗ «ДГБ Святой Ольги»
- ФГБУ «НМИЦ им. В.А. Алмазова» Минздрава России
- ФГБУ высшего образования «Национальный государственный университет физической культуры, спорта и здоровья имени П.Ф. Лесгафта»
- Выпуск: Том 9, № 5 (2018)
- Страницы: 59-65
- Раздел: Статьи
- URL: https://journals.rcsi.science/pediatr/article/view/10819
- DOI: https://doi.org/10.17816/PED9559-65
- ID: 10819
Цитировать
Полный текст
Аннотация
Актуальность. Дефицит витамина D у детей с муковисцидозом (МВ) является серьезной проблемой. Адекватная обес печенность витамином D данных пациентов принципиально важна для нормальной минерализации костной ткани и функционирования многих систем организма.
Цель — изучить эффективность коррекции дефицита витамина D у детей с муковисцидозом в Санкт-Петербурге. Материалы и методы. В исследование были включены 92 ребенка с МВ в возрасте от 0 до 17 лет (49 мальчиков, 43 девочки), которые не принимали препараты витамина D3 на регулярной основе до включения в исследование. Всем детям определяли уровень 25(OH)D в сыворотке крови трижды (0–6–12 мес.). Витамин D3 назначали в дозировках, рекомендованных современными консенсусами. В последующем проводили коррекцию приема дозы холекальциферола, данные о регулярности терапии собирали путем личной беседы с пациентом и/или его родителями. Для оценки костного метаболизма определяли уровни общего и ионизированного кальция, неорганического фосфора, паратиреоидного гормона, щелочной фосфатазы. Всем пациентам проводили антропометрические исследования. Для оценки состояния костной ткани всем пациентам выполняли количественную ультразвуковую денситометрию на дистальном конце лучевой кости. Статистическую обработку данных осуществляли с помощью пакета прикладных программ Statistica 10.0. Применяли методы непараметрической статистики (тесты Манна – Уитни и Крускала – Уоллиса, ХИ2ТЕСТ, Фишера, Мак-Немара, тест Вилкоксона и Фридмана), корреляционный анализ Спирмена.
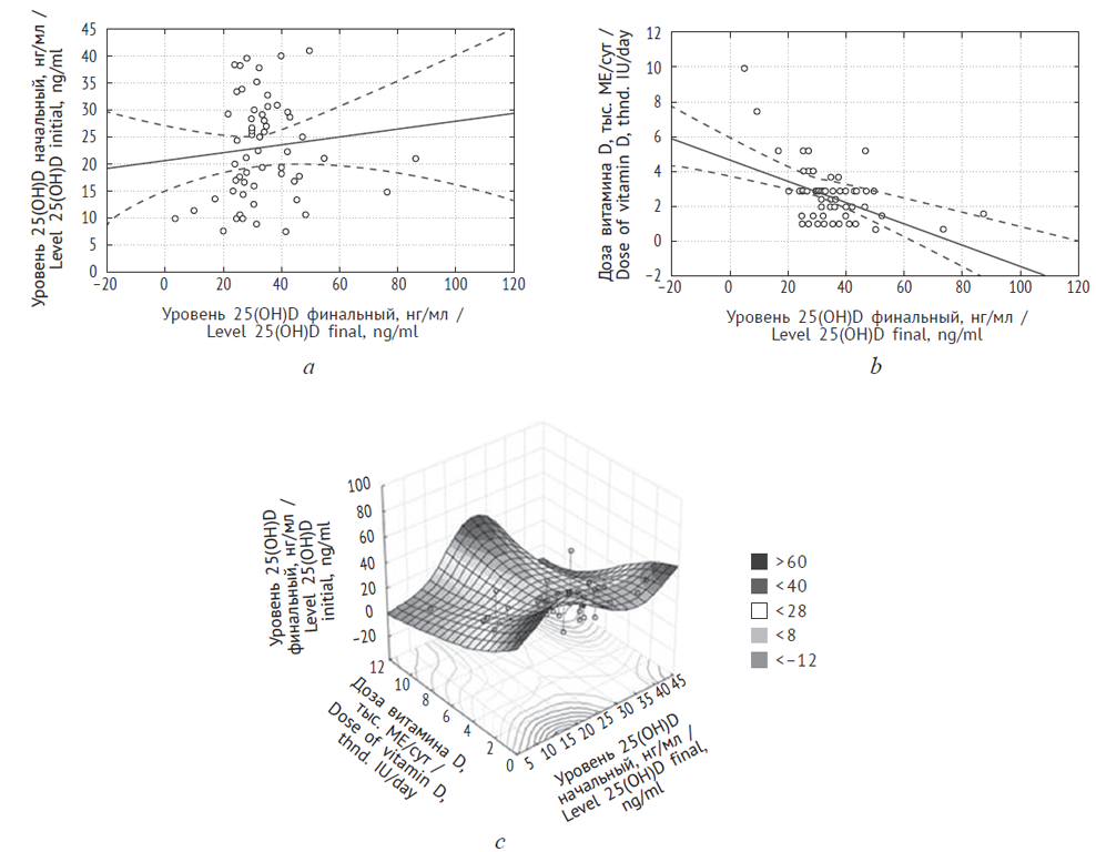
Результаты. При первичном определении у 80 % обследованных выявлено снижение витамина D менее 30 нг/мл. К третьему этапу определения концентрации 25(OH)D3 в крови комплаентными оказались только 66 (71,7 %) пациентов. Практически у всех, кто принимал витамин D в рекомендованных дозах, повысился его уровень в крови. На фоне терапии препаратами витамина D3 в течение 12 месяцев отмечен прирост уровня 25(ОН)D в среднем на 33,7 % в группе комплаентных пациентов. Лучшие показатели прироста имели пациенты младшего возраста с исходно более высокими уровнями 25(ОН)D. Пациентам с менее выраженным дефицитом 25(ОН)D требовался прием пропорционально меньших доз для достижения необходимого результата.
Выводы. Выявлены различия в достижении нормального уровня 25(OH)D, связанные с возрастом и исходной концентрацией 25(OH)D.
Ключевые слова
Полный текст
Открыть статью на сайте журналаОб авторах
Александр Анатольевич Пашкевич
ФГБОУ ВО «Санкт-Петербургский государственный педиатрический медицинский университет» Минздрава России
Автор, ответственный за переписку.
Email: pashkevich_aa@live.ru
соискатель, кафедра госпитальной педиатрии
Россия, Санкт-ПетербургВиктор Николаевич Ковалев
СПб ГБУЗ «ДГБ Святой Ольги»
Email: kovalevpma2009@rambler.ru
педиатр
Россия, Санкт-ПетербургМарина Ивановна Никитина
СПб ГБУЗ «ДГБ Святой Ольги»
Email: 1961marina1@rambler.ru
педиатр
Россия, Санкт-ПетербургИрина Вячеславовна Кайстря
ФГБУ «НМИЦ им. В.А. Алмазова» Минздрава России
Email: irinaliz@mail.ru
аспирант
Россия, Санкт-ПетербургВладимир Владимирович Дорофейков
ФГБУ высшего образования «Национальный государственный университет физической культуры, спорта и здоровья имени П.Ф. Лесгафта»
Email: vdorofeykov@yandex.ru
д-р мед. наук, доцент, заведующий кафедрой биохимии
Россия, Санкт-ПетербургЛюдмила Александровна Желенина
ФГБОУ ВО «Санкт-Петербургский государственный педиатрический медицинский университет» Минздрава России
Email: jelenina@mail.ru
д-р мед. наук, профессор, кафедра педиатрии, эндокринологии и абилитологии ФП и ДПО
Россия, Санкт-ПетербургМихаил Михаилович Костик
ФГБОУ ВО «Санкт-Петербургский государственный педиатрический медицинский университет» Минздрава России
Email: kost-mikhail@yandex.ru
д-р мед. наук, доцент, заведующий кафедрой госпитальной педиатрии
Россия, Санкт-ПетербургСписок литературы
- Баранова И.А., Кондратьева Е.И., Красовский С.А. Остеопороз при муковисцидозе: меры профилактики и терапевтические возможности // Пульмонология. - 2017. - Т. 27. - № 4. - С. 537-545. [Baranova IA, Kondrat’eva EI, Krasovskiy SA. Osteoporosis in cystic fibrosis patients: prevention and therapeutic opportunities. Russian Pulmonology. 2017;27(4):537-545. (In Russ.)]. doi: 10.18093/0869-0189-2017-27-4-537-545.
- Габрусская Т.В., Костик М.М., Насыхова Ю.А., и др. Влияние TaqI-генетического полиморфизма гена рецептора витамина D на состояние костного метаболизма у детей с воспалительными заболеваниями кишечника // Педиатр. - 2017. - Т. 8. - № 3. - С. 111-119. [Gabrusskaya TV, Kostik MM, Nasyhova YA, et al. Role of TaqI-Genetic Polymorphism of Vitamin D Receptor Gene in Bone Metabolism in Children with Inflammatory Bowel Disease. Pediatrician (St. Petersburg). 2017;8(3):111-119. (In Russ.)]. doi: 10.17816/PED83111-119.
- Капранов Н.И., Каширская Н.Ю. Исторический обзор // Муковисцидоз / Под. ред. Н.И. Капранова, Н.Ю. Каширской. - М.: Медпрактика-М, 2014. - С. 11. [Kapranov NI, Kashirskaya NY. Istoricheskiy obzor. In: Mukovistsidoz. Ed by N.I. Kapranov, N.Y. Kashirskaya. Moscow: Medpraktika-M; 2014. P. 11. (In Russ.)]
- Кондратьева Е.И., Жекайте Е.К., Шмаргина Г.В., и др. Содержание витамина D при муковисцидозе у пациентов московского региона // Сборник тезисов III Московского городского съезда педиатров «Трудный диагноз в педиатрии»; Москва, 4-6 октября 2017. - М., 2017. - С. 74. [Kondrat’eva EI, Zhekayte EK, Shmargina GV, et al. Soderzhanie vitamina D pri mukovistsidoze u patsientov moskovskogo regiona. In: Proceedings of the 3rd Moscow City Congress of Pediatricians “Trudnyy diagnoz v pediatrii”; Moscow, 4-6 Oct 2017. Moscow; 2017. P. 74. (In Russ.)]
- Красовский С.А. Остеопороз у взрослых больных муковисцидозом: Автореф. дис. … канд. мед. наук. - М., 2012. [Krasovskiy SA. Osteoporoz u vzroslykh bol’nykh mukovistsidozom. [dissertation] Moscow; 2012. (In Russ.)]
- Лесняк О.М., Баранова И.А., Белая Ж.Е. Остеопороз: руководство для врачей / Под ред. О.М. Лесняк. - М.: ГЭОТАР-Медиа, 2016. [Lesnyak OM, Baranova IA, Belaya ZE. Osteoporoz: rukovodstvo dlya vrachey. Ed by O.M. Lesnyak. Moscow: GEOTAR-Media; 2016. (In Russ.)]
- Пашкевич А.А., Борисенко Т.С., Кайстря И.В., и др. Дефицит витамина D у детей с муковисцидозом // Лечение и профилактика. - 2018. - Т. 8. - № 1. - С. 5-12. [Pashkevich AA, Borisenko TS, Kaistrya IV, et al. Vitamin D Deficiency in Children with Mucoviscidosis. Disease treatment and prevention. 2018;8(1):5-12. (In Russ.)]
- Петрова Н.В., Гинтер Е.К. Молекулярно-генетические аспекты муковисцидоза // Муковисцидоз / Под. ред. Н.И. Капранова, Н.Ю. Каширской. - М.: Медпрактика-М, 2014. - С. 44-45. [Petrova NV, Ginter EK. Molekulyarno-geneticheskie aspekty mukovistsidoza. In: Mukovistsidoz. Ed by N.I. Kapranov, N.Y. Kashirskaya. Moscow: Medpraktika-M; 2014. P. 44-45. (In Russ.)]
- Шерман В.Д., Капранов Н.И., Каширская Н.Ю. Обоснование диагностических подходов к выявлению муковисцидоза // Муковисцидоз / Под. ред. Н.И. Капранова, Н.Ю. Каширской. - М.: Медпрактика-М, 2014. - С. 103. [Sherman VD, Kapranov NI, Kashirskaya NY. Obosnovanie diagnosticheskikh podkhodov k vyyavleniyu mukovistsidoza. In: Mukovistsidoz. Ed by N.I. Kapranov, N.Y. Kashirskaya. Moscow: Medpraktika-M; 2014. P. 103. (In Russ.)]
- Abrol E, Ranganathan S. Optimizing vitamin D levels through the winter months in children with cystic fibrosis. J Cyst Fibros. 2015;14 Suppl 1: S111. doi: 10.1016/S1569-1993(15)30385-4.
- Abu-Fraiha Y, Elyashar-Earon H, Shoseyov D, et al. Vitamin D influence on respiratory exacerbations and hospitalizations in cystic fibrosis patients. J Cyst Fibros. 2015;14 Suppl 1: S8. doi: 10.1016/S1569-1993(15)30025-4.
- Elkin SL, Vedi S, Bord S, et al. Histomorphometric analysis of bone biopsies from the iliac crest of adults with cystic fibrosis. Am J Respir Crit Care Med. 2002;166(11):1470-1474. doi: 10.1164/rccm.200206-578OC.
- Finklea JD, Grossmann RE, Tangpricha V. Vitamin D and chronic lung disease: a review of molecular mechanisms and clinical studies. Adv Nutr. 2011;2(3):244-253. doi: 10.3945/an.111.000398.
- Hahn TJ, Squires AE, Halstead LR, Strominger DB. Reduced serum 25-hydroxyvitamin D concentration and disordered mineral metabolism in patients with cystic fibrosis. J Pediatr. 1979;94(1):38-42. doi: 10.1016/S0022-3476(79)80346-7.
- Hall WB, Sparks AA, Aris RM. Vitamin D deficiency in cystic fibrosis. Int J Endocrinol. 2010;2010:218691. doi: 10.1155/2010/218691.
- Herscovitch K, Dauletbaev N, Lands LC. Vitamin D as an anti-microbial and anti-inflammatory therapy for Cystic Fibrosis. Paediatr Respir Rev. 2014;15(2):154-162. doi: 10.1016/j.prrv.2013.11.002.
- Mailhot M, Labrèche E, Coriati A, et al. Long-term and seasonal impact of a vitamin D3 (cholecalciferol) supplementation protocol on vitamin D [25(OH)D] serum levels among cystic fibrosis adults in a Montreal clinic. J Cyst Fibros. 2015;14 Suppl 1: S111. doi: 10.1016/S1569-1993(15)30384-2.
- McPhail GL, Chini B, Siracusa C, et al. Vitamin D insufficiency is associated with pulmonary exacerbations in children with cystic fibrosis. J Cyst Fibros. 2015;14 Suppl 1: S112. doi: 10.1016/S1569-1993(15)30387-8.
- Smyth AR, Bell SC, Bojcin S, et al. European Cystic Fibrosis Society Standards of Care: Best Practice guidelines. J Cyst Fibros. 2014;13 Suppl 1:S23-42. doi: 10.1016/j.jcf.2014.03.010.
- Spirevska L, Jakovska T, Fustik S. Prevalence of vitamin D deficiency and effectiveness of higher dose oral vitamin D supplementation in cystic fibrosis center in R. Macedonia. J Cyst Fibros. 2017;16 Suppl 1: S141-2. doi: 10.1016/S1569-1993(17)30649-5.
- Tangpricha V, Kelly A, Stephenson A, et al. An update on the screening, diagnosis, management, and treatment of vitamin D deficiency in individuals with cystic fibrosis: evidence-based recommendations from the Cystic Fibrosis Foundation. J Clin Endocrinol Metab. 2012;97(4):1082-1093. doi: 10.1210/jc.2011-3050.
Дополнительные файлы



