Technologies for controlled synthesis and characteristics of thin-layer topological nanoobjects and nanoclusters under laser irradiation on solid targets: algorithms and modeling, quantum bistability in 1D-microstructuresand analogy with carbon nanotubes
- Authors: Bukharov D.N.1, Khudaiberganov T.A.1, Tkachev A.G.2, Arakelian S.M.1
-
Affiliations:
- Vladimir State University named after Alexander and Nikolay Stoletovs
- Tambov State Technical University
- Issue: Vol 9, No 1 (2024)
- Pages: 60-74
- Section: Reviews
- URL: https://journals.rcsi.science/2782-2192/article/view/278023
- DOI: https://doi.org/10.17277/jamt.2024.01.pp.060-074
- ID: 278023
Cite item
Full Text
Abstract
The paper presents the results obtained from the studies of the processes of controlled laser synthesis of nanocluster / island nanofilms of different topological configurations of tens and hundreds of nanometers. The findings on structures with lead telluride (PbTe) and quantum bistability in a polariton-exciton system are considered separately. The analysis of the algorithms and computational models used to solve these problems are carried out, and a number of obtained and observed images for different surface nanostructures are presented. These issues are also considered in terms of the topological configuration influence, e.g. on the surface electrical conductivity of the samples under study, as well on other functional characteristics. The phenomenon of quantum bistability in the model of excitonic polaritons and the corresponding modes of its manifestation in 1D-columnar-type semiconductor microcavities, which can be considered as analogues of systems with carbon nanotubes, are also briefly discussed. It is modern advances in the technology of their production on an industrial scale, including bundles and threads of nanotubes, that allow talking about the possibility of their widespread usein micro-nanoelectronics, in particular, as elements of logic devices of various types, as well as sensitive universal sensors for various applications.
Full Text
Introduction
When synthesizing island nanocluster structures on a solid surface with the required/controlled topology/morphology and functional characteristics, the occurring physical processes of a diffusion nature have a decisive influence on the topological features that determine the formed functional properties. In this case, it is necessary to analyze the algorithms and models used to solve these problems and obtain images of different nanoconfigurations. This affects the surface electrical conductivity of the samples under study.
Under certain synthesis conditions, such structures can have a disconnected topology with a large number of isolated nanoclusters/islands. Samples with a connected topology with the presence of objects united with each other in the form of clusters of a certain type can also be obtained. It is in this aspect that specific features of methods for laser-induced controlled production of nanocluster structures of different classes should be considered in comparison with other technologies used.
Nanocluster structures/island films are defined as granular nanostructures with frame object sizes from 10 nm to 20 μm [1, 2] and, for example, according to electrophysics, with a surface resistance from 106 to 1013 Ohm×cm–1. Such structures may have unique electrical properties due to size effects [2–5].
Thus, in nanostructures consisting of a system of quantum dots [2], depending on the distance between them, the implementation of various mechanisms of electrical conductivity is possible – from the tunnel effect to the thermionic mechanism [6, 7]. All these features make it possible to widely use semiconductor and metal nanocluster/island structures for problems in the micro-nanoelectronics industry, science and technology, based on new physical principles [8–12]. Here, the emphasis is on obtaining modes with quantum bistability in the model of excitonic polaritons in semiconductor-type excited 1D-microcavities, which can be considered as analogues of systems with carbon nanotubes with different periodic inhomogeneities, i.e. superlattices, with different elemental inclusions/vacancies.
Carbon materials are important in the development of new technologies, especially with 1D-structures in different configurations [13]. Special attention should be paid to carbon nanotubes and threads, which make it possible to obtain 1D-carbon structures of record length [14] with unique capabilities for practical use in a variety of fields. Moreover, the presence of both single-walled and multi-walled carbon nanotubes in structure has its own specific areas of application [15–17]. Therefore, in connection with such a wide demand for such objects, their large-scale production, which has been mastered on an industrial scale for many years, is relevant. First of all, the developments and achievements presented in [18, 19] should be mentioned. The analysis of the state and development trends of nanoindustry objects carried out in these works allows us to conclude that, indeed, one of the most promising areas of nanotechnology is the synthesis of carbon nanomaterials – fullerene-like structures, which are a new allotropic form of carbon (compared with [19]) in form of closed framework, macromolecular systems. In carbon nanotubes, which, having a diameter of 1–50 nm and a length of up to several microns, form a new class of quasi-one-dimensional nanoobjects with the implementation of a number of unique properties due to the ordered structure of their nanofragments: good electrical conductivity and adsorption properties, the ability for cold electron emission and gas accumulation, diamagnetic characteristics, chemical and thermal stability, as well as high strength combined with high elastic deformation values. It is important to note that at the same time many fundamental scientific problems have been solved, which contributed to such world-class results [20, 21]. A fundamental role plays the choice of the appropriate catalyst during the pyrolysis process, which is not at all an easy task because the selected material, due to its active surface, becomes unusable and has to be renewed, stopping the technological process. If the technological problem of its production has already been practically solved by now in the mentioned works, then the field of their application with different implemented functional modes for optoelectronics problems is still only at the initial stage.
Indeed, recent studies [22] have shown that the creation of new, more efficient catalysts with improved properties is possible with metal atoms with a nonzero total electronic spin moment.
Therefore, the study of polariton states and spin effects in 1D-nanostructures makes it possible to develop various multifunctional devices, in particular, spin transistors and other products, including elements of a quantum computer [23]. This interdisciplinary topic also has its own interest in terms of the optimal method for obtaining the necessary additives/modifiers that improve functional characteristics and quality of various alloys, including high-entropy ones [7, 13, 16, 19].
In this aspect, the use of nanotechnology in electronics makes it possible to create innovative devices of a new class with higher technological and consumer characteristics [24, 25]. This is especially promising for systems with different surface shapes, in particular, spherical and cylindrical. It is some modification of the technology for the production of carbon nanotubes that apparently makes it possible to obtain such elements in terms of the implementation of the corresponding advanced technical processes.
In this work, the emphasis is on using the achievements of nonlinear dynamics and quantum technologies to solve problems of controlled production of topological nanoobjects, including thin-layer cluster structures on a solid surface under laser irradiation of targets of various types. The intensity of the laser radiation used, the scanning speed of the laser beam over the surface being processed, the number and duration of laser pulses affecting the material are the key control parameters in such technologies for synthesizing the topological features of the formed nanostructured configurations. At the same time, we analyze the most suitable algorithmic approaches for implementing modeling and predicting the expected characteristics of such objects. This corresponds to modern world priorities with a variety of model-theoretic and experimental methods, both for the development and for studying the properties of such structures for widespread implementation. Huge financial resources are being invested in this industry to achieve competitive commercialization, which is very important for our country when solving the problems of technological sovereignty. And first of all, we are talking about the production of carbon 1D-structures such as nanotubes, which, due to their configuration and different fillers, have a large dipole moment and high electrical polarizability in one preferred direction. This should make it possible to obtain structures with unusual electrical characteristics under conditions of real phase transitions with symmetric modification and rearrangement of electronic states. These issues are also discussed in this paper.
Methods for laser-induced synthesis of nanocluster structures with controlled topology
Among the wide variety of modern methods for the controlled synthesis of nanocluster/island films, laser methods can be considered as a simple and practical alternative that allows obtaining samples of the required quality on various surfaces [26]. For example, using the well-known laser ablation method, it is possible to quite conveniently and efficiently synthesize a nanocluster/island film on a solid substrate due to the deposition of a vapor-gas cloud with nanoparticles and/or nanoclusters [27–29]. Indeed, using the limited laser ablation mechanism, considered in [27–29], in the case of an effective penetration of radiation depth of a smaller film thickness, makes it possible to obtain samples with an increase in efficiency up to 10 times compared to the standard laser ablation process. Moreover, it was shown in [29] that such laser synthesis in the field of high-power femtosecond laser pulses made it possible to conveniently control the surface anisotropy of the resulting samples and, under certain conditions, to form new physical properties in them, for example, treated silicon samples showed an increase in the film conductivity by 3 orders of magnitude compared to the conductivity of untreated amorphous hydrogenated silicon.
In the future, a two-stage process can be implemented – first, the process of laser ablation of the target in a liquid to obtain a colloid, and then deposition from it using laser irradiation and implementation of the synthesis of nanoclusters and their required distribution on the surface of another solid-state sample, i.e. a substrate placed in a colloid. This is done in a controlled manner using another laser beam [29–31], when varying the initial profiles of the energy density of laser radiation, the duration of its pulse, the speed and trajectory of their scanning in a certain interval, as well as the realized pressure in the vapor-gas cloud above the surface, depending on the scheme laser experiment, makes it possible to obtain samples with the required topological configuration.
Thus, such generation-recombination deformation and defect-deformation instabilities on a solid surface can be induced by controlling parameters of the applied laser radiation. These instabilities disrupt the order of surface and bulk structures [32, 33] and make it possible to synthesize samples with the required topology, including extended structures such as nanotubes, and achieving the required functional/structural characteristics.
The discussed nanocluster structures using laser ablation in liquid are now widely used. A group of these methods is based on the fact that, on the one hand, extreme conditions can locally arise in a liquid due to non-stationary and unstable processes in the laser field, which leads to phase transitions (in particular, micro-nanodiamonds can arise from a graphite target [13]. On the other hand, when exposed to continuous laser radiation on the colloid obtained as a result of ablation, ensembles of nanoparticles with a narrow bimodal size distribution can appear on the surface of, for example, a semiconductor sample [32–34], which makes it possible to control the dimensional quantum electronic states of materials.
Laser methods are also characterized by important features in the production of multilayer thin films of complex compounds on a substrate, which under normal conditions do not form compounds with each other. At the same time, laser-induced nanocluster structures are characterized by chemical purity, with a minimum amount of impurities. These methods for obtaining nanostructures of different configurations and topologies with a spatial distribution on the surface are quite simple and technologically advanced, and their main feature is the possibility of flexible control of the shape and size of the resulting nanostructures, determined both by the properties of the medium and spatiotemporal (up to micrometers and femtoseconds, respectively) laser radiation parameters and in various laser experiment schemes.
As a modified method in the laser ablation scheme, deposition of nanoclusters from a colloid using droplet technology can be applied, followed by evaporation of the liquid component [35]. This method makes it possible to form the required both compact and extended structures in a controlled manner, which is associated with the dependence of the morphology of the deposited layer on the properties of the liquid fraction, colloid particles, temperature of the drop and substrate, as well as the rate of evaporation of the liquid component.
All this allows us to confidently conclude that laser synthesis is a fairly simple, technologically advanced and convenient method that makes it possible to obtain nanocluster structures with the required, often new and unique properties in a controlled manner.
Next, we will present some of our results on laser technologies for producing nanocluster topological structures of various configurations on the surface of a solid body in a controlled manner, both experimentally and with justification within the framework of a number of model approaches used.
Models and algorithms for obtaining nanocluster systems with controlled functional characteristics (electrophysics and optics)
2.1. Topological fractal structures
The use of a mathematical/computer modeling apparatus to obtain a system of nanoclusters makes it possible quite conveniently and with the required accuracy to evaluate and describe the geometric features that determine a number of their properties (electrophysical, optical, thermodynamic).
In this case, all models can be conditionally divided into the four classes below [36].
- Models of atomic mobility.
- Structural models of the cluster.
- Electronic shell models.
- Models of self-organizing clusters (fractal models).
It is convenient to describe the geometric features of nanocluster samples obtained by laser methods within the framework of models from the fourth class. These models of self-organizing clusters (fractal models) [37], which we will consider, are used to describe the geometric features of nanostructures during cluster aggregation, when a decrease in the average density of matter in the volume of the material with clustering [38] is observed during the self-assembly process. The most popular models in this approach are diffusion-limited aggregation (DLA) and cluster-cluster aggregation (CCA) [39].
Using fractal methods, which involve calculating fractal dimensions, it becomes possible to classify the resulting surface nanofilms according to their structure. We used this approach to calculate the fractal dimensions of the resulting nanocluster structures in comparison with their sizes with standard fractals classified in nonlinear dynamics [40–42].
To assess the possibility of synthesizing structures with the required topology, we compared the relief of the obtained samples and their fractal dimensions with the measured parameters of laser radiation at which they were realized.
The study of AFM images (obtained using an atomic force microscope) demonstrates the fractal nature of nanocluster films, which is determined by comparing the fractal dimensions of the samples with the dimensions of standard fractals with fairly good accuracy, when their difference does not exceed a value of the order of 10 %.
Let us present a number of examples obtained structures (both in experiment and in modeling) for the semiconductor material of lead telluride PbTe in the circuit shown in Fig. 1. The system of nanoclusters was synthesized by laser irradiation of epitaxial PbTe films obtained by industrial method. For irradiation, a YAG: Nd3+ laser with a Gaussian beam profile (at a wavelength of 1.06 μm) with an optical absorption length habs ~ 10–5 cm was used, operating in a continuous scanning mode over the film surface with its speed varying from 40 to 160 μm×s–1 [43, 44]. Scanning of the laser beam over the sample surface was carried out by moving the coordinate table on which the sample was located. The laser radiation power ranged from 5 to 12 W, the intensity (Il) varied from 104 to 106 W×cm–2, respectively. The laser beam diameter varied from 30 to 100 µm.
Fig. 1. Experimental scheme of PbTe nanoclusters laser synthesis
With the used laser radiation power and good heat removal of the silicon substrate and with a large thickness (1.5–2.5 μm) of the irradiated film, it was possible to synthesize nanoclusters in the solid-phase laser nanomodification mode. For power values outside this range of values, the PbTe surface was either not modified at all (Fig. 2a) or melted (Fig. 2b).
Fig. 2. AFM image of the PbTe epitaxial film surface after laser exposure from a source with power of 5 W (a), 12 W (b)
Modification of the laser experiment conditions made it possible to identify the most convenient synthesis mode in terms of the relationship between the heating area, the diameter of the laser beam, and its scanning speed over the film surface. This mode was achieved at a scanning speed of the laser beam over the surface of 80 μm×s–1 while varying its diameter from 30 to 100 μm.
This allowed synthesizing samples with different topological surface characteristics (Figs. 3, 4).
Fig. 3. AFM images of PbTe cluster structures: samples with dendritic (a, b) and percolation (c, d) reliefs
Fig. 4. AFM images of PbTe cluster structures with a labyrinthine relief: radiation power 8.5 W, motion speed 70 μm×s–1 (a); radiation power 9 W, motion speed 60 μm×s–1 (b)
Figures 3a, b show examples of systems of dendritic nanoclusters, the shape of which can be described in terms of DLA fractals. Figures 3c, d show ensembles of nanoclusters that arose through the percolation mechanism of their formation in a laser field.
Dendritic nanoclusters were synthesized at laser powers of 7 W (Fig. 3a) and 8 W (Fig. 3b), when the scanning speed of the laser beam was 80 μm×s–1, while maintaining the laser beam diameter the same for both powers – 50 μm. The calculated fractal dimensions for these images were 1.737 and 1.834, respectively.
Systems of nanoclusters with a percolation relief were synthesized at a laser radiation power of 6.5 W (Fig. 3c) and 6 W (Fig. 3d) at a laser beam scanning speed of 75 μm×s–1 with the same diameter of 50 μm. An assessment of their fractal dimensions gave values of 1.841 and 1.867, respectively. The indicated accuracy of the fractal dimension values corresponds to that accepted for the classification of fractals [39].
Figure 4 shows images of samples of a system of PbTe nanoclusters with a structure comparable to a labyrinth [43, 44]. It is these labyrinthine structures that are close in geometry to nanotubes of different elemental/chemical compositions.
To obtain them, a laser radiation source with a beam diameter of 50 μm was used. For the sample from Fig. 4a, the power was 8.5 W, the motion speed of the coordinate stage (laser beam scanning) was 70 μm×s–1. For the sample from Fig. 4b, the power was 9 W and the speed was 60 μm×s–1. The estimated fractal dimensions did not exceed 1.972 and 1.994, respectively.
A study of fractal dimensions calculated for AFM images of samples obtained at different stages of synthesis shows that they increase with increasing laser exposure time, and the structure of objects passes from percolation to dendritic and then to labyrinthine. Thus, from a system of isolated clusters with a disconnected topology, a unified configuration structure with a connected topology is formed.
The above data adequately describe the obtained samples, images of which are shown in Fig. 3, with an error of no more than 10 %, which also does not contradict the theoretical models involved. Thus, the percolation structure with fractal dimension D = 1.737 from Fig. 3b was obtained during irradiation time t = 0.29 s. Similarly, a dendritic system with a larger fractal dimension D = 1.867, shown in Fig. 3c, was synthesized over a longer irradiation time – 0.31 s. In the case of the formation of a labyrinthine sample with an even larger fractal dimension D = 1.972 (Fig. 4a), the laser exposure time increased to 0.36 s.
Thus, a connection between physical processes and synthesis mechanisms caused by laser exposure and the formed geometric features and corresponding fractal characteristics has been established.
Standard fractal models, for example, such as DLA, in the case of constructing a horizontal projection, do not allow taking into account the heterogeneity of the relief of the model system of nanoclusters in height. This limitation can be avoided by labeling the model cells according to the height of the actual granules in AFM images. Such labeling can be done using cluster analysis for different bead colors corresponding to different heights for AFM images. This procedure was implemented using the K-means algorithm in the MATLAB environment [45–48]. Thus, the model particles received height values with given probabilities proportional to the sizes of the formed granules. Figure 5 shows a cluster film model obtained according to the above approach. In this case, Fig. 5a shows a sample of a PbTe film; Fig. 5b shows the distribution of heights as a result of clustering; and Fig. 5c shows the model structure of the cluster system built in the DLA approximation, taking into account the color marking of the relative heights of the forming granules. Thus, the specified structure was built with the probability of aggregation/adhesion s = 0.1. This probability s determines the process of agglomeration of nanoparticles into the corresponding ensembles. The fractal dimension was D = 1.89 and differed from the dimension of the sample as a whole by an amount of the order of 2×10–2.
Fig. 5. DLA model of a nanocluster structure taking into account the height of the resulting nanoclusters: AFM image (a); distribution of shares of colors that determine heights (b); DLA model: 0 – substrate, 1–8 particles/nanoclusters heights (c)
The given parameters are important when it is important to know the local characteristics leading to gains, for example, in the local functional parameters of the electric field at the edge of emerging in homogeneities.
Thus, the proposed method for classifying nanocluster samples, as well as selected models that allow quantitative comparison with the results of experimental synthesis, show fairly good adequacy and can be used to describe the geometric features of a fairly wide class of laser-induced structures.
2.2. Models of electrical conductivity of nanocluster/island films
One of the fundamental factors that has a noticeable effect on the electrical conductivity of nanocluster/island films is the topology of their structure, but it does not even always depend on their elemental/chemical composition. Indeed, the nature of the location, distance, formation and size of individual nanoclusters form the original topology of their ensemble on a solid surface, which determines one or another type of electrical conductivity. In particular, it is customary to distinguish three types of basic models:
1) dielectric model [49];
2) percolation model [50];
3) metal model [51].
In the case of samples with a connected cluster topology, percolation or metallic type approximations are applicable to describe electrical conductivity. To describe the electrical properties of structures with a disconnected topology, a dielectric model can be used.
Particularly important for various applications is the low-temperature thermal activation mechanism of electrical conductivity, which is hopping conduction referring to the tunneling of electrons between neighboring localization centers (clusters) [52].
The hopping conductivity model allows estimating the average electrical conductivity of the system or the diffusion coefficient of nanoparticles. Electrical conductivity in such systems is realized through the description of random walks of electrons along randomly located localized impurity centers [52]. To estimate the conductivity, a semi-phenomenological method based on the Miller–Abrahams random grid of resistances [53] and percolation theory [54] is used. The microscopic approach, which consists in describing the wandering of a particle through random nodes, is also popular [55]. These models can be used as first approximations and make it possible to achieve agreement between experimental measurements and calculated values at a qualitative level; quantitative agreement is achieved by introducing correction values into them, which allow achieving satisfactory errors not exceeding 10 %.
Subsequently, the basic model of tunneling charge transfer was improved [56]. It takes into account the decrease in the potential barrier caused by the polarization interaction between granules and the tunneling electron, which allows evaluating the effect of the substrate on conductivity through a description of electron tunneling along the dielectric substrate due to the thermal activation effect.
This approximation makes it possible to achieve good modeling accuracy for nanofilms consisting of small ellipsoids with dimensions of the order of 4 nm and slightly smaller average gaps between them.
In the case of a distance between nanoclusters of more than 10 nm, it is preferable to carry out modeling taking into account the influence of the substrate.
In addition, further improvements to the basic model consider the influence of the sizes and shapes of granules, when charge transfer from a larger charged granule to a smaller neutral granule is realized due to the effect of thermal activation.
Nanocluster ensembles, in which there are systems of elongated interconnected structures, have lower resistance than rarefied samples. In this aspect, single carbon nanotubes with a significant decrease in electrical resistance due to their high polarizability along a preferred direction (1D structure [12]) are of particular interest. Their electrical conductivity is generally described by percolation models based either on lattice approximations or random displacements, which make it possible to take into account the distribution of an ensemble of structures, including in the 1D-configuration, on the substrate.
Thus, today there are many works where the electrical properties of semiconductor nanostructures are studied with an emphasis on the heterogeneity of the structure [57, 58] and fractal structures [3, 59, 60]. A number of fairly universal model approximations have also been developed with the ability to quantify the accuracy of calculations, allowing to take into account the features of the simulated systems and their connections with the parameters of the models and experimental synthesis schemes.
Such systems define new possibilities in electrophysics using nanostructured materials, which is promising for the development of micro-nanoelectronics base elements operating on new physical principles.
Microstructures for quantum states of a system with quasiparticles in 1D-columnar-type microcavities
Let us consider structures with 1D-type microcavity elements with quantum characteristics for excitation of excitonic polaritons which are important in terms of possible application [61, 62].
Excitonic polaritons were discovered in various microcavity structures (planar, microwires and microcolumns) with different active fragments – quantum wells, quantum dots [63–65]. In this section we will briefly consider the formation of excitonic polaritons in semiconductor (GaAs, ZnO, GaN, etc.) low-dimensional structures: 1D-semiconductor microcavity – microcolumn and/or microwires. Such models can also describe carbon nanotubes with a certain structure along their length – both single-core and double-core with a certain quantum connection between them.
To create excitonic polaritons, it is necessary that excitons continuously interact with coherent photons, and the energy of this interaction exceeds the energy of dissipation in the system. For this purpose, microcavities/micropillars, such as Fabry-Perrot optical resonators but of subwavelength sizes, are used. In this case, excitons are formed in low-dimensional quantum structures of the Bragg type (with quantum wells or quantum dots) installed in the antinode region of the standing wave of the microcavity [66]. The microcavity structure is shown in Fig. 6 in the form of a microcolumn.
Fig. 6. Schematic of the microcolumn/micropillar design. The inset on the left is a micrograph of a GaAs/AlAs-based microcolumn with a nominal diameter of 1.3 µm and a length of 6 µm
Such structures of columnar microcavities are obtained from a semiconductor material by etching [67], and approaches to their quantum description are considered in [68–70].
Numerical modeling of the main kinetic equation of the problem was carried out using the qutip computer library in Python [65].
The excitation of polariton states in a microcolumn was carried out by a coherent laser, the frequency of which ωd is close to both the photonic ωph and exciton ωex resonances in the microcolumn. In the model Hamiltonian (see below (1)) of two coupled oscillators, the cubic type nonlinearity on one oscillator – the exciton mode (nonlinearity parameterα) was taken into account, and external coherent control of the second oscillator – the photon mode was accepted.
The Hamiltonian of the exciton-polariton system (the creation operators and annihilation for the photon and, accordingly, for the exciton – and ) in the rotating wave approximation has the following form [66, 67]:
, (1)
where Ed is the amplitude of the laser field (pumping) and the following designations for frequency detunings are introduced: is detuning of the photon mode frequency from the laser pumping frequency ωd; is detuning of the exciton mode frequency from the pump frequency; is half of the exciton-photon detuning; is detuning of the pump frequency from the middle between the frequencies of the eigenstates of the exciton-photon system (laser detuning). The third term in Hamiltonian (1) corresponds to the energy of exchange interaction between excitons and photons, i.e. describes the mutual transformation of photons into excitons and, vice versa, at the Rabi frequency in the strong coupling mode (when the frequency of mutual transformations of excitons and photons exceeds losses in the system). Nonlinearity (the fourth term) in the polariton system arises due to the elastic scattering of excitons in the Coulomb field of the exciton gas.
The basic kinetic equation for the density matrix ρ of an exciton-polariton system in an exciton-photon basis can be written in the following form [68–70]:
, (2)
where γph and γex are dissipations into the photon and exciton modes, respectively.
The energy outflow (dissipation of photons or excitons) from the exciton-polariton system leads to the damping of polariton states with a characteristic lifetime of the order of 10–100 ps. Dissipation is compensated by pumping – coherent (laser) or incoherent (electrical injection of hot excitons).
In semiconductor physics, it is more convenient to use energy units in millielectronvolts (meV) and the time scale of processes in picoseconds (ps), which is characteristic of the lifetime of polaritons. Calculations were carried out in the system where ħ = 0.658 meV×ps is Planck’s constant. For calculations, the following typical values of the parameters of the exciton-polariton system are used [67–69]: ħα = 0.001 meV, ħωR = 2.5 meV, γex =10 GHz and γph =100 GHz.
The pump intensity in this conditional parameterized form is related to the real physical value of the intensity of laser radiation incident on the microcavity , γ is the loss of pump radiation on the Bragg mirrors and inside the microcavity; it can be equal to γ = 10 GHz. Then the reduced unit of value 1 ps–2 (at laser pump wavelength Λ = 0.850 µm corresponds to a value of 240 W×cm–2).
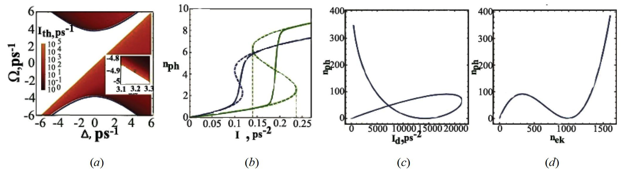
Without dwelling on the details of the calculation [68–69], Figure 7 immediately presents its results with obtaining bistable modes [70]. Such modes are of fundamental importance for applications in micro-nanoelectronics, in particular, when they are implemented, for example, using carbon nanotubes.
The shown diagram of the existence of the bistability effect depending on the exciton-photon detuning Δ and the pump frequency detuning Ω with a color scale corresponds to the pump intensity threshold value, above which the bistability effect appears. The effect of photon mode bistability for the system parameters, shown with an asterisk in Fig. 7a, is depicted as a parametric S-loop of the dashed curve in Fig. 7b.
Fig. 7. a – diagram of the bistability existence depending on detuning Δ and Ω. The shaded area corresponds to such system parameters when a bistability effect can be observed in the system. The color scale shows the pump intensity threshold , at which the bistability of the system under consideration will manifest itself; b – photon mode population obtained within the mean field approximation (blue/green dashed curve) and using the quantum solution (blue/green solid curve) for parameters conventionally designated as ps (see in the text of the paper): Δ = 3.2 ps–1 and Ω = –4.91 ps–1 and Ω = –4.89 ps–1 (the values of these parameters are shown with colored dots in panel (a)); c, d – diagram of stationary values of the number of photons nph depending on the pump intensity Id (c) and the number of excitons nex (d). Parameters: Ω = 0, Δ = 3ps–1
The analysis of the bistability existence showed that there are two ranges of values of the parameters Δ and Ω, where the effect of bistability manifests itself (see Fig. 7a). Moreover, both of these regions are limited by natural frequencies – the lower and upper polariton branches and are shifted upward by a frequency that is proportional to the loss level. Bistability in the region of the lower dispersive polariton branch occurs if the detuning Ω is not less than the blue shift, and also provided that . It is also worth noting that there is no bistability in the central region, and approaching this region increases the threshold for the onset of the bistability effect.
In a nonlinear multicomponent system in a stationary mode, in addition to the bistability effect, the opposite effect can also be observed at different pumping intensities, but at the same value of the number of photons nph. In Figure 7c this effect is shown in the form of a loop depending on the number of photons on pumping. This effect is explained by the nonlinear dependence of the photon field on the exciton field in the stationary mode (and thus, the more complex ambiguous dependence of the photon field on the pump intensity). Complete depletion of the photon mode is possible at a certain value of the pump intensity (see Fig. 7c). In this case, the parametric curve of the number of photons versus the number of excitons shows the opposite effect of bistability, when the same value of the number of photons can be achieved with a different number of excitons (see Fig. 7d).
The mean field approximation predicts two dynamic stable stationary states in the bistability region (blue curve in Fig. 7b). In classical stability theory, the upper and lower states of the bistability loop are dynamically stable according to Lyapunov [68]. However, this statement is not true in the presence of significant noise. If the noise (quantum, thermal or technical) is sufficiently intense, it causes the system to switch from one stable state to another and vice versa [69].
Although such instability of bistable states to noise may prevent the creation of logic elements with bistable characteristics (for the operation of such logic devices this represents the decoherence time), if the operating time of the device, i.e. switching time, is less than the lifetime on one of the metastable states, then quantum jumps between two metastable states make it possible to implement useful quantum devices. We are talking, for example, about encoding quantum information on two metastable states of a nonlinear oscillator exchanging pairs of photons with its environment. This mechanism can provide stability without causing decoherence processes.
The issue of stochastic switching in systems with bistability has already been considered in the context of a dissipative phase transition in single-mode and multimode systems [68–70].
An analogue of such processes in multi-walled carbon nanotubes can be carried out for various functional phenomena when they are used as logic elements, including extended ones with multiple switching modes.
It is important to note that we also analyzed the correlation spectrum between photons and excitons with a defined/adjustable phase shift. However, we will not present here the rather complicated format of such quantum calculations. We only note that at low intensities of laser radiation acting on the system, the phases of excitons and photons are in antiphase. This effect is of fundamental importance for the development of the phenomena of periodic exchange of energy and information in multi-core spatially distributed systems of large length on new physical principles. It is modern advances in the technology of producing carbon nanotubes with internal structures, including their bundles and threads, that can be promising in this field.
Conclusion
This paper presents the results obtained from the studies of the processes of controlled laser synthesis of nanocluster/island nanofilms of different topological configurations within the framework of certain algorithms and models with fractal dimensions. Separately, the results on structures with lead telluride (PbTe) with corresponding models of electrical conductivity and the phenomenon of quantum bistability in 1D-columnar-type microcavities upon excitation of excitonic polaritons are considered. The latter objects allow analogies with carbon nanotubes with a certain internal structure.
Varying the parameters of the applied laser radiation, i.e. power, beam shape, scanning speed across the sample, and duration of laser exposure, makes it possible to synthesize samples with different topologies, including fractal objects. Their structure can be correlated with a number of standard fractals within the framework of certain models for their production – from diffusion-limited aggregation and percolation to a fractal labyrinth – with the corresponding calculated fractal dimensions.
The analysis and classification of the obtained samples showed that there is a deep connection between the topology of the structure and the physical mechanism for obtaining cluster films of a certain configuration, which is due to nonlinear effects and instability of film growth on the substrate surface. This allows controlling the functional characteristics of synthesized objects using a laser experiment. In this case, additional possibilities are associated with the preliminary preparation of granular structures and powders of different chemical compositions for the subsequent synthesis of nanoparticles of a certain shape and a given dispersion in a femtosecond laser experiment [71, 72].
All this allows us to talk about the development of technology for creating elements and systems, in particular micro-nanoelectronics, with specified functional and structural characteristics for specific tasks of their use, based on new physical principles.
In addition, consideration of some quantum states and correlation dependencies in 1D-column-type microcavity systems under conditions of excitation of exciton-polariton states for quantum bistability allows the implementation of new generation logic elements for various applications. In this aspect, 1D structures, including nanotubes, are of the greatest interest and promise.
Indeed, such systems, as analogues of carbon nanotubes with nonlinear wave interaction, for example, in hollow nanotubes, are devices of a new type for various applications with energy exchange of polariton-photonic states.
We are talking about the use of such non-trivial systems in various applications, using advances in nonlinear dynamics and quantum technologies, including stochastic trigger-type switching devices with hysteresis and controlled photon statistics in exciton-polariton systems.
Further experimental studies using the considered effects and states within the framework of the corresponding algorithms and models will contribute to new achievements in the implementation of a number of tasks for the technological sovereignty of Russia based on the development of high-tech technologies of the new generation. In this aspect, single-walled nanotubes as an example of 1D-carbon systems with unique capabilities for their widespread use are of great interest [15, 16, 19, 73]). The fundamental foundations of these technologies were laid relatively long ago [74–77] and now the stage of their implementation in various directions has come.
In this regard, it is worth mentioning the embedding of two-dimensional films of various nanomaterials, in particular graphene, directly into microchips [78]. Using gold inserts, it was possible to successfully connect substrates made of silicon and a number of polymer materials with films of graphene and molybdenum disulfide. This allowed obtaining a set of high-frequency transistors using just one technological operation. The development of this approach should significantly simplify the production of nanoelectronic elements and, at the same time, improve their quality. Considering that the production of carbon nanomaterials of various types has already reached an industrial scale [19], we can admit their widespread use in relevant micro-nanoelectronics applications, including both logic elements and sensitive universal sensors for various purposes.
Acknowledgements
The authors are grateful to Candidate of Physical and Mathematical Sciences I.S. Chestnov and Doctor of Technical Sciences Elena Burakova for fruitful discussions and advice on the subject of the research.
Funding
This study received no external funding.
Conflict of interests
The authors declare no conflict of interest.
About the authors
Dmitry N. Bukharov
Vladimir State University named after Alexander and Nikolay Stoletovs
Author for correspondence.
Email: bukharov@vlsu.ru
ORCID iD: 0000-0002-4536-8576
Senior Lecturer
Russian Federation, VladimirTimur A. Khudaiberganov
Vladimir State University named after Alexander and Nikolay Stoletovs
Email: thomasheisenberg@mail.ru
ORCID iD: 0000-0002-2008-7276
Assistant
Russian Federation, VladimirAlexey G. Tkachev
Tambov State Technical University
Email: nanotam@yandex.ru
ORCID iD: 0000-0001-5099-9682
D. Sc. (Eng.), Professor, Head of the Department
Russian Federation, TambovSergey M. Arakelian
Vladimir State University named after Alexander and Nikolay Stoletovs
Email: arak@vlsu.ru
ORCID iD: 0000-0002-6323-7123
D. Sc. (Phys. and Math.), Professor, Head of the Department
Russian Federation, VladimirReferences
- Sidorova SV, Yurchenko PI. Study of the formation of island nanostructures in a vacuum. Nano- i microsystemnaya tekhnika. 2011;5:9-11. (In Russ.)
- Freik DM, Yurchishin IK, Lisuk YuV. Quantum-size effects in nanostructures and problems of thermoelectricity. Thermoelectrichestvo. 2012;2:5-30. (In Russ.)
- Bukharov DN, Kucherik AO, Arakelian SM. Nanocluster fractal electrical conductivity in thin films on a solid surface: dimensional models of different configurations and demonstration of results in a laser experiment. Journal of Advanced Materials and Technologies. 2023;8(3):227-251. doi: 10.17277/jamt.2023.03.pp.227-251
- Kulbachinsky VA. Semiconductor quantum dots. Sorosovskiy Obrazovatel′nyy Zhurnal. 2001;4:98-104. (In Russ.)
- Roduner E. Size effects in nanomaterials. Moscow: Tekhnosphere; 2010. 368 p. (In Russ.)
- Laucht A, Hofbauer F, Hauke N, Angele J, et al. Electrical control of spontaneous emission and strong coupling for a single quantum dot. New Journal of Physics. 2009;11:23-34. doi: 10.1088/1367-2630/11/2/023034
- Sarkar DK, Zhou X, Tannous A. Growth of self-assembled copper nanostructure on conducting polymer by electrodeposition. Solid State Communications. 2003;125(7-8):365-368. doi: 10.1016/S0038-1098(02)00883-9
- Gribachev V. Nanosensors. Componenti i Tekhnologii. 2009;4(93):21-24. (In Russ.)
- Kryzhanovskaya NV, Maksimov MV, Zhukov AE. Lasers based on quantum dots and microcavities with whispering gallery modes. Kvantovaya Electronica. 2014;44(3):189-200. (In Russ.)
- Aseev AL. Nanomaterials and nanotechnologies for modern semiconductor electronics. Rossiyskie Nanotechnologii = Nanobiotechnology Reports. 2006;1(1-2):97-110.(In Russ.)
- Ilyichev EA, Nabiev RM, Petrukhin GN, Rychkov GS, et al. Carbon materials in electronics: status and problems. Izvestiya Vysshikh Uchebnykh Zavedeniy. Elektronika = Semiconductors. 2011;5(91):18-35.(In Russ.)
- Garnov SV, Abramov DV, Bukharov DN, Khudayberganov TA, et al. Electrophysics of carbon 1D structures obtained in a laser experiment. Uspehi fizicheskih nauk = Physics-Uspekhi. 2024;194(2):115-137. doi: 10.3367/UFNr.2023.12.039620 (In Russ.)
- Gryaznov KO, Sineva LV, Asalieva EY, Mordkovich VZ. Comprehensive comparison of high-performance Fischer-Tropsch synthesis cobalt catalysts containing different types of heat-conducting frames. Catalysis in Industry. 2023;15(1):21-35. doi: 10.1134/S2070050423010051
- Tkachev AG, Mikhaleva ZA, Burakova EA. Study of methods for increasing the activity of catalysts for the production of carbon nanostructured materials. Himicheskaya tekhnologiya = Theoretical Foundations of Chemical Engineering. 2009;10(2):81-86. (In Russ.)
- Burakova EA, Litovka YuV, Nesterov VA, Sypalo KI, et al. The concept of controlling the characteristics of nanotubes by processing a catalyst precursor for their synthesis. Journal of Computer and Systems Sciences International. 2022;61(5):843-857. doi: 10.1134/S1064230722050057
- Burakova EA, Litovka YuV, Nesterov VA, Sypalo KI, et al. The concept of controlling the characteristics of nanotubes by processing a catalyst precursor for their synthesis. Izvestiya RAN. Neorii i sistemi upravleniya = Journal of Computer and Systems Sciences International. 2022;(5):102-117. doi: 10.31857/S0002338822050055 (In Russ.)
- Burakova EA, Filatova EYu, Burakov AE, Tkachev AG. Effect of ultrahigh frequencies on catalytic systems for the synthesis of carbon nanomaterials. Himicheskaya tekhnologiya = Theoretical Foundations of Chemical Engineering. 2011;12(9):539-542. (In Russ.)
- Burakova EA, Burakov AE, Ivanova IV, Tkachev AG, et al. Study of the activation of metal oxide catalysts for the synthesis of multi-walled carbon nanotubes. Vestnik Tambovskogo Gosudarstvennogo Tekhnicheskogo Universiteta. 2010;16(2):337-342. (In Russ.)
- Mishchenko SV, Tkachev AG. Carbon Nanomaterials. Production, Properties, Application. Moscow: Mashinostroyenie; 2008. 320 p. (In Russ.)
- Burakova EA. The concept of control of complex technical systems for the production of carbon nanomaterials. Prikaspijskij zhurnal: upravlenie i vysokie tekhnologii = Caspian Journal: Control and High Technologies. 2023;61:9-18. doi: 10.54398/20741707_2023_1_9 (In Russ.)
- Ashuiev A, Nobile AG, Trummer D, Klose D, et al. Active Sites in Cr(III)-based Ethylene Polymerization Catalysts from Machine Learning-Supported XAS and EPR Spectroscopy. ChemRxiv. Cambridge: Cambridge Open Engage; 2023. 400 p. doi: 10.26434/chemrxiv-2023-34wl2
- Cao G, Wang Y. Nanostructures and nanomaterials: Synthesis, Properties and Applications. World Scientific Publishing; 2011. 581 p.
- Gulyakovich GN, Severtsev VN, Shurchkov IO. Prospects and problems of semiconductor nanoelectronics. Injenerniy Vestnik Dona. 2012;2(20):315-319. (In Russ.)
- Loktev D, Yamashkin E. Methods and equipment for applying wear-resistant coatings. Nanoindustriya. 2007;4:18-25. (In Russ.)
- Zuev DA, Lotin AA, Novodvorsky OA, Lebedev FV, et al. Pulsed laser deposition of thin ITO films and their characteristics. Fizika i Tekhnika Poluprovodnikov. 2012;46(3):425-429. (In Russ.)
- Eroshova OI, Perminov PA, Zabotnov SV, Gongalsky MB, et al. Structural properties of silicon nanoparticles prepared by pulsed laser ablation in liquid media. Kristallografiya = Crystallography Reports. 2012;57(6):942-947. (In Russ.)
- Domke M, Nobile L, Rapp S Eiselen, Sotrop S, et al. Understanding thin film laser ablation: the role of the effective penetration depth and the film thickness. Physics Procedia. 2014;56:1007-1014. doi: 10.1016/j.phpro.2014.08.012
- Arakelyan SM, Khudaberganov TA, Istratov AV, Osipov AV, Khorkov KS. Topological laser-induced quantum states in nanocluster structures: fundamental effects and possible applications (electrophysics and optics). Optika i Spektroskopiya. 2019;127(7):125-136. doi: 10.21883/OS.2019.07.47939.113 (In Russ.)
- Shuleiko DV, Potemkin FV, Romanov IA, Parhomenko IN, et al. Femtosecond laser pulse modification of amorphous silicon films: control of surface anisotropy. Laser Physics Letters. 2018;15:056001. doi: 10.1088/1612-202X/aaacf9
- Drampyan R, Leonov N, Vartanyan T. Laser controlled deposition of metal microstructures via nondiffracting Bessel beam illumination. Nanophotonics VI. 2016;9884:98841J. doi: 10.1117/12.2227763
- Emelyanov VI, Zaitsev VB, Plotnikov GS. Formation and evolution of nanostructures on the surface of semiconductors during laser inelastic photodeformation. Poverkhnost'. Rentgenovskiye, sinkhrotronnyye i neytronnyye issledovaniya = Journal of Surface Investigation: X-Ray, Synchrotron and Neutron Techniques. 2008;5:80-87. (In Russ.)
- Emelyanov VI. Defect-deformation theory of the formation of an ensemble of nanoparticles with a bimodal size distribution during continuous laser irradiation of solids. Kvantovaya Elektronika = Quantum Electronics. 2011;41(8):738-741. (In Russ.)
- Arakelian SM, Kucherik AO, Kutrovskaya SV, Osipov AV, et al. Laser-induced nanocluster thin-film systems with controlled topology and composition: the possibility of creating superconducting structures based on new physical principles. Crystallography Reports. 2018;63(7):1173-1177. doi: 10.1134/S1063774518070027
- Fedotov AYu. Modeling of formation processes and properties of nanostructures and nanofilms formed in a gaseous environment. Khimicheskaya Fizika i Mezoskopiya. 2017;19(2):230-249. (In Russ.)
- Suzdalev IP. Nanotechnology: Physico-Chemistry of Nanoclusters, Nanostructures and Nanomaterials. Moscow: URSS; 2008. 589 p. (In Russ.)
- Roldugin VI. Fractal structures in dispersed systems. Uspekhi Khimii = Russian Chemical Reviews. 2003;72(10):931-959. (In Russ.)
- Zyryanov RS. Development of fractal models of aggregation of colloidal particles. Molodoy Ucheniy. 2016;24(128):72-76. (In Russ.)
- Wei H, Eilers H. From silver nanoparticles to thin films: Evolution of microstructure and electrical conduction on glass substrates. Journal of Physics and Chemistry of Solids. 2009;70:459-465. doi: 10.1016/j.jpcs.2008.11.012
- Kronover PM. Fractals and chaos in dynamic systems. Fundamentals of theory. Moscow: Postmarket; 2000. 352 p. (In Russ.)
- Falconer K. Fractal Geometry: mathematical foundations and applications. New York: John Wiley & Sons; 2013. 400 p.
- Mahanta A, Sarmah H, Paul R, Choudhury G. Julia set and some of its properties. International Journal of Applied Mathematics & Statistical Sciences (IJAMSS). 2016;5(2):99-124.
- Iudin DI, Koposov EV. Fractals: from simple to complex. N. Novgorod: NNGASU; 2012. 200 p. (In Russ.)
- Bukharov DN, AbramovAS, Novikova OA, Samyshkin VD. Fractal models of the PbTe nanocluster structures on a solid surface. Journal of Physics: Conference Series. 2022;2316(1):012013. doi: 10.1088/1742-6596/2316/1/012013
- Arakelyan SM, Bukharov DN, Emelyanov VI, Zimin SP, et al. Bimodal ensemble of nanoparticles on the surface of epitaxial films of lead telluride under the influence of continuous laser radiation. Poverkhnost'. Rentgenovskiye, sinkhrotronnyye i neytronnyye issledovaniya = Journal of Surface Investigation: X-Ray, Synchrotron and Neutron Techniques. 2015;11:41-49. doi: 10.7868/S0207352815110062 (In Russ.)
- Gonzalez R, Woods R, Eddins S. Digital image processing in the MATLAB environment. Moscow: Tekhnosfera; 2006. 616 p. (In Russ.)
- Dyakonov VP, Abramenkova IV. MATLAB. Signal and image processing. Special reference book. St. Petersburg: Piter; 2002. 608 p. (In Russ.)
- Seroklinov G, Goonko A. Comparative analysis of experimental data clustering in MATLAB and Python environment. E3S Web of Conferences. 2023;419:20-25. doi: 10.1051/e3sconf/202341902025
- Chamundeswari G, Pardasaradhi VG, Satyanarayana Ch. An experimental analysis of K-means using Matlab. International Journal of Engineering Research & Technology. 2012;1(5):1-5.
- Boltaev AP, Penin NA, Pogosov AO, Pudonin FA. Activation conductivity in island metal films. Zhurnal eksperimental′noy i teoreticheskoy fiziki = Journal of Experimental and Theoretical Physics. 2004;126:945-961. (In Russ.)
- Rostovshchikova TN, Smirnov VV, Kozhevin VM, Yavsin DA, Gurevich SA. Intercluster interactions in catalysis by nanosized metal particles. Rossiyskiye nanotekhnologii = Nanobiotechnology Reports. 2007;2(1-2):47-60. (In Russ.)
- Anfimov IM, Kobeleva SP, Malinkovich MD, Shchemerov IV, et al. Mechanisms of electrical conductivity of silicon–carbon nanocomposites with nanosized tungsten inclusions in the temperature range 20–200 °C. Izvestiya Vysshikh Uchebnykh Zavedeniy. Materialy elektronnoytekhniki = Modern Electronic Materials. 2012;2:58-60. (In Russ.)
- Ravich YuI, Nemov SA. Hopping conduction through highly localized states of indium in PbTe and solid solutions based on it. Fizika i tekhnika poluprovodnikov = Semiconductors. 2002;36(1):3-23. (In Russ.)
- Gantmakher VF. Electrons in disordered media. Moscow: FIZMATLIT; 2013. 288 p. (In Russ.)
- Gallyamov SR, Melchukov SA. Percolation model of conductivity of a two-phase lattice: theory and computer experiment. Izvestiya Instituta matematiki i informatiki Udmurtskogo gosudarstvennogo universiteta. 2010; 4:112-122. (In Russ.)
- Bleibaum O, Böttger H, Bryksin VV. Random-resistor network description for hopping transport in the presence of Hubbard interaction. Journal of Physics: Condensed Matter. 2003;15:1719. doi: 10.1088/0953-8984/15/10/319
- Arakelian SM, Bukharov DN, Emel'yanov VI, Zimin SP, et al. Laser nanostructuring of the PbX thin films for creation of the semiconductor devices with controlled properties. Physics Procedia. 2014;56(C):1115-1125. doi: 10.1016/j.phpro.2014.08.026
- Bengfort M, Malchow H, Hilker FM. The Fokker–Planck law of diffusion and pattern formation in heterogeneous environments. Journal of Mathematical Biology. 2016;73:683-704. doi: 10.1007/s00285-016-0966-8
- Cavaliere E, Ferrini G, Pingue P, Gavioli L. Fractal TiO2 nanostructures by nonthermal laser ablation at ambient pressure. The Journal of Physical Chemistry C. 2013;117(44):23305-23312. doi: 10.1021/jp406603q
- Cavaliere E, Benetti G, Celardo GL, Archetti D, et al. Aggregation and fractal formation of Au and TiO2 nanostructures obtained by fs-pulsed laser deposition: experiment and simulation. Journal of Nanoparticle Research. 2017;19(9):311. doi: 10.1007/s11051-017-4009-1
- Budaev VP, Khimchenko LN. Fractal nano- and microstructure of deposited films in thermonuclear installations. Voprosy Atomnoy Nauki i Tekhniki. Seriya Termoyadernyy Sintez. 2008;3:34-61. (In Russ.)
- Kavokin A, Baumberg JJ, Malpuech G, Laussy FP. Microcavities. Oxford: Oxford University Press; 2017. 500 p.
- Sanvitto D, Stéphane K-C. The road towards polaritonic devices. Nature Materials. 2016;15(10):1061-1073. doi: 10.1038/nmat4668
- Gerard JM, Barrier D, Marzin JY, Kuszelewicz R, Manin L. Quantum boxes as active probes for photonic microstructures: The pillar microcavity case. Applied Physics Letters. 1966;69(449):1-6. doi: 10.1063/1.118135
- Löffler A, Reithmaier JP, Sęk G, Hofmann C, et al. Semiconductor quantum dot microcavity pillars with high-quality factors and enlarged dot dimensions. Applied Physics Letters. 2005;86(11):1-10. doi: 10.1063/1.1880446
- Galbiati M. Polariton condensation in photonic molecules. Physical Review Letters. 2012;108(12):126403. doi: 10.1103/PhysRevLett.108.126403
- Abbarchi M, Amo A, Sala VG, Solnyshkov DD, et al. Macroscopic quantum self-trapping and Josephson oscillations of exciton-polaritons. Nature Phys. 2013;9:275. doi: 10.1038/nphys2609
- Flayac H, Savona V. Unconventional photon blockade. Physical Review A. 2017;96(5):053810. doi: 10.1103/PhysRevA.96.053810
- Johansson JR, Nation PD, Nori F. QuTiP: An open-source Python framework for the dynamics of open quantum systems. Computer Physics Communications. 2012;183(8):1760-1772. doi: 10.1016/j.cpc.2012.02.021
- McCutcheon D, Dara PS. A general approach to quantum dynamics using a variational master equation: Application to phonon-damped Rabi rotations in quantum dots. Physical Review B. 2011;84(8):081305. doi: 10.1103/PhysRevB.84.081305
- Ohadi H, Gregory RL, Freegarde T, Rubo YG, et al. Nontrivial phase coupling in polariton multiplets. Physics Review X. 2016;6:031032. doi: 10.1103/PhysRevX.6.031032
- Rodriguez SRK, Casteels W, Storme F, et al. Probing a dissipative phase transition via dynamical optical hysteresis. Physical Review Letters. 2017;118(24):247402. doi: 10.1103/PhysRevLett.118.247402
- Walls DF, Milburm GJ. Quantum optics. Dordreht: Springer Science and Business Media; 2007. 370 p.
- Khudaiberganov T, Arakelian S. Quantum polariton trigger. IOP Conference Series: Materials Science and Engineering. 2020;896(1):12-26. doi: 10.1088/1757-899X/896/1/012126
- Kharkova AV, Voznesenskaya AA, Kochuev DA, Khorkov KS. Influence of laser irradiation parameters on the temperature of the treated surface. Izvestiya Rossiyskoy akademii nauk. Seriya fizicheskaya. 2022;86(6):864-868. doi: 10.31857/S0367676522060151 (In Russ.)
- Kharkova AV, Kochuev DA, Davidov NN. Laser synthesis of a weakly agglomerated aluminium oxide nanopowder doped with terbium and ytterbium. Journal of Physics: Conference Series. 2021;2131:052086. doi: 10.1088/1742-6596/2131/5/052086
- Novikov IV, Krasnikov DV, Shestakova VS, Rogov IP, et al. Boosting CO-based synthesis of single-walled carbon nanotubes with hydrogen. Chemical Engineering Journal. 2023;476:146527. doi: 10.1016/j.cej.2023.146527
- Alferov ZhI, Aseev AL, Gaponov SV, Kopyev PS, et al. Nanomaterials and nanotechnologies. Mikrosistemnaya tekhnika. 2003;8:3-13. (In Russ.)
- Physicists have created a simple method for embedding two-dimensional nanostructures into microchips. Available from: https://www.nanonewsnet.ru/news/2023/fiziki-sozdali-prostoi-metod-vstraivaniya-dvumernykh-nanostruktur-v-mikrochipy [Accessed 15 December 2023]. (In Russ.)
Supplementary files











