Dynamics of Clinical Manifestations and Social Functioning in Schizophrenia: A Non-interventional Observational Study of Paliperidone Palmitat Dosage Forms
- Authors: Reznik A.M.1,2,3,4, Karpenko O.A.1, Shumakova E.A.3, Mudrak A.V.5, Sokolov A.V.1, Nazimova S.V.2,6, Saifulina A.M.7, Eliseenko A.M.8, Matvievskaya T.K.3, Khannanova A.N.2,3,9, Revenko V.I.2,4, Scherbakov D.V.3, Martynyuk Y.L.3, Arbuzov A.L.2,4, Yacenko O.A.2, Alekseeva P.N.1, Berdalin A.B.1, Burygina L.A.3
-
Affiliations:
- Mental-health Clinic No. 1 named after N.A. Alexeev
- BIOTECH University
- Mental-health Clinic No. 4 named after P.B. Gannushkin
- Moscow Regional Mental-health Hospital No. 5
- Mental-health Clinic No. 1 named after N.A. Alexeev, Moscow
- Mental Health Research Center
- Clinic of Psychiatry and Psychotherapy “Mindset”
- Mental health clinic “Empathy”
- Lomonosov Moscow State University
- Issue: Vol 5, No 4 (2024)
- Pages: 16-38
- Section: RESEARCH
- URL: https://journals.rcsi.science/2712-7672/article/view/309816
- DOI: https://doi.org/10.17816/CP15567
- ID: 309816
Cite item
Abstract
BACKGROUND: Over the past seven years, the use of long-acting forms of antipsychotic medication has significantly increased in Russia. Specifically, in Moscow, from 2016 to 2021, the proportion of prescribed injectable long-acting antipsychotics had increased more than sevenfold (from 3% to 23%). Studies have shown that the correct selection of target groups for such therapy can reduce the frequency of relapses requiring hospitalization, lower the costs of inpatient care, and shift the focus of therapy from multiple drug administrations to psychosocial work.
AIM: This study was aimed at evaluating changes over time in psychosocial functioning, as well as clinical and psychopathological manifestations, in patients with schizophrenia during early remission and while on therapy with different forms of paliperidone: oral paliperidone (OP), paliperidone palmitate administered once monthly (PP1M), and paliperidone palmitate administered once every three months (PP3M).
METHODS: The observational study included 155 patients: 54 patients who had been treated with another second-generation antipsychotic received OP, 50 patients who had been treated with another antipsychotic received PP1M injections, and 51 patients who had been in remission for four months after treatment with PP1M received PP3M. The duration of the follow-up period was 12 months. Assessment of personal and social functioning was conducted five times: before the start of treatment, and 3, 6, 9, and 12 months later.
RESULTS: Treatment in all groups led to a statistically significant reduction in the severity of positive symptoms (p <0.001). Hallucinations proved more susceptible to therapy (p <0.001), while persistent delusions showed greater treatment resistance. Significantly more patients in the PP1M and PP3M groups had completed the entire program (n=24; 48.0%, and n=30; 58.8%, respectively) compared to the OP group (n=11; 20.4%). The PP3M group demonstrated the highest treatment adherence, with the largest number of patients completing the study, and a similar rate of exacerbations or inadequate efficacy compared to the other groups.
CONCLUSION: Treatment with different forms of paliperidone provides a roughly equal pace reduction in the severity of schizophrenia, including positive and negative symptoms. The PP3M group had better adherence and the highest number of patients who fully completed the study.
Full Text
INTRODUCTION
The use of long-acting injectable antipsychotics (LAIs) represents an effective treatment option for schizophrenia, which helps overcome patient suboptimal adherence to prescribed therapy, leading to disease relapses [1–12]. While previously long-acting forms were typically prescribed for the chronic disease, when relapse of psychosis was already imminent, clinical experience and recent scientific research have shown that LAIs represent an effective treatment strategy for patients in the early phase or in the first episode of the disease, where preventing relapses brings the greatest benefit [2, 4, 12]. However, LAI have been underutilized in global practice for a long time and, until recently, in domestic clinical practice as well [13–16]. Unfortunately, the most common reason for the neglect of LAI prescriptions is the lack of knowledge and the persistent beliefs of physicians that long-acting forms are associated with a higher risk of adverse effects (AEs) and the difficulty in managing them. There is also the real issue that the most modern long-acting forms are expensive and may be inaccessible for widespread use in clinical practice [2].
Despite existing contradictions regarding the benefits and risks and inconsistent results from randomized controlled trials (RCTs) [17–22], most studies — both RCTs and naturalistic — demonstrate the efficacy of treating schizophrenia with long-acting formulations of paliperidone [23–38]. It has been noted that paliperidone palmitate reduces the severity of positive and negative symptoms, hostility, aggression, and exerts a pro-cognitive effect [25, 26, 35, 39–41].
LAI forms of paliperidone have demonstrated anti-relapse effects, as evidenced by RCTs, meta-analyses, and observational studies of various durations [3, 4, 28, 30–32, 38, 39, 42–48]. Among these, the dosage form of paliperidone for administration once every three months (PP3M) most effectively reduces relapse rates requiring hospitalization and contributes to stabilizing remission. This is supported, among other findings, by the extended time between the discontinuation of the drug and the onset of exacerbation [16, 26, 30, 35, 36, 40, 48]. Research into the effectiveness of LAI forms of paliperidone has identified practical predictors of sustained remission. In particular, these include a one-point reduction in the Marder factor of negative symptoms on the Positive and Negative Syndrome (PANSS) scale [49], a one-point decrease on the Clinical Global Impression (CGI-S) scale, and an increase of 7–10 points in the total score and social functioning score on the Personal and Social Performance (PSP) scale [50]. However, recent meta-analyses do not conclusively show that the anti-relapse effects of LAI paliperidone palmitate are superior to other oral or injectable antipsychotics of both generations [38, 47].
Treatment with LAI paliperidone is associated with better adherence to prescribed therapy compared to first-generation antipsychotics (FGAs) and even oral second-generation antipsychotics (SGAs) [28, 29, 36, 39, 42, 43]. Improved satisfaction with treatment outcomes and adherence to prescribed therapy have been observed even in patients with severe schizophrenia [29, 39], although achieving clinical stabilization in such cases often required higher doses of the drug [29]. Some studies indicate that paliperidone palmitate can replace clozapine in the treatment of resistant schizophrenia [33] and reduce the risk of suicidal behavior [30].
Paliperidone palmitate is generally well tolerated in all its dosage forms [24–26, 28, 29, 39, 51]. Its use reduces the need to frequently prescribe tranquilizers and medication for managing extrapyramidal symptoms, with side effects comparable to placebo [30, 38, 40, 51]. Only a small number of patients discontinue therapy due to AEs, and there is a gradual decrease in the prevalence of moderate and severe AEs over time [16]. Among the AEs, weight gain, hyperprolactinemia, and its associated clinical manifestations are significantly more frequent than in placebo groups [35, 38, 47].
Several publications highlight the positive impact of LAI paliperidone on the quality of life and social functioning of patients with schizophrenia [26, 36, 40, 41, 45], especially those experiencing their first episode or recently diagnosed [35, 37, 40, 44]. For example, patients with a disease duration of less than 5 years or 6–10 years showed better outcomes compared to those with a disease duration of more than 10 years [26]. Data suggest that early initiation of PP3M improves social functioning, extends remission duration, and contributes to achieving “functional remission”, characterized by a return to the previous social status and activities [16, 28, 30, 41, 45, 46, 48, 50, 52, 53].
The introduction of long-acting paliperidone formulations is associated with decreased burden on the health care system, reduced direct and indirect costs, and fewer hospitalizations and doctor visits [43, 54, 55]. High treatment response rates, adherence to therapy, and rapid improvements in social functioning with paliperidone palmitate, countering the well-known challenges of early schizophrenia, such as high relapse potential and poor medication adherence, have led to recommendations to use LAI forms of paliperidone, including PP3M, not only on patients with longer disease duration, but also at the earliest stages of the disorder [4]. This shift in approach has been supported by research [35, 37] and aptly summarized by the biblical phrase “the last shall be first”, referenced by Stahl [56] in one of his articles on the use of long-acting antipsychotics.
In Russia, there has been a noticeable increase in the use of long-acting antipsychotics, both FGAs and SGAs ones, over the past seven years [13, 14, 15]. Specifically, in Moscow, from 2016 to 2021, the proportion of LAI antipsychotics used increased more than sevenfold (from 3% to 23%). While long-acting risperidone (LR) dominated among LAI prescriptions in 2013–2015 (76%–77%), the structure shifted from 2016 to 2021, with an increased share of paliperidone formulations. By 2021, the ratio of paliperidone to risperidone formulations was characterized by a predominance of paliperidone palmitate: paliperidone palmitate administered once monthly (PP1M) accounted for 37%; PP3M — for 26%; LR — for 37% [14]. Research has shown that proper selection of target groups for such therapy can reduce relapses requiring hospitalization more than tenfold, lower hospital care costs, and shift the focus of care from controlling the administration of multiple doses of medications to psychosocial work, with an emphasis on the timely identification of relapse risks, motivating recovery, continuing education, and employment [16]. Nevertheless, to clarify and confirm the specifics of the drug's effect on various manifestations of a chronic mental disorder, its social consequences, and its impact on other organs and systems, it is imperative to conduct follow-up studies, including “pragmatic” RCTs, in conditions closest to real-world clinical practice [12, 29, 42].
This study aimed to evaluate the dynamics of psychosocial functioning and clinical-psychopathological manifestations in patients with schizophrenia during the onset of remission on therapy with different forms of paliperidone: oral paliperidone (OP), PP1M and PP3M in dosage forms for injection.
The objectives of the observational program included the following:
- to collect data on the duration of adherence to prescribed maintenance therapy for schizophrenia using long-acting antipsychotic dosage forms compared to oral dosage forms;
- to conduct qualitative and quantitative assessments of the severity of psychotic symptoms over time during treatment with long-acting antipsychotics of varying durations of action compared to oral antipsychotics;
- to conduct qualitative and quantitative assessments of the severity of negative symptoms over time during treatment with long-acting antipsychotics of varying durations of action compared to oral antipsychotics;
- to conduct qualitative and quantitative assessments of the parameters of social functioning over time during treatment with long-acting antipsychotics of varying durations of action compared to oral antipsychotics; and
- to evaluate the frequency, occurrence, and severity of AEs during treatment with long-acting antipsychotics of varying durations of action.
METHODS
Study design
An observational cohort prospective study on the dynamics of clinical manifestations and social functioning in patients with paranoid schizophrenia was conducted at specialized health care and research institutions in Moscow and the Moscow Region (Russia): Mental-health Clinic No. 1 named after N.A. Alexeev, Mental-health Clinic No. 4 named after P.B. Gannushkin, Moscow Regional Mental-health Hospital No. 5.
Setting
All patients received the therapy of paliperidone or paliperidone palmitate based on clinical needs and in accordance with the current clinical guidelines for schizophrenia treatment in the Russian Federation. The study sample consisted of male and female patients with a confirmed diagnosis of schizophrenia who were prescribed paliperidone as part of their treatment: OP at daily doses ranging from 3 to 12 mg, or PP1M intramuscular injections at approved doses of 50 to 150 mg, or PP3M intramuscular injections at doses of 175 to 525 mg.
Data collection and monitoring for this study covered the observation period from March 18, 2021, to April 11, 2023. The maximum observation period for an individual patient was 12 months (360±7 days).
All patients whose mental state and social functioning dynamics were monitored received comprehensive information about the study and provided written informed consent to be included. The study protocol, patient information materials, informed consent forms, and case report forms were reviewed and approved by the Independent Ethics Committee at Mental-health Clinic No. 1 named after N.A. Alexeev (Meeting minutes No. 01 dated March 1, 2021).
Participants
Inclusion criteria:
All participants
- Diagnosed paranoid schizophrenia according to the International Classification of Diseases 10th Revision (ICD-10) (F20), including F20.00 (continuous course), F20.01 (episodic course with progressive deficit), F20.02 (episodic course with stable deficit), F20.03 (episodic remitting [recurrent] course), F20.09 (observation period of less than one year).
- Male or female patients aged 18 to 65 years inclusive at the time of provision of consent to participate in the study.
- Patients for whom the attending physician determined that oral paliperidone or paliperidone palmitate (administered monthly or every three months via intramuscular injection) was a viable treatment option. The physician’s decision to prescribe the medication was based solely on clinical indications, independent of the study design.
- Presence of mild or moderate delusional ideas or hallucinations that did not necessitate intensified therapy or a shift to more intensive mental health care (e.g., hospitalization or a day hospital setting).
- Written informed consent to the collection of socio-demographic and medical data, responses to psychometric scales, and the processing of anonymized socio-demographic and medical data.
- A schizophrenia relapse experienced and resolved 3 to 6 months prior to the study, with treatment resulting in symptomatic improvement, allowing the patient to enter the stabilization and maintenance (anti-relapse) therapy phase by the time of consent.
- Health condition and contraindications: based on medical examination, history, and key vital signs, absence of diseases that, in the physician’s opinion and after reviewing the Summary of Product Characteristics (SmPC), would be a contraindication to the use of paliperidone.
Group 1
- The patient received OP treatment for no more than 7 days, and the decision to prescribe OP in any dose was made by the treating physician based on clinical needs for the benefit of the patient, rather than for the purposes of the study.
- The patient had been treated with another antipsychotic for at least 4 months after remission of a schizophrenia relapse.
Group 2
- The patient began treatment with intramuscular PP1M no more than 7 days prior, or the treating physician made a clinical decision to prescribe PP1M at any dose based on the patient’s clinical needs.
- The patient had been treated with another antipsychotic for at least 4 months after remission of a schizophrenia relapse. Before inclusion in the second group, the patient had undergone an initial course of OP or risperidone of any duration but not less than 3 days.
Group 3
- The patient began treatment with intramuscular PP3M no more than 7 days prior, or the treating physician made a clinical decision to prescribe PP3M at any dose based on the patient’s clinical needs.
- The patient had been treated with PP1M for at least 4 months after remission of a schizophrenia relapse.
Exclusion criteria:
All participants
- The presence of any other mental disorder diagnosis, aside from paranoid schizophrenia.
- Refusal of the patient to participate in the observation and/or assessment of his/her mental state using clinical psychometric scales.
- Participation of the patient in any other clinical or observational drug study or other treatment methods.
- Contraindications to paliperidone, determined by the treating physician based on the clinical presentation of the disease, existing comorbidities, and other individual risks, as well as contraindications specified in the instruction for the use of paliperidone, approved by the Ministry of Health of the Russian Federation.
- Presence of clinically significant somatic diseases such as kidney, liver, cardiovascular, respiratory system disorders, cerebrovascular diseases in a decompensated stage, cancer and other progressive diseases, for which paliperidone is contraindicated.
- A history of severe drug allergies or hypersensitivity to paliperidone, risperidone, or their components, or allergy to three or more different medications.
- Other contraindications to the use of paliperidone, as determined by the instructions for use or the physician’s judgment.
A patient was excluded from the program in the following cases:
- Withdrawal of informed consent, refusal to take the medications prescribed as part of the program, or refusal to undergo the procedures of the observational program.
- The need to discontinue paliperidone due to side effects, the risk of worsening of physical illness, or worsening of mental health.
- If, in the physician’s opinion, there was a need to change the therapy regimen, such as replacing antipsychotics or prescribing a second antipsychotic with a marked selective antipsychotic effect.
- Any other situation where discontinuation, change of therapy, or the decision to end the observation was made by the treating physician or the patient in their best interest.
- Other circumstances that prevented proper treatment and observation of the patient.
The patients, whose mental state was the subject of monitoring, were divided into three observation groups: 1) those receiving OP; 2) those receiving the injectable PP1M; and 3) those receiving the injectable PP3M. Since the patients experienced individually expressed symptoms, course, and history of schizophrenia, concomitant therapy (mood stabilizers, antidepressants, tranquilizers, and other drugs with predominantly sedative effects, as well as medications to manage neurological symptoms) was allowed. This therapy was prescribed by the treating physician based on clinical indications, such as existing affective disorders, sleep disturbances, and the side effects of psychopharmacotherapy. The prescription, discontinuation, selection, and dose adjustment of all paliperidone dosage forms and other concomitant medications were made based on the indications for these medications, the recommended doses in the instructions for usage, the clinical need, and the interests of the patients, rather than the objectives of the study.
The observational program included 155 patients, who either had completed the observation program or had withdrawn for various reasons (Table 1).
Table 1. Characteristics of study groups
Variables | OP (n=54) f(%) | PP1M (n=50) f(%) | PP3M (n=51) f(%) | Total (n=155) f(%) | Statistical analysis |
χ2-test | |||||
Male Female | 25 (46.3) 29 (53.7) | 24 (48.0) 26 (52.0) | 24 (47.1) 27 (52.9) | 73 (47.1) 82 (52.9) | χ2=0.030; df=2; p=0.985 |
Diagnosis F20.00 F20.01 F20.03 F20.09 | 11 (20.4%) 20 (37.0%) 12 (22.2%) 11 (20.4%) | 8 (16.0%) 33 (66.0%) 2 (4.0%) 7 (14.0%) | 16 (31.4%) 31 (60.8%) 3 (5.9%) 1 (2.0%) | 35 (22.6%) 84 (54.2%) 17 (11.0%) 19 (12.3%) | χ2=24.536; df=6; p=0.000319 |
One-way ANOVA | |||||
Age Mean (SD) | 36.1 (10.2) | 38.4 (9.41) | 38.6 (9.22) | 37.7 (9.64) | OP vs PP1M: MD=-2.31; t=-1.22; df=152; p=0.443 OP vs PP3M: MD=-2.534; t=-1.348; df=152; p=0.371 PP1M vs PP3M: MD=-0.228; t=-0.119; df=152; p=0.992 |
Duration of schizophrenia Mean (SD) | 11.24 (9.05) | 13.42 (8.67) | 12.52 (8.22) | 12.36 (8.7) | OP vs PP1M: MD=2.18; t=1.28; df=152; p=0.407 OP vs PP3M: MD=-1.289; t=-1.28; df=152; p=0.727 PP1M vs PP3M: MD=0.891; t=0.517; df=152; p=0.863 |
Number of hospitalizations Mean (SD) | 3.65 (4.05) | 4.50 (4.03) | 5.08 (4.75) | 4.39 (4.30) | OP vs PP1M: MD=-0.852; t=-1.01; df=152; p=0.570 OP vs PP3M: MD=-1.430; t=-1.709; df=152; p=0.205 PP1M vs PP3M: MD=-0.578; t=-0.678; df=152; p=0.777 |
Note: n — the number of patients in the sample; f(%) — frequency and percentage; SD — the standard deviation, MD — the mean difference; df — the degrees of freedom; χ2 — the value of the Pearson chi-squared test; t — the t-test; p — the significance level (p-value); OP — oral paliperidone; PP1M — paliperidone palmitate once a month; PP3M — paliperidone palmitate once every three months; ANOVA — one-way analysis of variance.
A qualitative determination of psychopathological manifestations and an ordinal assessment of symptom severity were conducted at baseline, before the start of treatment, on Day 1 (Visit 1), and subsequently on days 90 (Visit 2), 180 (Visit 3), 270 (Visit 4), and 360 (Visit 5) of outpatient treatment, with an acceptable interval of ±7 days. Thus, the maximum duration of the observation period for each patient was 360 days (52 weeks or 12 months).
Data sources
The main data collection method was a clinical-descriptive approach, which involved studying the patient’s history, identifying complaints about health, observing patient’s mental and physical condition over time, and examining the specifics of social functioning. For the study, a case report form was developed, which included anonymized data on age, diagnosis, concomitant therapy, presence or absence of treatment-related AEs, predominant symptoms, and their severity. The start and end times of the study were recorded, along with the reasons for termination.
Measurements
To quantitatively assess the dynamics of various clinical manifestations of schizophrenia and the quality of social functioning, at all visits the following scales were used:
- PSP scale, developed as a result of the integration of the Diagnostic and Statistical Manual of Mental Disorders 4th revision (DSM-IV) Social and Occupational Functioning Assessment Scale (SOFAS) and the Global Assessment Functioning (GAF) scale. The PSP is a scale with a maximum score of one hundred points, divided into 10 equal intervals with ordinal designations [57]. The assessment takes into account four categories of functioning: socially useful activities, personal and social relationships, self-care, and disturbing and aggressive behavior. The scale has proven to be a reliable and quick tool for measuring personal and social functioning, with several advantages compared to other tools [57–61].
- The DSM-5 Clinician-Rated Dimensions of Psychosis Symptom Severity (CRDPSS) scale, which allows the clinician to quantitatively assess the severity of core psychotic symptoms, including disorganized speech, delusions, hallucinations, abnormal psychomotor behavior, negative symptoms, as well as cognitive impairments, depression, and mania — a total of 8 items. The severity of psychotic symptoms is rated on a 5-point scale from 0 (symptom absent) to 4 (symptom present and significantly pronounced), based on the clinician’s judgment, and it can be completed during a routine clinical examination. The clinician is asked to rate the severity of each symptom the patient experienced over the past seven days [62–65]. Despite the controversial and even critical assessments of the CRDPSS consistency, convergent validity, and inter-rater reliability [66, 67], we attempted to apply it, as it remains an accessible tool in general practice based on clinical examination and can be useful in gauging the severity of different schizophrenia symptoms and predicting the course of the psychosis [68].
- The Symptoms Qualifier Scales (SQS) from ICD-11, which include six other sections (domains) of mental disorders that are commonly observed in individuals with primary psychotic disorders: positive symptoms, negative symptoms, depressive symptoms, manic symptoms, psychomotor symptoms, and cognitive symptoms. These sections “were selected by the ICD-11 Working Group on Schizophrenia and Other Primary Psychotic Disorders through a careful review of the literature and the scientific validation process. Indeed, these areas align well with the general consensus on important areas of schizophrenia and other psychotic disorders” [65, 69]. Each of the domains can be rated on a 4-point scale, from 0 (symptom absent) to 3 (symptom present and significantly pronounced).
- CGI-S scale, which allows for a general assessment of the severity of the mental disorder based on the physician’s clinical opinion [70–74].
- The 4-Items Negative Symptoms Assessment (NSA-4) scale consists of four items, each rated on a scale from 0 to 4. The scale is an abridged and adapted version for broader clinical use of the NSA-16 (16-Items Negative Symptoms Assessment) scale, which includes four items selected verbatim: restricted speech quantity, reduced emotion, reduced social drive, and reduced interests, as well as an overall summary rating. Each of the four items and the total negative symptoms are scored on a scale from 1 to 6, where “1” indicates no reduction compared to normal behavior, and “6” indicates a significant reduction or absence of behavior with severe functional impairment [75].
The primary effectiveness measure in the observational program was a statistically significant increase in the final mean score on the PSP scale, with a final score increase of at least 10.7 points (17.1%), which corresponds to the minimal detectable change calculated for it [60]. Additional effectiveness measures included a reduction in the manifestations of schizophrenia and, specifically, a statistically significant decrease in the scores of individual items of the dimensional assessments on CRDPSS and SQS, the mean CGI-S score, and the mean total score on the NSA-4 scale. The time to premature study discontinuation in the 3 compared groups was used as an exploratory parameter.
Statistical analysis
The general characteristics of the population were presented using descriptive statistical methods, with continuous data expressed as means and standard deviations (SD), medians, and the first and third quartiles (Q1 and Q3). Comparisons of interval values were made using one-way analysis of variance (ANOVA), with a Tukey adjustment for multiple comparisons. Categorical data were presented as absolute and relative frequencies. The comparison of the baseline values of the representation of different clinical variants of schizophrenia and psychopathological syndromes in independent samples was conducted using Pearson’s chi-squared test.
Primary and secondary parameters were studied in a separate repeated measures ANOVA model with a fixed group factor and an assessment of between-group contrasts based on changes in scores on the respective scales between visit 1 and visits 2, 3, 4, and 5.
Analysis of differences in the time to premature study discontinuation was conducted using Kaplan-Meier survival curves, with the differences between the groups compared using the Log-rank test, which calculates the mean duration of participation in the study for each group and the relative risk in case of full study completion.
All types of analyses were conducted using the software products jamovi v. 2.3 (The jamovi project, 2022) and IBM SPSS Statistics 26.
RESULTS
Participants
The analysis included 155 patients, who either completed the observation program or withdrew for various reasons.
Descriptive statistics for the overall sample are presented in Table 1. The total sample consisted of 54 patients receiving OP, 50 patients receiving PP1M intramuscular injections, and 51 patients receiving PP3M intramuscular injections.
Patients receiving different dosage forms of paliperidone did not show significant differences in terms of sex, age, disease duration, and number of hospitalizations.
A total of 155 patients were diagnosed with paranoid schizophrenia. Сases with a diagnosed episodic (recurrent) course (F20.03) were the most common and patients with an episodic course with progressive deficit (F20.01) were the fewest in the OP group, compared to other groups. Patients with an episodic course with progressive deficit (F20.09) were more common in the PP1M group. In the PP3M group, patients with a continuous course (F20.00) were more common than in other groups and fewer patients had a recurrent course (F20.03) or a short observation period (less than one year) (F20.09) compared to the OP group. The opposite ratios of patients with episodic and continuous courses of schizophrenia in the OP and PP3M groups likely contributed to the fact that, at baseline visit, the dimension “hallucinations” was higher in the OP group, while the dimension “negative symptoms” and the total score on the NSA-4 scale were higher in the PP3M group. However, the baseline values of the clinically similar domains “Positive symptoms” and “Negative symptoms” on the SQS (ICD-11) scale did not show significant differences across the groups (Table S1 in the Supplementary).
Analysis of treatment duration and patients withdrawal
Table 2 presents data on the number of patients who completed all visits and withdrew from observation and the reasons for premature withdrawal of patients receiving different dosage forms of paliperidone. In the PP1M and PP3M groups, the numbers were approximately the same: about half of the patients completed all visits and completed observation, while in the OP group, significantly fewer patients completed the study. Withdrawal of a third of patients receiving OP treatment and a quarter of patients receiving PP1M is explained by their switching to more long-acting dosage forms of paliperidone — PP1M and PP3M, respectively. This decision was made by the physician in accordance with the protocol of this observational study and in the interests of successful treatment of the patient. In the PP3M group, two cases of return to PP1M treatment were associated with the lack of free access to the drug at the required time. Discontinuation of observation due to relapses of schizophrenia or insufficient efficacy of paliperidone was observed in all groups with approximately identical frequency of about 20%. Cases of non-compliance with the prescribed therapy or refusal to continue treatment were reported only in the OP group. Also, in all groups, in isolated cases, patients mixed the next visit, and it was impossible to determine the reasons behind their refusal to participate in the observation.
Table 2. Study completions and early withdrawals
OP (n=54) f(%) | PP1M (n=50) f(%) | PP3M (n=51) f(%) | Total (n=155) f(%) | Statistical analysis χ2; df; p-value | |
Result of study | |||||
Completed Withdrew | 11 (20.4) 43 (79.6) | 24 (48.0%) 26 (52.0) | 30 (58.8%) 21 (41.2) | 65 (41.9) 90 (58.1) | χ2=17.042; df=2; p=0.000179 |
Reasons for withdrawal | |||||
lack of efficacy | 10 (18.5%) | 10 (20.0%) | 12 (23.5%) | 32 (20.7%) | χ2=19.356; df=8; p=0.010796 |
AE | 7 (13.0%) | 3 (6.0%) | 4 (7.9%) | 14 (9.0) | |
non-compliance | 6 (11.1%) | – | – | 6 (3.9%) | |
Switching to another dosage form | 18 (33.3%) | 12 (24.0%) | 2 (3.9%) | 32 (20.7%) | |
unknown reasons | 2 (3.7%) | 1 (2.0%) | 3 (5.9%) | 6 (0.11%) | |
Note: n — the number of patients in the sample; f(%) — frequency and percentage; df — the degrees of freedom; χ2 —the value of the Pearson chi-squared test; p — the significance level (p-value); OP — oral paliperidone; PP1M — paliperidone palmitate once a month; PP3M — paliperidone palmitate once every three months; AE — adverse effect.
Analysis of the time to completion of participation in the observation (Figure 1) demonstrated that in the PP1M and PP3M groups, a greater proportion of patients fully completed the study program (n=24, 48,0% and n=30, 58,8%, respectively) compared to the OP group (n=11, 20,4%). The mean survival time in the OP group was 154.926 days (95% CI: 120.270–189.582), while in the PP1M group, it was 250.320 days (216.884–283.756), and in the PP3M group, it was 281.618 days (251.848–311.388). Testing for equality of survival distributions among the three groups showed statistically significant differences (χ²=28.381, df=2, p=0.0001, Log-Rank test). Early withdrawal from the study in the OP group was mainly due to a switch by patients in this group to another dosage form of paliperidone, which was based on the patient’s interests; i.e., either at the patient’s request or for clinical reasons. Despite the seemingly higher number of patients completing the full observation program and a somewhat higher mean survival time in the PP3M group compared to the PP1M group, the Log-rank test did not show significant differences (χ²=1.292, df=1, p=0.256).
Figure 1. Kaplan-Meier curves of the probability of completing the study for patients from the OP, PP1M, and PP3M groups. Note: OP — oral paliperidone; PP1M — paliperidone palmitate once a month; PP3M — paliperidone palmitate once every three months. Source: Reznik et al., 2024
Dynamics of symptoms and social functioning
At the baseline visit, there were no significant differences in the scores of the SQS Positive, Negative, and Depressive symptom domains, as well as in the “Hallucinations”, “Delusions”, “Negative Symptoms”, and “Depressive Symptoms” scales from the dimensional assessment of the CRDPSS. The mean CGI-S, NSA-4, and PSP scores likewise did not show significant differences across the 3 groups (Table S2, Table S3 and Table S4 in the Supplementary).
The two-way repeated-measures ANOVA conducted across the entire sample of patients receiving paliperidone demonstrated a consistent and statistically significant reduction in the severity of negative and depressive symptoms as measured by the SQS (Table 3, Figure 2A, B), the hallucinations, delusions, negative symptoms, and depressive symptoms as assessed by the CRDPSS (Table 4, Figures 3), negative symptoms according to NSA-4 (Table 5 and Figure 4), and the overall severity of schizophrenia on the CGI-S scale (Table 5 and Figure 5).
Table 3. Changes in three Symptoms Qualifier Scales domain scores (positive, negative and depressive symptoms) with statistically significant differences*
Source of variation | Sum of Squares | df | Mean Square | F | p | η² | η²p | |
Positive symptoms | Visit | 2.54 | 4 | 0.634 | 5.58 | <0.001 | 0.024 | 0.083 |
Visit × Dosage form | 1.55 | 8 | 0.194 | 1.71 | 0.098 | 0.015 | 0.052 | |
Residual | 28.16 | 248 | 0.114 | - | - | - | - | |
Dosage form | 5.33 | 2 | 2.67 | 2.43 | 0.098 | 0.051 | 0.073 | |
Residual | 67.92 | 62 | 1.10 | - | - | - | - | |
Negative symptoms | Visit | 3.19 | 4 | 0.797 | 7.33 | <0 .001 | 0.039 | 0.106 |
Visit × Dosage form | 1.65 | 8 | 0.206 | 1.84 | 0.070 | 0.020 | 0.056 | |
Residual | 27.72 | 248 | 0.112 | - | - | - | - | |
Dosage form | 0.512 | 2 | 0.256 | 0.311 | 0.734 | 0.006 | 0.010 | |
Residual | 51.131 | 62 | 0.825 | - | - | - | - | |
Depressive symptoms | Visit | 7.63 | 4 | 1.908 | 10.933 | <0.001 | 0.071 | 0.133 |
Visit × Dosage form | 1.26 | 8 | 0.157 | 0.901 | 0.516 | 0.012 | 0.025 | |
Residual | 49.57 | 248 | 0.175 | - | - | - | - | |
Dosage form | 4.87 | 2 | 2.437 | 3.93 | 0.024 | 0.045 | 0.100 | |
Residual | 44.06 | 62 | 0.621 | - | - | - | - |
Note: df — the degrees of freedom; p — the significance level (p-value); η² — effect size measure; η²p — adjusted effect size indicator; *Two-way Repeated-measures ANOVA results.
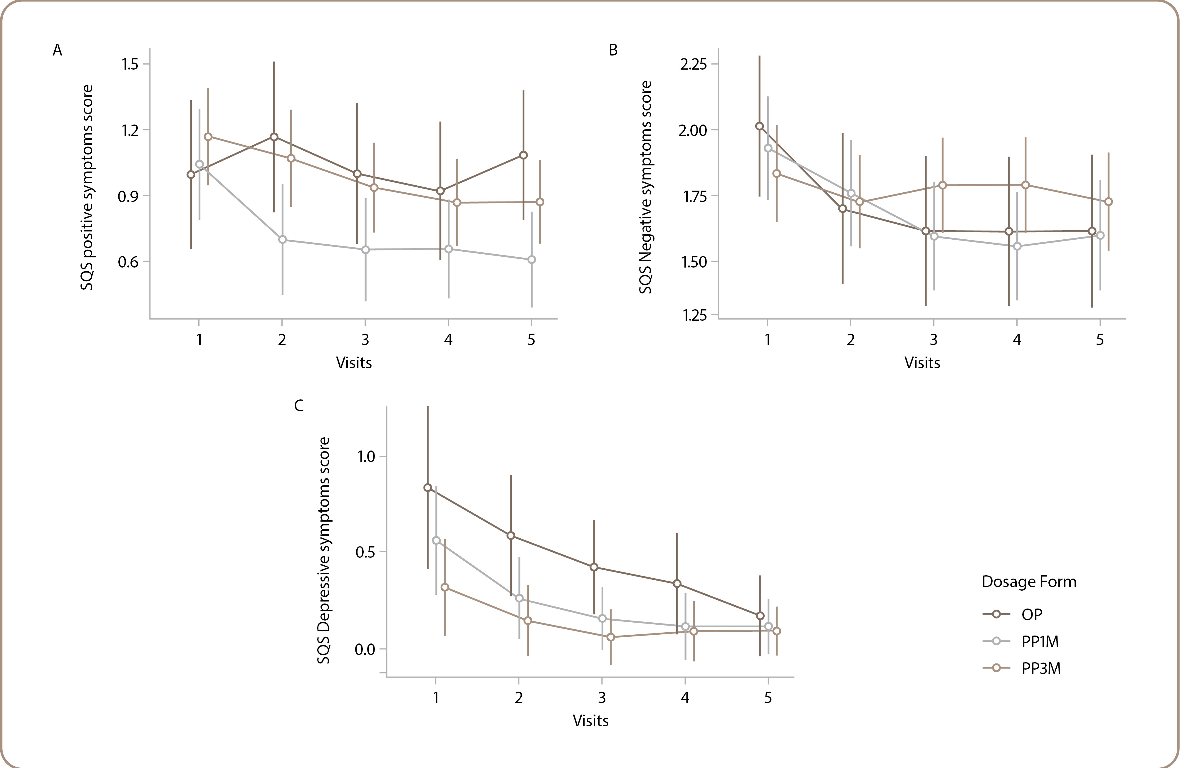
Figure 2. Dynamics of Symptoms Qualifier Scales scores in the paliperidone groups. Note: SQS — the Symptoms Qualifier Scales; OP — oral paliperidone; PP1M — paliperidone palmitate once a month; PP3M — paliperidone palmitate once every three months. Source: Reznik et al., 2024
Table 4. Changes in the DSM-5 Clinician-Rated Dimensions of Psychosis Symptom Severity dimension scores with statistically significant differences across the visits or study groups*
Source of variation | Sum of Squares | df | Mean Square | F | p | η² | η²p | |
Hallucinations | Visit | 14.39 | 4 | 3.597 | 14.33 | <0.001 | 0.093 | 0.188 |
Visit × Dosage form | 4.19 | 8 | 0.524 | 2.09 | 0.038 | 0.027 | 0.063 | |
Residual | 62.23 | 248 | 0.251 | - | - | - | - | |
Dosage form | 0.328 | 2 | 0.164 | 0.138 | 0.872 | 0.002 | 0.002 | |
Residual | 73.961 | 62 | 1.193 | - | - | - | - | |
Delusions | Visit | 5.54 | 4 | 1.386 | 8.20 | <0.001 | 0.025 | 0.117 |
Visit × Dosage form | 1.79 | 8 | 0.224 | 1.32 | 0.232 | 0.008 | 0.041 | |
Residual | 41.92 | 248 | 0.169 | - | - | - | - | |
Dosage form | 15.3 | 2 | 7.65 | 3.08 | 0.053 | 0.070 | 0.090 | |
Residual | 153.9 | 62 | 2.48 | - | - | - | - | |
Disorganized speech | Visit | 7.76 | 4 | 1.941 | 9.87 | <0.001 | 0.049 | 0.472 |
Visit × Group | 3.27 | 8 | 0.408 | 2.08 | 0.039 | 0.021 | 0.244 | |
Residual | 48.75 | 248 | 0.197 | - | - | - | - | |
Group | 1.56 | 2 | 0.781 | 0.483 | 0.619 | 0.010 | 0.010 | |
Residual | 100.33 | 62 | 1.618 | - | - | - | - | |
Negative symptoms | Visit | 22.38 | 4 | 5.596 | 26.56 | <0.001 | 0.134 | 0.300 |
Visit × Dosage form | 1.93 | 8 | 0.241 | 1.14 | 0.335 | 0.011 | 0.036 | |
Residual | 52.25 | 248 | 0.211 | - | - | - | - | |
Dosage form | 13.9 | 2 | 6.96 | 5.59 | 0.006 | 0.083 | 0.153 | |
Residual | 77.2 | 62 | 1.24 | - | - | - | - | |
Cognitive symptoms | Visit | 3.68 | 4 | 0.920 | 5.92 | <0.001 | 0.030 | 0.028 |
Visit × Group | 2.01 | 8 | 0.251 | 1.61 | 0.121 | 0.017 | 0.015 | |
Residual | 38.53 | 248 | 0.155 | - | - | - | - | |
Group | 7.84 | 2 | 3.92 | 3.07 | 0.053 | 0.062 | 0.060 | |
Residual | 79.16 | 62 | 1.28 | - | - | - | - | |
Psychomotor symptoms | Visit | 10.57 | 4 | 2.642 | 12.48 | <0.001 | 0.082 | 0.079 |
Visit × Group | 4.63 | 8 | 0.579 | 2.74 | 0.007 | 0.038 | 0.035 | |
Residual | 52.49 | 248 | 0.212 | - | - | - | - | |
Group | 0.285 | 2 | 0.142 | 0.133 | 0.876 | 0.002 | 0.002 | |
Residual | 66.312 | 62 | 1.070 | - | - | - | - | |
Depressive symptoms | Visit | 17.08 | 4 | 4.271 | 10.752 | <0.001 | 0.079 | 0.148 |
Visit × Group | 2.34 | 8 | 0.293 | 0.737 | 0.658 | 0.011 | 0.023 | |
Residual | 98.51 | 248 | 0.397 | 10.752 | - | - | - | |
Group | 8.55 | 2 | 4.27 | 2.91 | 0.062 | 0.039 | 0.086 | |
Residual | 90.94 | 62 | 1.47 | - | - | - | - | |
Manic symptoms | Visit | 0.298 | 4 | 0.0746 | 2.10 | 0.082 | 0.015 | 0.014 |
Visit × Group | 0.609 | 8 | 0.0761 | 2.14 | 0.033 | 0.029 | 0.029 | |
Residual | 8.825 | 248 | 0.0356 | - | - | - | - | |
Group | 0.340 | 2 | 0.170 | 0.935 | 0.398 | 0.017 | 0.016 | |
Residual | 11.272 | 62 | 0.182 | - | - | - | - |
Note: df — the degrees of freedom; p — the significance level (p-value); η² — effect size measure; η²p — adjusted effect size indicator; *Two-way Repeated-measures ANOVA results.
Figure 3. Dynamics of Clinician-Rated Dimensions of Psychosis Symptom Severity scale scores in the paliperidone groups. Note: CRDPSS — Clinician-Rated Dimensions of Psychosis Symptom Severity scale; OP — oral paliperidone; PP1M — paliperidone palmitate once a month; PP3M — paliperidone palmitate once every three months. Source: Reznik et al., 2024
Table 5.Changes in the Clinical Global Impression scale, 4-Items Negative Symptoms Assessment scale and the Personal and Social Performance scale scores with statistically significant differences between the visits or study groups*
Source of variation | Sum of Squares | df | Mean Square | F | p | η² | η²p | |
CGI-S | Visit | 8.89 | 4 | 2.223 | 16.05 | <0.001 | 0.082 | 0.206 |
Visit × Group | 1.63 | 8 | 0.203 | 1.47 | 0.170 | 0.015 | 0.045 | |
Residual | 34.36 | 248 | 0.139 | - | - | - | - | |
Group | 7.70 | 2 | 3.850 | 4.31 | 0.018 | 0.071 | 0.122 | |
Residual | 55.33 | 62 | 0.892 | - | - | - | - | |
NSA-4 | Visit | 1206.3 | 4 | 301.57 | 59.406 | <0.001 | 0.028 | 0.489 |
Visit × Group | 26.5 | 8 | 3.32 | 0.653 | 0.732 | 0.005 | 0.021 | |
Residual | 1258.9 | 248 | 5.08 | - | - | - | - | |
Group | 480 | 2 | 240.0 | 5.25 | 0.008 | 0.083 | 0.145 | |
Residual | 2835 | 62 | 45.7 | - | - | - | - | |
PSP | Visit | 6903 | 4 | 1725.9 | 52.48 | <0.001 | 0.170 | 0.458 |
Visit × Group | 706 | 8 | 88.3 | 2.68 | 0.008 | 0.017 | 0.080 | |
Residual | 8156 | 248 | 32.9 | - | - | - | - | |
Group | 2690 | 2 | 1345 | 3.77 | 0.028 | 0.066 | 0.109 | |
Residual | 22103 | 62 | 357 | - | - | - | - |
Note: df — the degrees of freedom; p — the significance level (p-value); η² — effect size measure; η²p — adjusted effect size indicator; CGI-S — the Clinical Global Impression scale; NSA-4 — the 4-Items Negative Symptoms Assessment scale; PSP — the Personal and Social Performance scale; *Two-way Repeated-measures ANOVA results.
Figure 4. Dynamics of the mean NSA-4 total scores in the paliperidone groups.
Figure 5. Dynamics of the mean CGI-S scores in the paliperidone groups. Note: NSA-4 — the 4-Items Negative Symptoms Assessment scale; CGI-S — the Clinical Global Impression scale; OP — oral paliperidone; OP — oral paliperidone; PP1M — paliperidone palmitate once a month; PP3M — paliperidone palmitate once every three months. Source: Reznik et al., 2024
A more detailed analysis revealed a significant reduction in the SQS positive symptoms domain compared to the baseline in the overall sample by visit 4 (t=3.976; p <0.001; ptukey=0.002), but this parameter subsequently returned to its baseline levels. However, in the individual comparison groups (OP, PP1M, and PP3M), no significant differences in positive symptoms were found either across the groups or visits. A reduction in the severity of negative symptoms was observed as early as at visit 2 (t=3.658; p <0.001; ptukey=0.005) and remained throughout subsequent visits. Significant differences were identified only in the PP1M group between visits 1 and 3 (t=3.942; p <0.001; ptukey=0.015), while no statistically significant differences were observed between the groups at any visit. Depressive symptoms on the SQS had improved by visit 2 (t=3.278; p=0.002; ptukey=0.014), with significant differences from the baseline remaining throughout all subsequent visits. However, no significant differences were observed either between the comparison cohorts or across visits within them.
In the CRDPSS domains for the entire patient sample, a significant reduction from the baseline was achieved in “hallucinations” by visit 2 (t=4.228; p <0.001; ptukey <0.001) and was maintained throughout subsequent visits. However, a slight increase in hallucinations was noted in the OP cohort between visits 4 and 5 (Figure 3A). Significant improvement in the “delusions” domain of the CRDPSS from the baseline was also achieved by visit 2 (t=4.111; p <0.001; ptukey <0.001) and was maintained across all visits. In this domain, there was a worsening of the state of delusion compared to baseline levels in the OP group at the final visit (Figure 3B), which noticeably affected the overall result, leading to no significant differences between visits 1 and 5. A more pronounced, gradual improvement was observed in the “negative symptoms” domain. Statistically significant differences were noted by visit 2 (t=4.018; p <0.001; ptukey=0.001), with a significant positive trend maintained across all subsequent assessments. In the comparison cohorts, significant differences were detected only at visit 3 between the PP1M and PP3M groups (t=3.739; p <0.001; ptukey=0.030). In the CRDPSS “depressive symptoms” domain, significant differences for the entire sample emerged by visit 3 (t=3.459; p <0.001; ptukey=0.008) and remained throughout the study. However, in individual comparison cohorts, no significant differences were identified between the visits or across the groups after Tukey’s adjustment.
Post-hoc comparisons of the CGI-S and NSA-4 scales across the entire sample of patients receiving paliperidone confirmed a statistically significant reduction in disease severity, based on the clinician’s global assessment, and a decrease in the severity of negative symptoms by visit 2 (t=4.639; p <0.001; ptukey <0.001 and t=4.68; p <0.001; ptukey <0.001, respectively), with sustained positive dynamics throughout the observation period (Figures 4 and 5). However, among patients taking different dosage forms of paliperidone, significant changes in CGI-S compared to the baseline were observed only in the OP group at visit 4 (t=4.523; p <0.001; ptukey=0.002), in the PP1M group starting from visit 3 (t=4.2147; p <0.001; ptukey=0.007) and continuing until the end of the observation period, while no significant changes were detected in the PP3M group. Intergroup differences were identified only between the OP and PP3M groups and only at visit 4 (t=3.749; p < 0.001; ptukey <0.027). The CGI-S scale, which provides a global synthetic impression of disease severity, primarily reflects the clinician’s assessment of the psychotic symptom severity and, therefore, in our observations it assumes a generally flat character, similar to the dynamics of positive symptoms on the SQS scale. The dynamics of negative symptoms on the NSA-4 scale were more pronounced across all three comparison groups, with significant differences observed at visit 3 (OP group: ptukey=0.003; PP1M and PP3M groups: ptukey <0.001) and maintained across all subsequent assessments. Notably, the NSA-4 variance is generally similar to the dynamics of the CRDPSS negative symptom domain (Figures 3D and 4).
The assessment of social and personal functioning using the PSP scale in the overall sample treated with all dosage forms of paliperidone showed improvement (Table 5, Figure 6), with statistically significant differences achieved as early as visit 2 (t=5.24; p <0.001; ptukey <0.001) and a steady improvement observed at subsequent visits. A significant overall intergroup difference was found between patients receiving PP1M and PP3M (t=2.4508; p=0.017; ptukey=0.044), although no differences were detected at individual visits. In the OP group, the mean PSP score increased by more than 17.2% from the baseline value (49.2) to visit 3 (62.5) and by 34% by the end of the observation period (65.8). In the PP1M group, the mean PSP score similarly increased by about 17.2% from the baseline value (50.8) to visit 3 (59.6) and by 34% (65.8) by the end of the observation period. In the PP3M group, the mean PSP score increased by more than 17.2% ultimately by the final visit reaching 60.5 points.
Figure 6. Dynamics of the mean PSP total scores in the paliperidone groups. Note: PSP — the Personal and Social Performance scale; OP — oral paliperidone; PP1M — paliperidone palmitate once a month; PP3M — paliperidone palmitate once every three months. Source: Reznik et al., 2024
Tolerability analysis
A total of 88 patients (56.8%) reported experiencing AEs. AEs were reported by 35 patients (64.8%) in the OP group, 25 patients (50%) in the PP1M group, and 26 patients (51.0%) in the PP3M group. The full list of AEs is presented in Table 6. In the OP group, eight AEs occurred in >5.5% of the patients: weight gain, in six patients (11.1%); increased appetite, in five (9.3%); akathisia, in five (9.3%); hyperprolactinemia, in five (9.3%); irregular menstrual cycles, in five (9.3%); COVID-19, in four (7.4%); reduced attention, in four (7.4%); and anxiety, in four (7.4%). Other AEs were reported as isolated cases. In the PP1M group, 10 AEs occurred in >5.5% of the patients: COVID-19, in five patients (10.0%); hyperprolactinemia, in five (10.0%); reduced attention, in four (8.0%); akathisia, in three (6.0%); irregular menstrual cycle, in three (6.0%); weight gain, in three (6.0%); increased appetite, in three (6.0%); headaches, in three (6.0%); drowsiness, in three (6.0%); and anxiety, in three (6.0%). In the PP3M group, 11 AEs occurred in >5.5% of the patients: hyperprolactinemia, in six patients (11.8%); weight gain, in five (9.8%); COVID-19, in five (9.8%); tremor, in five (9.8%); akathisia, in four (7.8%); irregular menstrual cycles, in four (7.8%); increased appetite, in four (7.8%); dizziness, in four (7.8%); insomnia, in four (7.8%); tachycardia, in three (5.9%); and reduced attention, in three (5.9%). Although no statistically significant differences were found (Table 7), likely due to the sample size, it is noteworthy that extrapyramidal symptoms, including newly identified cases, were slightly more frequent in the OP group (Table 8). Overall, the profile of AEs was similar to and typical of paliperidone. Across all three cohorts, the most common AEs were mild extrapyramidal symptoms (akathisia and tremor, which had minimal impact on the patients’ overall condition), hyperprolactinemia and its clinical manifestations, increased appetite, weight gain, and a situational AE of COVID-19, which proved generally mild and not considered a serious AE, except in one case where it was led the physician to discontinue therapy.
Table 6. List and frequency of adverse effects observed in the study
Adverse effects | All patients (n=155) | OP (n=54) | PP1M (n=50) | PP3M (n=51) | ||||
f | % | f | % | f | % | f | % | |
Any AE | 88 | 56.8 | 35 | 64.8 | 25 | 50.0 | 26 | 51.0 |
Registered EPS | 28 | 18.1 | 12 | 22.2 | 8 | 16.0 | 8 | 15.7 |
Newly identified EPS | 16 | 10.3 | 7 | 13.0 | 4 | 8.0 | 4 | 7.8 |
Akathisia | 23 | 14.8 | 9 | 16.7 | 6 | 12.0 | 8 | 15.7 |
New akathisia | 12 | 7.7 | 5 | 9.3 | 3 | 6.0 | 4 | 7.8 |
Acute dystonia | 2 | 1.3 | 1 | 1.9 | 1 | 2.0 | - | - |
Hypokinesia | 4 | 2.6 | 2 | 3.7 | 1 | 2.0 | 1 | 2.0 |
New hypokinesia | 2 | 1.3 | 1 | 1.9 | - | - | 1 | 2.0 |
Tremor | 16 | 10.3 | 7 | 13.0 | 4 | 8.0 | 5 | 9.8 |
New tremor | 7 | 4.5 | 3 | 5.6 | 2 | 4.0 | 2 | 3.9 |
Hypersalivation | 3 | 1.9 | 1 | 1.9 | 1 | 2.0 | 1 | 2.0 |
New hypersalivation | 1 | 0.7 | - | - | - | - | 1 | 2.0 |
Tardive dyskinesia | 1 | 0.7 | - | - | - | - | 1 | 2.0 |
New tardive dyskinesia | - | - | - | - | - | - | - | - |
Hyperprolactinemia | 16 | 10.3 | 5 | 9.3 | 5 | 10.0 | 6 | 11.8 |
Gynecomastia | 6 | 3.9 | 2 | 3.7 | 2 | 4.0 | 2 | 3.9 |
Galactorrhea | 5 | 3.2 | 2 | 3.7 | 1 | 2.0 | 2 | 3.9 |
Irregular menstrual cycle | 12 | 7.7 | 5 | 9.3 | 3 | 6.0 | 4 | 7.8 |
Weight gain | 15 | 9.7 | 6 | 11.1 | 3 | 6.0 | 5 | 9.8 |
Weight loss | 3 | 1.9 | 1 | 1.9 | - | - | 2 | 3.9 |
Diarrhea | 3 | 1.9 | 2 | 3.7 | - | - | 1 | 2.0 |
Nausea | 6 | 3.9 | 3 | 5.6 | 1 | 2.0 | 2 | 3.9 |
Increased appetite | 12 | 7.7 | 5 | 9.3 | 3 | 6.0 | 4 | 7.8 |
Decreased appetite | 5 | 3.2 | 2 | 3.7 | 1 | 2.0 | 2 | 3.9 |
Hyperglycemia | 2 | 1.3 | - | - | - | - | 2 | 3.9 |
Bradycardia | 4 | 2.6 | - | - | 2 | 4.0 | 2 | 3.9 |
Increased blood pressure | 2 | 1.3 | 1 | 1.9 | - | - | 1 | 2.0 |
Tachycardia | 7 | 4.5 | 3 | 5.6 | 1 | 2.0 | 3 | 5.9 |
Rash | 1 | 0.7 | 1 | 1.9 | - | - | - | - |
COVID-19 | 14 | 9.0 | 4 | 7.4 | 5 | 10.0 | 5 | 9.8 |
Dizziness | 6 | 3.9 | 1 | 1.9 | 1 | 2.0 | 4 | 7.8 |
Headache | 7 | 4.5 | 3 | 5.6 | 3 | 6.0 | 1 | 2.0 |
Decreased attention | 11 | 7.1 | 4 | 7.4 | 4 | 8.0 | 3 | 5.9 |
Somnolence | 7 | 4.5 | 3 | 5.6 | 3 | 6.0 | 1 | 2.0 |
Insomnia | 9 | 5.8 | 3 | 5.6 | 2 | 4.0 | 4 | 7.8 |
Anxiety | 8 | 5.2 | 4 | 7.4 | 3 | 6.0 | 1 | 2.0 |
Note: f(%) — frequency and percentage; EPS — extrapyramidal symptoms ; AE — adverse effects; OP — oral paliperidone; PP1M — paliperidone palmitate once a month; PP3M — paliperidone palmitate once every three months.
Table 7. Frequency of adverse effects in paliperidone groups
Group | Adverse effects | Statistical analysis χ2; df; p-value | |
f | % | ||
OР (n=54) | 35 | 64.8 | χ2=2.931; df=2; p=0.249 |
PP1M (n=50) | 25 | 50.0 | |
PP3M (n=51) | 26 | 51.0 | |
Table 8. Extrapyramidal symptoms in paliperidone groups
Group | Adverse effects | Statistical analysis χ2; df; p-value | |
f | % | ||
OР (n=54) | 12 | 22.2 | χ2=2.991; df=2; p=0.236 |
PP1M (n=50) | 8 | 16.0 | |
PP3M (n=51) | 8 | 15.7 | |
Note: n — the number of patients in the sample, f(%) — frequency and percentage; df — the degrees of freedom; χ2 —the value of the Pearson chi-squared test; p — the significance level (p-value); OP — oral paliperidone; PP1M — paliperidone palmitate once a month; PP3M — paliperidone palmitate once every three months.
DISCUSSION
An observational study was conducted to evaluate the clinical dynamics and social functioning ability of patients with schizophrenia undergoing therapy with three dosage forms of paliperidone: OP, PP1M, and PP3M.
In the OP group, compared to the other groups, the cases with a diagnosed episodic (recurrent) course (F20.03) — the most favorable course in schizophrenia — were significantly more common and patients with an episodic course with progressive deficit (F20.01) were the fewest. Patients with an episodic course with progressive deficit (F20.09) were significantly more common in the PP1M group. In the PP3M group, patients with a continuous course (F20.00) were significantly more common than in the other groups (p <0.05), and fewer patients had a recurrent course (F20.03) or a short observation period (less than one year) (F20.09) compared to the OP group. This likely explains the higher baseline values for the “Hallucinations” dimension of the CRDPSS in the OP group and the more pronounced negative symptoms on the CRDPSS and NSA-4 scales in the PP3M group. Overall, these patterns reflect the continued practice of prescribing long-acting formulations of paliperidone to patients with a long-term and continuous disorder, who are typically characterized by poorer adherence to prescribed therapy, often poor social support in their efforts to adhere to uninterrupted treatment, and, at the same time, milder exacerbations. It is important to note that in patients with prolonged and continuous schizophrenia, exacerbations tend to be less acute. Symptoms such as agitation, mania, negativism, hostility, and aggression are less pronounced than in the early stages of the disease or in cases with an episodic course. Such deteriorations are often less acute than in periodic forms of schizophrenia, tend to be transient, and are easier to manage through dose adjustments of long-acting antipsychotics. In relatively new cases or previously established recurrent courses of schizophrenia, physicians have higher hopes for better patient compliance and high-quality remission; there are also concerns about side effects, which are harder to manage under the influence of LAI antipsychotics. In periodic forms and during the early stages of the disease, physicians typically combine antipsychotics with mood stabilizers, and they have to prescribe additional oral antipsychotics alongside LAI antipsychotics, or choose combinations of antipsychotics with selective and sedative effects—or even antipsychotic cocktails. The known characteristics of disease progression and the nature of the exacerbations sometimes lead physicians to consider it risky to include such patients in observational studies. Furthermore, they may promptly initiate additional therapy at the first signs of worsening symptoms or even due to dissatisfaction with the effects of LAI antipsychotics. In other words, we are still grappling with our own apprehensions and biases regarding the use of long-acting antipsychotics. These factors can influence clinical judgments about the effectiveness of a particular drug or its specific dosage form.
This study showed that a 12-month course treatment with different dosage forms of paliperidone, administered at flexible doses according to clinical needs, results in a statistically significant improvement in the primary efficacy endpoint — the final PSP score — as well as statistically significant and clinically meaningful improvements in secondary efficacy endpoints, such as the total scores of dimensional scales assessing the severity of psychopathological manifestations of schizophrenia, as proposed in the DSM-5 and ICD-11 classifications, short psychometric methods for assessing overall disease severity (CGI-S), and the severity of negative symptoms (NSA-4). Overall, the results of this study confirm that any dosage form of paliperidone is equally effective in improving clinical manifestations of schizophrenia and social functioning, and is a well-tolerated treatment option for schizophrenia during the remission phase.
The most notable result in the paliperidone treatment was the improvement in social functioning. By the end of treatment with all three dosage forms of paliperidone, a statistically significant increase in final PSP values was achieved, exceeding the established minimal detectable change for this scale. The slower improvement in PSP in the PP3M group, compared to the OP and PP1M groups, can be explained by the more persistent nature of negative symptoms, which significantly affect social functioning, as well as the longer duration of paliperidone use before inclusion in the PP3M group and, therefore, an earlier achievement of the potential effects of this medication on social functioning and the depletion of available recovery resources.
The analysis of the dynamics of the SQS and CRDPSS domains of positive symptoms during the stabilization phase after a schizophrenic episode with three different forms of paliperidone provided conflicting results. In the overall sample of patients receiving any dosage form of paliperidone, a decrease in the SQS “Positive Symptoms” domain was observed by visit 4. However, in the three compared groups, there was primarily either a slight decrease or fluctuations in the dynamics of the “Positive Symptoms” domains, and only in the PP1M group was there a statistically significant reduction in the “Positive Symptoms” category by visit 4.
A rapid and significant decrease was observed in the CRDPSS “Hallucinations” and “Delusions” domains in the overall sample by visit 2. However, in the individual observation groups, only the PP1M group showed a statistically significant reduction in the “Hallucinations” domain at visits 2, 3, 4, and 5 compared to the baseline, but with no significant differences between the visits.
No significant changes were observed in the “Delusions” domain in any of the observation categories. It should be noted that the concept of “positive symptoms” encompasses, in addition to hallucinations and delusions, associated features such as agitation, motor dysfunction, disorganized mental activity, and certain affective disturbances. Therefore, tracking changes in such a broad parameter as “positive symptoms” during stabilization and the establishment of remission is challenging and the dynamics of the domains of SQS from ICD-10 and CRDPSS from DSM-5 cannot fully align.
The slowing-down, cessation, or absence of positive dynamics in the CRDPSS “Hallucinations” and “Delusions” domains can be explained by the fact that the observational study was conducted in outpatient settings, where patients were in the process of entering remission of varying quality, with relatively minor fluctuations in the intensity of positive symptoms. Significant weakening of these symptoms was typically observed only in the first weeks or months, after which some kind of ceiling to further improvement was reached. The significant improvement in hallucinations in the PP1M group, in our view, is linked to the fact that, firstly, paliperidone has most often recently been prescribed in this group, which by itself brought about results and, secondly, unlike in the OP group, the medication was able to fully manifest its antipsychotic properties due to uninterrupted use. In contrast, patients in the PP3M group joined after prolonged treatment with PP1M, when the best antipsychotic effects of paliperidone had already been observed. The dispersion curves for “delusions” appear to be the least steep, reflecting the overall resistance to the treatment of delusional ideas, and particularly in the cases with residual delusions. In other words, during the treatment of an exacerbation, affective-delusional symptomatology and delusions as part of hallucinatory-paranoid syndrome rapidly improve. As for chronic interpretation delusions or residual delusional ideas during stabilization and remission, despite therapy, they may persist for many months, or even years, which, in our opinion, is reflected in the results of this study.
The positive dynamics of the dimensional assessment of negative symptoms, particularly pronounced in the CRDPSS “negative symptoms” domain in the overall sample and separately in the PP1M group, can be explained by the fact that reliable relapse prevention ensures a gradual reduction in negative symptoms. The differences observed between the two groups receiving long-acting dosage forms of paliperidone may be related to the fact that the PP3M group included patients with generally more persistent mental disorders, typical of continuous forms of schizophrenia. The reduction in negative symptoms is even more clearly observed using the NSA-4 scale, confirming paliperidone’s pronounced anti-deficit effect. The fact that the two groups, which received different dosage forms, experienced a similar reduction in the severity of negative symptoms shows that paliperidone not only has anti-deficit properties with minimal AEs on the cortical dopamine system, but also that through its anti-relapse effect, it creates the necessary conditions and, most importantly, provides enough time to engage resources for a natural restoration of the mental function.
Additionally, prolonged remission under well-monitored therapy creates conditions for the gradual alleviation of depression, which is especially noticeable in the OP group, where patients are first experiencing paliperidone therapy, often after treatment with atypical antipsychotics (AAPs) and with initially more pronounced depressive symptoms. The switch to paliperidone facilitates a recession of post-psychotic depression.
The CGI-S scale, which provides a physician’s global synthetic impression of disease severity, actually relies mainly on assessing the severity of psychotic symptoms, and, therefore, in this observation, it has a generally flat character, similar to the dynamics of positive symptoms on the SQS scale.
Treatment with long-acting dosage forms of paliperidone – PP1M and PP3M — was characterized by a higher completion rate, exceeding that of oral paliperidone by 2.5 times, and a significant difference in the mean treatment duration and the distribution of patients continuing medication (using statistical terminology, the “survival” of patients on therapy) in the groups receiving long-acting dosage forms of paliperidone (PP1M and PP3M). The main reason for the premature discontinuation by patients in the OP group was their transition to the long-acting dosage form of paliperidone — PP1M — based on the treating physician’s decision on therapeutic appropriateness or at the patient’s request.
It is particularly noteworthy that among the three therapy groups, the PP3M demonstrated the best adherence to the prescribed therapy regimen, included the highest number of patients who fully completed the study, and achieved an incidence of exacerbations or lack of efficacy equal to that of the other groups. This was despite the fact that the PP3M group included the highest number of patients with a continuous course of schizophrenia and, in total, more patients with more treatment-resistant forms of the disease, including continuous and episodic with progressive deficit (F20.00 + F20.01) — 46 patients in total (90.2%).
The use of paliperidone demonstrated not only the effectiveness, but also the safety of the therapy: no serious AEs were recorded in the patients, and any AEs that occurred were mild or moderate. No significant differences were found between the compared groups in terms of the overall frequency of AEs, their specific types, including AEs that led to exiting the study. The slightly more frequent occurrence of AEs, especially those newly identified, in the PO group can be explained by the fact that some patients were receiving paliperidone for the first time, meaning that AEs characteristic of the medication occurred early in their treatment. In contrast, patients in the PP1M and PP3M groups had previously been on paliperidone according to the instructions and shown at least satisfactory tolerability. Among the AEs in all three groups, the most common were mild EPS, weight gain, hyperprolactinemia, and its associated clinical manifestations. The good safety profile of all the forms of paliperidone is consistent with findings from other studies.
Limitations
This study was observational and attempted to tack as close as possible to real-world clinical practice. It was not blinded, did not involve randomization, and used straightforward inclusion criteria and the simplest tools to assess symptom severity. The observational design of the study led to selective inclusion in different observations. For example, in the OP group, half of the patients had never previously received paliperidone and more often included were cases with periodic forms of schizophrenia and shorter observation periods. In contrast, the PP3M group more frequently consisted of patients with continuous forms of schizophrenia, who typically experience more pronounced and persistent negative symptoms, consistently exhibit poorer social functioning, and, most importantly, lower sensitivity to any antipsychotic therapy. Such preferential selection may have influenced the lag in the dynamics of many scales for assessing positive and negative symptoms, and most notably, the social functioning indicators, which likely explains the slower dynamics in the parameters of the positive and negative symptom scales and, especially, the delayed recovery in social functioning.
The study design did not include a scale assessment for patients who withdrew from the observation, and during the analysis, imputation of missing data was not performed, because the goal of the study was to analyze the treatment characteristics in real-world clinical practice settings for patients who adhered to therapy throughout the observation period. However, the lack of accounting for data from the withdrawn patients could have led to distorted results due to a “survivorship bias,” where cases of unsuccessful therapy with premature discontinuation remain unexamined.
The observational nature of the study as well as its implementation in routine medical practice predetermined the limited sample size in each of the therapy dimension. While the total number of patients receiving different forms of paliperidone allowed for identifying general trends in the dynamics, the minimally acceptable sample size in each of the compared groups could have created conditions for a Type II error in inter-group comparisons.
The choice of brief psychometric scales, such as NSA-4, CRDPSS, and SQS, was also dictated by the observational design, within which the use of more reliable and precise, widely accepted, methods for quantitative assessment, common in RCTs, was challenging and beyond the scope of routine medical practice. The scales used were less accurate, limiting the possibilities of statistical analysis. This may be why statistically significant differences were not found between the samples of patients receiving different forms of paliperidone. However, it is likely that the extended observation period allowed us to obtain convincing, statistically significant differences in the dynamics of the general condition, specific psychopathological symptoms, and the level of social functioning.
CONCLUSION
In this 12-month observational study of the dynamics of psychosocial functioning and psychopathological symptoms in patients with paranoid schizophrenia who received three different dosage forms of paliperidone during their remission phase in real-world clinical practice settings, statistically significant and clinically meaningful improvements were detected in the overall mental state and specific schizophrenia symptom groups – positive, negative, depressive symptoms, and, especially, social functioning. Therapy with injectable dosage forms was characterized by a longer treatment duration and a higher frequency of completion of the observation period. Therapy with both oral and injectable paliperidone was well tolerated, and among the side effects, extrapyramidal symptoms, hyperprolactinemia and its clinical manifestations, increased appetite, and moderate weight gain predominated. These side effects generally align with those described in RCTs and listed in the instructions for the use of the drug.
Authors’ contribution: The authors made a significant contribution to the article.
Funding: This article was written with the support of Johnson & Johnson.
Conflict of interest: The authors declare no conflicts of interest.
Supplementary data
Supplementary material to this article can be found in the online version:
Table S1: https://doi.org/10.17816/CP15567-145421
Table S2: https://doi.org/10.17816/CP15567-145422
Table S3: https://doi.org/10.17816/CP15567-145423
Table S4: https://doi.org/10.17816/CP15567-145424
About the authors
Aleksandr M. Reznik
Mental-health Clinic No. 1 named after N.A. Alexeev; BIOTECH University; Mental-health Clinic No. 4 named after P.B. Gannushkin; Moscow Regional Mental-health Hospital No. 5
Author for correspondence.
Email: a.m.reznik1969@gmail.com
ORCID iD: 0000-0002-7076-5901
SPIN-code: 4955-8297
MD, Cand. Sci (Med.), Senior researcher; Head of the Department of Psychiatry; Psychiatrist
Russian Federation, Moscow; Moscow; Moscow; MoscowOlga A. Karpenko
Mental-health Clinic No. 1 named after N.A. Alexeev
Email: a.m.reznik1969@gmail.com
ORCID iD: 0000-0002-0958-0596
SPIN-code: 9600-0688
Scopus Author ID: 56654984500
MD, Cand.Sci (Med.), Assistant professor, The head of scientific collaborations department
Russian Federation, MoscowElena A. Shumakova
Mental-health Clinic No. 4 named after P.B. Gannushkin
Email: a.m.reznik1969@gmail.com
ORCID iD: 0000-0002-6871-1293
SPIN-code: 9145-1965
Рsychiatrist
Russian Federation, MoscowAleksandr V. Mudrak
Mental-health Clinic No. 1 named after N.A. Alexeev, Moscow
Email: a.m.reznik1969@gmail.com
ORCID iD: 0000-0003-1315-516X
SPIN-code: 2735-6350
Psychiatrist
Russian Federation, MoscowAndrey V. Sokolov
Mental-health Clinic No. 1 named after N.A. Alexeev
Email: a.m.reznik1969@gmail.com
ORCID iD: 0000-0001-8548-403X
Psychiatrist, Head of Day patient facility of First psychotic episode clinic
Russian Federation, MoscowSvetlana V. Nazimova
BIOTECH University; Mental Health Research Center
Email: a.m.reznik1969@gmail.com
SPIN-code: 2791-3270
MD, Cand. Sci (Med.), psychiatrist, Head of psychiatric department; Lecturer at the Department of Psychiatry
Russian Federation, Moscow; MoscowAlina M. Saifulina
Clinic of Psychiatry and Psychotherapy “Mindset”
Email: a.m.reznik1969@gmail.com
ORCID iD: 0000-0002-5867-7116
Psychiatrist
Russian Federation, MoscowAnton M. Eliseenko
Mental health clinic “Empathy”
Email: a.m.reznik1969@gmail.com
ORCID iD: 0000-0003-4148-3216
Psychiatrist
Russian Federation, MoscowTatjana K. Matvievskaya
Mental-health Clinic No. 4 named after P.B. Gannushkin
Email: a.m.reznik1969@gmail.com
Psychiatrist
Russian Federation, MoscowAngelina N. Khannanova
BIOTECH University; Mental-health Clinic No. 4 named after P.B. Gannushkin; Lomonosov Moscow State University
Email: a.m.reznik1969@gmail.com
ORCID iD: 0000-0002-5765-2259
SPIN-code: 7247-6175
MD, Cand. Sci (Med.), Deputy Chief Physician for Clinical and Expert Work; Associate Professor, Department of Psychiatry
Russian Federation, Moscow; Moscow; MoscowVladimir I. Revenko
BIOTECH University; Moscow Regional Mental-health Hospital No. 5
Email: a.m.reznik1969@gmail.com
Psychiatrist
Russian Federation, Moscow; MoscowDmitriy V. Scherbakov
Mental-health Clinic No. 4 named after P.B. Gannushkin
Email: a.m.reznik1969@gmail.com
ORCID iD: 0000-0002-4182-4079
MD, Cand. Sci (Med.), psychiatrist, Head of psychiatric outpatient dispensary № 17
Russian Federation, MoscowYuriy L. Martynyuk
Mental-health Clinic No. 4 named after P.B. Gannushkin
Email: a.m.reznik1969@gmail.com
MD, Cand.Sci (Med.), Psychiatrist, Head of the daycare patient centre, Psychiatric outpatient dispensary № 17
Russian Federation, MoscowAleksandr L. Arbuzov
BIOTECH University; Moscow Regional Mental-health Hospital No. 5
Email: a.m.reznik1969@gmail.com
ORCID iD: 0000-0001-8940-9299
SPIN-code: 7592-3971
MD, Cand. Sci (Med.), Psychiatrist, Head of psychiatric department; Associate Professor, Department of Psychiatry
Russian Federation, Moscow; MoscowOleg A. Yacenko
BIOTECH University
Email: a.m.reznik1969@gmail.com
ORCID iD: 0009-0003-0583-6966
SPIN-code: 1468-4624
MD, Cand. Sci (Med.), Assistant professor, Department of healthcare organization
Russian Federation, MoscowPolina N. Alekseeva
Mental-health Clinic No. 1 named after N.A. Alexeev
Email: a.m.reznik1969@gmail.com
ORCID iD: 0000-0002-4674-2718
SPIN-code: 2410-9292
Psychiatrist
Russian Federation, MoscowAleksandr B. Berdalin
Mental-health Clinic No. 1 named after N.A. Alexeev
Email: a.m.reznik1969@gmail.com
ORCID iD: 0000-0001-5387-4367
SPIN-code: 3681-6911
MD, Cand. Sci (Med.), biostatistician
Russian Federation, MoscowLarisa A. Burygina
Mental-health Clinic No. 4 named after P.B. Gannushkin
Email: a.m.reznik1969@gmail.com
ORCID iD: 0000-0002-2613-8783
SPIN-code: 9386-4467
MD, Cand. Sci. (Med.), Psychiatrist
Russian Federation, MoscowReferences
- Kurmyshev MV, Zaytseva MS, Kuzmenko AYu, et al. [The use of long acting antipsychotics in outpatient care]. Zhurnal nevrologii I psikhiatrii im. S.S. Korsakova. 2020;120(62):77-81. Russian. doi: 10.17116/jnevro202012006277
- Correll CU, Citrome L, Haddad PM, et al. The Use of Long-Acting Injectable Antipsychotics in Schizophrenia: Evaluating the Evidence. J Clin Psychiatry, 2016;77(suppl 3):1-24. doi: 10.4088/JCP.15032su1
- Fang SC, Liao DL, Huang CY, et al. The effectiveness of long- acting injectable antipsychotics versus oral antipsychotics in the maintenance treatment of outpatients with chronic schizophrenia. Human Psychopharmacol. 2020;35(3):e2729. doi: 10.1002/hup.2729
- Kane JM, Schooler NR, Marcy P, et al. Effect of Long-Acting Injectable Antipsychotics vs Usual Care on Time to First Hospitalization in Early-Phase Schizophrenia: A Randomized Clinical Trial. JAMA Psychiatry. 2020;77(12):1217-1224. doi: 10.1001/jamapsychiatry.2020.2076
- Lin CH, Chen FC, Chan HY, et al. Time to Rehospitalization in Patients With Schizophrenia Receiving Long-Acting Injectable Antipsychotics or Oral Antipsychotics. Int J Neuropsychopharmacol. 2019;22(9):541-547. doi: 10.1093/ijnp/pyz035
- Lin CH, Chen FC, Chan, HY, et al. A Comparison of Long-Acting Injectable Antipsychotics with Oral Antipsychotics on Time to Rehospitalization Within 1 Year of Discharge in Elderly Patients with Schizophrenia. Am J Geriatr Psychiatry. 2020;28(1):23-30. doi: 10.1016/j.jagp.2019.08.005
- Magliocco F, de Filippis R, Aloi M, et al. Second-generation long- acting injections anti-psychotics improve executive functions in patients with schizophrenia: a 12-month real-world study. Int J Psychiatry Clin Pract. 2020;24(2):201-207. doi: 10.1080/13651501.2020.1737134
- Maestri TJ, Mican LM, Rozea H, et al. Do Long-Acting Injectable Antipsychotics Prevent or Delay Hospital Readmission? Psychopharmacol Bull. 2018;48(3):8-15.
- Medrano S, Abdel-Baki A, Stip E, et al. Three-Year Naturalistic Study On Early Use Of Long-Acting Injectable Antipsychotics In First Episode Psychosis. Psychopharmacol Bull. 2018;48(4):25-61.
- Olayinka O, Oyelakin A, Cherukupally K, et al. Use of Long-Acting Injectable Antipsychotic in an Inpatient Unit of a Community Teaching Hospital. Psychiatry J. 2019;2019:8629030 doi: 10.1155/2019/8629030
- Shah A, Xie L, Kariburyo F, et al. Treatment Patterns, Healthcare Resource Utilization and Costs Among Schizophrenia Patients Treated with Long-Acting Injectable Versus Oral Antipsychotics. Adv Ther. 2018;35(11):1994-2014. doi: 10.1007/s12325-018-0786-x
- Teitelbaum A, Kodesh A. [Long-acting injectable antipsychotics in schizophrenia]. Harefuah. 2019;158(7):453-457. Hebrew.
- Berezantsev AYu, Burygina LA, Levin ME. [Some current trends in the use of prolonged injectable antipsychotics in the conditions of modernization of the psychiatric service]. Zhurnal nevrologii i psikhiatrii im. S.S. Korsakova. 2020;120(62):61-67. Russian. doi: 10.17116/jnevro202012006261
- Burygina LA, Grigorieva DD, Golubev SA, et al. [Clinical and social characteristics, quality of life, adherence to therapy in IPA patients with schizophrenia spectrum disorders: a crosssectional study]. Psihiatriya. 2023;21(24):27-41. Russian doi: 10.30629/2618-6667-2023-21-4-27-41
- Kostyuk GP, Kurmyshev MV, Zajceva MS, et al. [Long-acting risperidone: analysis of 24 months of therapy in patients with frequent hospitalizations]. Social’naya i klinicheskaya psihiatriya. 2017;24(4):53-58. Russian.
- Lyubov EB, Chapurin SA, Churilin YuYu, et al. [Clinical, social and economic effectiveness of paliperidone palmitate in patients with the first episode of schizophrenia]. Social’naya i klinicheskaya psihiatriya. 2019;29(1):60-72. Russian.
- Joo SW, Shon SH, Choi G, et al. Continuation of schizophrenia treatment with three long-acting injectable antipsychotics in South Korea: A nationwide population-based study. Eur Neuropsychopharmacol. 2019;29(9):1051-1060. doi: 10.1016/j.euroneuro.2019.07.138
- Marcus SC, Zummo J, Pettit AR, et al. Antipsychotic Adherence and Rehospitalization in Schizophrenia Patients Receiving Oral Versus Long-Acting Injectable Antipsychotics Following Hospital Discharge. J Manag Care Spec Pharm. 2015;21(9):754-768. doi: 10.18553/jmcp.2015.21.9.754
- Miura G, Misawa F, Kawade Y, et al. Long-Acting Injectables Versus Oral Antipsychotics: A Retrospective Bidirectional Mirror-Image Study. J Clin Psychopharmacol. 2019;39(5):441-445. doi: 10.1097/JCP.0000000000001082
- Olfson M, Marcus SC, Ascher-Svanum H. Treatment of schizophrenia with long-acting fluphenazine, haloperidol, or risperidone. Schizophr Bull. 2007;33(6):1379-1387. doi: 10.1093/schbul/sbm033
- Rubio JM, Taipale H, Correll CU, et al. Psychosis breakthrough on antipsychotic maintenance: results from a nationwide study. Psychol Med. 2020;50(8):1356-1367. doi: 10.1017/S0033291719001296
- Weiser M, Davis JM, Brown CH, et al. Differences in Antipsychotic Treatment Discontinuation Among Veterans with Schizophrenia in the U.S. Department of Veterans Affairs. Am J Psychiatry. 2021;178(10):932-940. doi: 10.1176/appi.ajp.2020.20111657
- Alphs L, Bossie CA, Sliwa JK, et al. Onset of efficacy with acute long-acting injectable paliperidone palmitate treatment in markedly to severely ill patients with schizophrenia: post hoc analysis of a randomized, double-blind clinical trial. Ann Gen Psychiatry. 2011;10(1):12. doi: 10.1186/1744-859X-10-12
- Bossie CA, Sliwa JK, Ma YW, et al. Onset of efficacy and tolerability following the initiation dosing of long-acting paliperidone palmitate: post-hoc analyses of a randomized, double-blind clinical trial. BMC Psychiatry. 2011;11:79. doi: 10.1186/1471-244X-11-79
- Bozzatello P, Bellino S, Mancini I, et al. Effects on Satisfaction and Service Engagement of Paliperidone Palmitate Compared with Oral Paliperidone in Patients with Schizophrenia: An Open Label Randomized Controlled Trial. Clin Drug Investig. 2019;39(2):169-178. doi: 10.1007/s40261-018-0734-1
- Brown B, Turkoz I, Mancevski B, et al. Evaluation of paliperidone palmitate long-acting injectable antipsychotic therapy as an early treatment option in patients with schizophrenia. Early Interv Psychiatry. 2020;14(4):428-438. doi: 10.1111/eip.12868
- Cai Q, Patel C, Kim E, et al. Factors Associated with the Initiation of Long-Acting Injectable Paliperidone Palmitate Versus Aripiprazole Among Medicaid Patients with Schizophrenia: An Observational Study. Adv Ther. 2019;36(4):858-869. doi: 10.1007/s12325-019-00913-w
- Carpiniello B, Pinna F. Critical appraisal of 3-monthly paliperidone depot injections in the treatment of schizophrenia. Drug Des Devel Ther. 2016;10:1731-1742. doi: 10.2147/DDDT.S86301
- Fernandez-Miranda JJ, Diaz-Fernandez S, De Berardis D, et al. Paliperidone Palmitate Every Three Months (PP3M) 2-Year Treatment Compliance, Effectiveness and Satisfaction Compared with Paliperidone Palmitate-Monthly (PP1M) in People with Severe Schizophrenia. J Clin Med. 2021;10(7):1408. doi: 10.3390/jcm10071408
- Garcia-Carmona JA, Simal-Aguado J, Campos-Navarro MP, et al. Evaluation of long-acting injectable antipsychotics with the corresponding oral formulation in a cohort of patients with schizophrenia: a real-world study in Spain. Int Clin Psychopharmacol. 2021;36(1):18-24. doi: 10.1097/YIC.0000000000000339
- Gutiérrez-Rojas L, Sanchez-Alonso S, Garcia Dorado M, et al. Impact of 3-Monthly Long-Acting Injectable Paliperidone Palmitate in Schizophrenia: A Retrospective, Real-World Analysis of PopulationBased Health Records in Spain. CNS Drugs. 2022;36(5):517-527. doi: 10.1007/s40263-022-00917-1
- Kishimoto T, Hagi K, Kurokawa S, et al. Long-acting injectable versus oral antipsychotics for the maintenance treatment of schizophrenia: a systematic review and comparative meta-analysis of randomised, cohort, and pre-post studies. Lancet Psychiatry. 2021;8(5):387-404. doi: 10.1016/S2215-0366(21)00039-0
- Marti'nez-Andrés JA, Garcia-Carmona JA. Switching from clozapine to paliperidone palmitate-3-monthly improved obesity, hyperglycemia and dyslipidemia lowering antipsychotic dose equivalents in a treatment-resistant schizophrenia cohort. Int Clin Psychopharmacol. 2020;35(3):163-169. doi: 10.1097/YIC.0000000000000300
- Najarian D, Sanga P, Wang S, et al. A Randomized, Double-Blind, Multicenter, Noninferiority Study Comparing Paliperidone Palmitate 6-Month Versus the 3-Month Long-Acting Injectable in Patients With Schizophrenia. Int J Neuropsychopharmacol. 2022;25(3);238-251. doi: 10.1093/ijnp/pyab071
- Petrie D, Racki V, Gaco N, et al. Retrospective Analysis of the Effectiveness and Tolerability of Long-Acting Paliperidone Palmitate Antipsychotic in Adolescent First-Episode Schizophrenia Patients. J Child Adolesc Psychopharmacol. 2019;29(3):197-204. doi: 10.1089/cap.2018.0044
- Saglam Aykut D. Comparison of Paliperidone Palmitate and Second-Generation Oral Antipsychotics in Terms of Medication Adherence, Side Effects, and Quality of Life. J Clin Psychopharmacol. 2019;39(1):57-62. doi: 10.1097/JCP.0000000000000993
- Segarra R, Recio-Barbero M, Saenz-Herrero M, et al. Oral and Palmitate Paliperidone Long-Acting Injectable Formulations’ Use in Schizophrenia Spectrum Disorders: A Retrospective Cohort Study from the First Episode Psychosis Intervention Program (CRUPEP). Int J Neuropsychopharmacol. 2021;24(9):694-702. doi: 10.1093/ijnp/pyab021
- Schneider-Thoma J, Chalkou K, Dörries C, et al. Comparative efficacy and tolerability of 32 oral and long-acting injectable antipsychotics for the maintenance treatment of adults with schizophrenia: a systematic review and network meta-analysis. Lancet. 2022;399(10327):824-836. doi: 10.1016/S0140-6736(21)01997-8
- Alphs L, Bossie CA, Fu DJ, et al. Onset and persistence of efficacy by symptom domain with long-acting injectable paliperidone palmitate in patients with schizophrenia. Expert Opin Pharmacother. 2014;15(7):1029-1042. doi: 10.1517/14656566.2014.909409
- Kim S, Kim S, Koh M, et al. Effects of Long-Acting Injectable Paliperidone Palmitate on Clinical and Functional Outcomes in Patients With Schizophrenia Based on Illness Duration. J Clin Psychiatry 2021;82(1):20m13446. doi: 10.4088/JCP.20m13446
- Savitz AJ, Xu H, Gopal S, et al. Paliperidone palmitate 3-month treatment results in symptomatic remission in patients with schizophrenia: a randomized, multicenter, double-blind, and noninferiority study. Int Clin Psychopharmacol. 2017;32(6):329-336. doi: 10.1097/YIC.0000000000000190
- Kane JM, Kishimoto T, Correll CU. Assessing the comparative effectiveness of long-acting injectable vs. oral antipsychotic medications in the prevention of relapse provides a case study in comparative effectiveness research in psychiatry. J Clin Epidemiol. 2013;66(8 Suppl):S37-S41. doi: 10.1016/j.jclinepi.2013.01.012
- Basu A, Benson C, Alphs L. Projecting the Potential Effect of Using Paliperidone Palmitate Once-Monthly and Once-Every-3- Months Long-Acting Injections Among Medicaid Beneficiaries with Schizophrenia. J Manag Care Spec Pharm. 2018;24(8):759-768. doi: 10.18553/jmcp.2018.24.8.759
- Bell Lynum KS, Turkoz I, Kim E. Paliperidone palmitate once-every- 3-months in adults with early illness schizophrenia. Early Interv Psychiatry. 2019;13(3):667-672. doi: 10.1111/eip.12685
- Berwaerts J, Liu Y, Gopal S, et al. Efficacy and Safety of the 3-Month Formulation of Paliperidone Palmitate vs Placebo for Relapse Prevention of Schizophrenia: A Randomized Clinical Trial. JAMA Psychiatry. 2015;72(8):830-839. doi: 10.1001/jamapsychiatry.2015.0241
- Brasso C, Bellino S, Bozzatello P, et al. Role of 3-monthly long-acting injectable paliperidone in the maintenance of schizophrenia. Neuropsychiatr Dis Treat. 2017;13:2767-2779. doi: 10.2147/NDT.S150568
- Huhn M, Nikolakopoulou A, Schneider-Thoma J, et al. Comparative efficacy and tolerability of 32 oral antipsychotics for the acute treatment of adults with multi-episode schizophrenia: a systematic review and network meta-analysis. Lancet. 2019;394(10202):939-951. doi: 10.1016/S0140-6736(19)31135-3
- Weiden PJ, Kim E, Bermak J, et al. Does Half-Life Matter After Antipsychotic Discontinuation? A Relapse Comparison in Schizophrenia With 3 Different Formulations of Paliperidone. J Clin Psychiatry. 2017;78(7):e813-e820. doi: 10.4088/JCP.16m11308
- Marder SR, Davis J M, Chouinard G. The effects of risperidone on the five dimensions of schizophrenia derived by factor analysis: combined results of the North American trials. J Clin Psychiatry. 1997;58(12):538-546. doi: 10.4088/jcp.v58n1205
- Nash AI, Turkoz I, Savitz AJ, et al. Predictors of achieving remission in schizophrenia patients treated with paliperidone palmitate 3-month formulation. Neuropsychiatr Dis Treat. 2019;15:731-737. doi: 10.2147/NDT.S194264
- Mathews M, Nuamah I, Savitz AJ, et al. Time to onset and time to resolution of extrapyramidal symptoms in patients with exacerbated schizophrenia treated with 3-monthly vs once- monthly paliperidone palmitate. Neuropsychiatr Disease Treat. 2018;14:2807-2816. doi: 10.2147/NDT.S175364
- Garcia-Portilla MP, Llorca PM, Maina G, et al. Symptomatic and functional outcomes after treatment with paliperidone palmitate 3-month formulation for 52 weeks in patients with clinically stable schizophrenia. Ther Adv Psychopharmacol. 2020;10:2045125320926347. doi: 10.1177/2045125320926347
- Garcia-Portilla MP, Benito Ruiz A, Gômez Robina F, et al. Impact on functionality of the paliperidone palmitate three- month formulation in patients with a recent diagnosis of schizophrenia: a real-world observational prospective study. Expert Opin Pharmacother. 2022;23(5):629-638. doi: 10.1080/14656566.2021.2023496
- Emond B, Joshi K, Khoury ACE, et al. Adherence, Healthcare Resource Utilization, and Costs in Medicaid Beneficiaries with Schizophrenia Transitioning from Once-Monthly to Once- Every-3-Months Paliperidone Palmitate. Pharmacoecon Open. 2019;3(2):177-188. doi: 10.1007/s41669-018-0089-9
- Joshi K, Muser E, Xu Y, et al. Adherence and economic impact of paliperidone palmitate versus oral atypical antipsychotics in a Medicare population. J Comp Eff Res. 2018;7(8):723-735. doi: 10.2217/cer-2018-0003
- Stahl S. Long-acting injectable antipsychotics: Shall the last be first? CNS Spectr. 2014;19(1):3-5. doi: 10.1017/S1092852913001016
- Morosini PL, Magliano L, Brambilla L, et al. Development, reliability and acceptability of a new version of the DSM-IV Social and Occupational Functioning Assessment Scale (SOFAS) to assess routine social functioning. Acta Psychiatr Scand. 2020;101(4):323-329.
- Opler M, Fu DJ. Comments on the scoring guideline of the personal and social performance scale (PSP). Schizophr Res. 2014;152(1):304. doi: 10.1016/j.schres.2013.10.039
- Nafees B, van Hanswijck de Jonge P, Stull D, et al. Reliability and validity of the Personal and Social Performance scale in patients with schizophrenia. Schizophr Res. 2012:140(1-3):71-76. doi: 10.1016/j.schres.2012.06.013
- Lee SC, Tang SF, Lu WS, et al. Minimal detectable change of the Personal and Social Performance scale in individuals with schizophrenia. Psychiatry Res. 2016;246:725-729. doi: 10.1016/j.psychres.2016.10.058
- Jelastopulu E, Giourou E, Merekoulias G, et al. Correlation between the Personal and Social Performance scale (PSP) and the Positive and Negative Syndrome Scale (PANSS) in a Greek sample of patients with schizophrenia. BMC Psychiatry. 2014;14:197. doi: 10.1186/1471-244X-14-197
- Diagnostic and Statistical Manual of Mental Disorders. 5th ed. Arlington: American Psychiatric Publishing; 2013. p. 743-744.
- Diagnostic and Statistical Manual of Mental Disorders. 5th ed, text revision. Washington: American Psychiatric Publishing; 2022.
- First MB. Diagnostic and statistical manual of mental disorders, 5th edition, and clinical utility. J Nerv Ment Dis. 2013;201(9):727-729. doi: 10.1097/NMD.0b013e3182a2168a
- First MB, Gaebel W, Maj M, et al. An organization- and categorylevel comparison of diagnostic requirements for mental disorders in ICD-11 and DSM-5. World Psychiatry. 2021;20(1):34-51. doi: 10.1002/wps.20825
- Berendsen S, van der Veen NM, van Tricht MJ, et al. Psychometric properties of the DSM-5 Clinician-Rated Dimensions of Psychosis Symptom Severity. Schizophr Res. 2020;216:416-421. doi: 10.1016/j.schres.2019.10.059
- Liemburg E, Nienhuis F, Veling W. M95. DSM-5 Clinician-Rated Dimensions of Psychosis Symptom Severity: Psychometric Properties. Schizophr Bull. 2020;46(Suppl 1):S170-S171. doi: 10.1093/schbul/sbaa030.407
- Jeong JH, Kim SW, Lee BJ, et al. The factor structure and clinical utility of clinician-rated dimensions of psychosis symptom severity in patients with recent-onset psychosis: Results of a 1-year longitudinal follow-up prospective cohort study. Psychiatry Res. 2022;310:114420. doi: 10.1016/j.psychres.2022.114420
- Keeley JW, Gaebel W. Symptom rating scales for schizophrenia and other primary psychotic disorders in ICD-11. Epidemiol Psychiatr Sci. 2018;27(3):219-224. doi: 10.1017/S2045796017000270
- Guy W. Clinical Global Impressions. In: ECDEU Assessment Manual for Psychopharmacology: Revised, 1976. Rockville: U.S. Department of Health, Education and Welfare, et al; 1976. p. 217-222.
- Berk M, Ng F, Dodd S, et al. The validity of the CGI severity and improvement scales as measures of clinical effectiveness suitable for routine clinical use. J Eval Clin Pract. 2008;14(6):979-983. doi: 10.1111/j.1365-2753.2007.00921.x
- Dunlop BW, Gray J, Rapaport MH. Transdiagnostic Clinical Global Impression Scoring for Routine Clinical Settings. Behav Sci (Basel). 2017;7(3):40. doi: 10.3390/bs7030040
- Alphs LD, Summerfelt A, Lann H, et al. The negative symptom assessment: a new instrument to assess negative symptoms of schizophrenia. Psychopharmacol Bull. 1989;25(2):159-163.
- Axelrod BN, Goldman RS, Alphs LD. Validation of the 16-item Negative Symptom Assessment. J Psychiatr Res. 1993;27(3):253-258. doi: 10.1016/0022-3956(93)90036-2
- Alphs L, Morlock R, Coon C, et al. The 4-Item Negative Symptom Assessment (NSA-4) Instrument: A Simple Tool for Evaluating Negative Symptoms in Schizophrenia Following Brief Training. Psychiatry (Edgmont). 2010;7(7):26-32.
Supplementary files








