Basalts of the riphean sequence of the Bashkir meganticlinorium (southern Ural): new 147Sm-143Nd and Rb-Sr ID-TIMS isotopic constrains
- Authors: Puchkov V.N.1, Ronkin Y.L.1, Sergeeva N.D.2
-
Affiliations:
- Institute of Geology and Geochemistry, Ural Branch of the Russian Academy of Sciences
- Institute of Geology, Ufa Federal Research Center of the Russian Academy of Sciences
- Issue: Vol 518, No 1 (2024)
- Pages: 85-96
- Section: PETROLOGY
- Submitted: 20.01.2025
- Accepted: 20.01.2025
- Published: 15.09.2024
- URL: https://journals.rcsi.science/2686-7397/article/view/277479
- DOI: https://doi.org/10.31857/S2686739724090098
- ID: 277479
Cite item
Full Text
Abstract
The first results of 147Sm-143Nd and Rb-Sr ID-TIMS isotope-geochronological comparative study of twelve samples of volcanic rocks of the Bashkir meganticlinorium are presented, for which U-Pb SHRIMP-II dating was previously carried out using zircons extracted from these samples, which revealed the dominance of Paleozoic ages among three event-stratigraphic levels in the Riphean of the Southern Urals. New 147Sm-143Nd and Rb-Sr ID-TIMS isotope data showed that the evolution of volcanics occurred as a result of crust-mantle interaction. In the Taratash anticlinorium, Nd model ages (TDM) of 2302–2540 Ma) of volcanics are regarded as the ages of the protolith, characterized by εNd(t) values: from –17.4 to –20.5. In the Yamantau anticlinorium, the TDM value (2033 Ma) of Paleozoic volcanics indicates a younger (Paleoproterozoic) substrate. Minimum Nd model ages (TDM = 1160–1233 Ma) were determined for Paleozoic volcanics spatially associated with metabasalts of the Igonino magmatic event (707–732 Ma) in the Tirlyanskaya syncline. The lowest values of εNd(t) (–3.2, –0.9, –0.7), indicating a decrease in the proportion of the crustal component relative to the mantle material, were obtained in Paleozoic metabasalts in the Tirlyanskaya syncline on the eastern wing of the Bashkir meganticlinorium, which may be due to activation of plume processes in the East of the folded mountain structure. Thus, Rb–Sr and 147Sm-143Nd ID-TIMS isotope systematics of the studied volcanics make it possible to expand the understanding of mantle-crustal phenomena within three event-stratigraphic levels of the Riphean of the Southern Urals.
Full Text
ВВЕДЕНИЕ
О значительном развитии палеозойских магматических (вулканических) процессов в поле развития рифейских толщ на Южном Урале свидетельствует появление большого количества соответствующих U–Pb SHRIMP-II датировок по циркону из магматических пород, считавшихся ранее докембрийскими [1]. Было установлено [1–3], что вулканиты навышского комплекса, объединяющие нижнерифейские (1750 млн лет) и палеозойские (450 млн лет) образования, различаются и по минералогическим, и по геохимическим (U, Th, РЗЭ) свойствам, подтверждая полихронную систему комплекса и гетерогенность первичных источников. Та же ситуация отмечена для машакского (средний рифей) и игонинского (завершающий рифей) вулканогенных комплексов. Неоднократное проявление во временном интервале от 1752 до 450 млн лет магматизма (вулканизма) в Башкирском мегантиклинории на Южном Урале, согласно представлениям [1], могло быть обусловлено повторяющимися плюмовыми процессами, которые вызывали повторное плавление магматических очагов.
Как видно из табл. 1, в некоторых образцах по циркону получен только U–Pb SHRIMP-II палеозойский возраст, а в части проб наряду с этими значениями присутствуют и более древние датировки. Существуют особенности и в характере распространения палеозойских базальтоидов (рис. 1): на западном крыле Башкирского магантиклинория в Тараташском антиклинории по р. Ушат (пробы П-16, П-17, П-19 и П-103, см. рис. 1) палеозойские метабазальты находятся в полосе распространения осадочных (песчаники и конгломераты) отложений нижней (навышской) подсвиты айской свиты нижнего рифея, а в районах гор Большой и Малый Миасс (пробы: П-10, П-63, П-88, П-90) - среди вулканогенных пород навышской подсвиты (см. рис. 1). На восточном крыле Башкирского мегантиклинория в Ямантауском антиклинории палеозойские метабазальты (проба П-13, см. рис. 1) расположены в поле развития вулканитов машакской свиты среднего рифея, а в Тирлянской синклинали (П-33, П-34, П-59, см. рис. 1) – среди игонинских вулканитов завершающего (терминального) рифея. Непосредственного контакта палеозойских вулканогенных образований с вмещающими породами в перечисленных обнажениях не наблюдалось. Для уточнения представлений о плюмовом характере палеозойского магматизма (вулканизма), продукты которого распространены в поле развития осадочно-вулканогенных образований рифея Башкирского мегантиклинория, проведено изучение Rb–Sr- и 147Sm‒143Nd (ID-TIMS) изотопных систематик палеозойских вулканитов.
Таблица 1. Список изученных проб, координаты мест отбора и гистограммы U–Pb SHRIMP-II конкордантых возрастов циркона из вулканогенных образований Башкирского мегантиклинория
Примечание. * ‒ пересчитанные данные из [1–3]. Стратиграфические индексы: RF — рифей: RF1 — нижний (бурзяний), RF2 — средний (юрматиний), RF4 — завершающий,или терминальный (аршиний). Свиты: ai — айская, ms — машакская, ig — игонинская. Колонка “U–Pb конкордантный возраст*…” содержит гистограммы плотностей вероятности [4]. Оси: абсциссы – возраст (млн лет); ординаты – количество изученных кристаллов циркона.
Рис. 1. Геологическая карта (А) и сводный разрез верхнего докембрия (Б) Башкирского мегантиклинория [5]. 1—8 нерасчленённые отложения: 1 — палеозоя, 2 — венда; 3–8 — рифея: 3 —завершающего, 4 — верхнего, 5 — среднего; 6 — машакской и кувашской свит среднего рифея; 7 — нижнего; 8 — айской и большеинзерской свит нижнего рифея; 9 — тараташский комплекс (AR-PR1); 10 — вулканогенные породы основного состава; 11 — метаморфический комплекс Уралтау; 12 — габбродолериты (а) и граниты (б); 13 — границы: стратиграфические; 14 — тектонические нарушения: надвиги, разломы; 15 — автомагистрали; 16 — железные дороги; 17 — местоположение обнажений, из которых отбирались образцы, изученные в этой работе; 18 — номера образцов. Возрастные рубежи (последняя колонка на вкладке) [5] и 1030* [6].
МЕТОДЫ ИССЛЕДОВАНИЯ
Химический состав изученных вулканогенных пород, распространённых в полосе развития осадочно-вулканогенных образований рифея Башкирского мегантиклинория, определялся в аналитической лаборатории Института геологии Уфимского федерального исследовательского центра РАН, методом RFA, на сканирующем спектрометре VRA-30 Carl Zeiss AG.
Определение концентраций Rb, Sr, Sm, Nd и отношений 87Rb/86Sr, 87Sr/86Sr, 147Sm/144Nd, 143Nd/144Nd осуществлялось масс-спектрометрическим методом изотопного разбавления (ID), предусматривающим кислотное разложение смеси исходного образца со смешанными спайками 85Rb + 84Sr, 149Sm + 150Nd, ионообменную хроматографию и последующий анализ результирующих реагентов с помощью мультиколлекторного твердофазного масс-спектрометра Triton (TIMS) в статическом режиме. Для оптимизации параметров изотопного разбавления, производилось предварительное измерение содержаний Rb, Sr, Sm и Nd методом HR/ICP-MS. Более подробное описание аналитических процедур приведено в [7].
ПЕТРОХИМИЧЕСКИЕ ОСОБЕННОСТИ ИЗУЧЕННЫХ ВУЛКАНОГЕННЫХ ОБРАЗОВАНИЙ
Вулканиты, для которых были получены по циркону U–Pb SHRIMP-II методом датировки, в том числе, палеозойские (см. табл. 1), расположены в поле развития рифейских толщ Башкирского мегантиклинория в пределах Тараташского и Ямантауского антиклинориев и Тирлянской синклинали (см. рис. 1).
В Тараташском антиклинории в области развития отложений айской свиты нижнего рифея вулканиты (образцы П-16, П-17, П-19, П-103, П-10, П-63, П-88, П-90) представлены пироксен-плагиоклазовыми метатрахибазальтами и плагиоклазовыми метатрахидолерито-базальтами с миндалекаменной и флюидальной текстурами соответственно. Основными минералами являются: плагиоклаз (от 50–55% до 58%) с ортоклазовой составляющей, альбитизированным и неравномерно калишпатизированым; клинопироксеном (от 15–18% до 25%), неравномерно замещённым хлоритом и реже эпидотом; основная ткань (12–15%), хлоритизированная с неравномерно замутнённым лейкоксенизированным титанистым (микровключения сфена и ильменита) минералом (10–12%) и карбонатом. В породе присутствуют оливин (3–5 %), замещённый хлоритом и магнетитом; кремнистый материал и мелкозернистый кварц, выполняющий тонкие (около 0.05 мм) извилистые прожилки.
В Ямантауском антиклинории на западном склоне хр. Большой Шатак в урочище Матвеев Залавок (проба П-13) метабазальты, сопряжённые с вулканитами машакского магматического комплекса среднего рифея, в значительной степени хлоритизированы, эпидотизированы и амфиболитизированы.
В Тирлянской синклинали по р. Аша в районе горы Игонин Камень (П-33) и по руч. Половинный в районе горы Крутой (П-34) в полосе распространения игонинских метабазальтов терминального рифея присутствуют палеозойские метабазальты, с ориентированной или миндалекаменной и флюидальной текстурами. Преобладающие минералы, альбитизированный плагиоклаз (48–50%) и основная ткань (50–52%), хлоритизированы, серицитизированы, иногда ожелезнены. Основная масса метабазальтов сложена микрозёрнами альбита, эпидота, кварца, хлорита и серицита. В вулканитах присутствует лавобрекчия (проба П-59, правый берег р. Белая в 14.5 км северо-восточнее пос. Тирлян) с литокластической и агломератовой структурой. Лавобрекчия состоит из оплавленных обломков лавы базальтового состава, которые цементируются также лавой, состоящей из хлоритизированной основной массы с микровключениями лейкосенизированного сфена и пластинчатого ильменита.
По химическому составу (табл. 2) вулканиты, расположенные в поле развития отложений айской свиты нижнего рифея Тараташского антиклинория, на диаграмме TAS (рис. 2) соответствуют трахибазальтам, и единичные образцы отвечают щелочным пикро-базальтам (П-103). Вулканиты, распространённые в Ямантауском антиклинории среди изверженных пород машакской свиты среднего рифея, занимают на диаграмме TAS (см. рис. 2) поле базальтов нормального щелочного ряда. Среди метабазальтов игонинской свиты в Тирлянской синклинали вулканиты локализуются на диаграмме TAS в поле базальтов, трахибазальтов и андезито-базальтов (П-34).
Таблица 2. Химический состав (вес. %) изученных вулканогенных пород, распространённых в полосе развития осадочно-вулканогенных образований рифея Башкирского мегантиклинория.
№ п/п | № пробы | SiO2 | TiO2 | Al2O3 | Fe2O3 | FeO | MnO | CaO | MgO | Na2O | K2O | P2O5 | ппп | Сумма |
Тараташский антиклинорий (RF1ai) | ||||||||||||||
1 | П-10 | 45.00 | 2.61 | 13.50 | 17.60 | 0.13 | 1.20 | 10.60 | 0.20 | 6.40 | 0.74 | 4.96 | 99.94 | |
2 | П-16 | 47.50 | 2.37 | 13.12 | 14.60 | 0.11 | 3.12 | 8.20 | 3.60 | 1.00 | 1.00 | 5.34 | 99.96 | |
3 | П-17 | 47.50 | 2.37 | 13.13 | 14.00 | 0.08 | 2.27 | 7.80 | 3.60 | 2.50 | 1.11 | 5.94 | 99.79 | |
4 | П-19 | 49.00 | 2.37 | 13.43 | 13.40 | 0.15 | 2.04 | 7.80 | 3.59 | 1.20 | 0.96 | 6.04 | 99.98 | |
5 | П-103 | 42.00 | 3.61 | 16.30 | 6.36 | 9.19 | 0.13 | 0.85 | 10.60 | 2.70 | 2.18 | 1.03 | 5.40 | 100.35 |
6 | П-88 | 47.00 | 2.00 | 16.00 | 8.00 | 7.08 | 0.07 | 1.44 | 7.00 | 1.02 | 5.00 | 0.66 | 5.00 | 100.19 |
7 | П-90 | 47.00 | 2.00 | 16.00 | 8.20 | 7.05 | 0.08 | 1.42 | 7.00 | 1.10 | 5.00 | 0.72 | 5.00 | 100.57 |
8 | П-63 | 46.20 | 2.50 | 14.60 | 9.40 | 7.18 | 0.12 | 2.27 | 8.40 | 3.20 | 1.25 | 0.75 | 3.95 | 99.82 |
Ямантауский антиклинорий (RF2ms) | ||||||||||||||
9 | П-13 | 49.20 | 1.46 | 12.80 | 4.70 | 9.05 | 0.21 | 11.36 | 6.60 | 2.70 | 0.15 | 0.12 | 1.60 | 99.95 |
Тирлянская синклиналь (RF4ig) | ||||||||||||||
10 | П-33 | 50.40 | 3.24 | 16.90 | 10.30 | 5.75 | 0.27 | 0.85 | 4.20 | 2.02 | 1.00 | 0.52 | 5.02 | 100.16 |
11 | П-34 | 57.05 | 1.17 | 16.90 | 5.08 | 3.09 | 0.11 | 3.00 | 6.00 | 3.37 | 1.88 | 0.15 | 2.00 | 99.80 |
12 | П-59 | 47.00 | 2.46 | 15.40 | 9.80 | 6.03 | 0.26 | 5.11 | 4.40 | 5.80 | 0.25 | 0.41 | 3.18 | 100.20 |
Примечание. Пределы обнаружения для SiО2 и Al2О3 составляли 0.1% (здесь и далее элементы в мас. %), TiО2, Fe2О3, MnО, CaО, K2О, Р2О5 и Sобщ — 0.01%, MgО — 0.2%. | ||||||||||||||
Рис. 2. Диаграмма “сумма щелочей–кремнезём” (Total Alkali Silica) для вулканитов Башкирского мегантиклинория (Южный Урал) [8]. Базальты: 1 — Тараташского антиклинория (RF1ai); 2 — Ямантауского антиклинория (RF2ms); 3 — Тирлянской синклинали (RF4ig). Стратиграфические индексы, RF– рифей: RF1– нижний (бурзяний), RF2 — средний (юрматиний), RF4 – терминальный (аршиний), Свиты: ai – айская, ms – машакская, ig – игонинская.
Согласно петрохимическим данным, изученные вулканиты претерпели метаморфизм зеленосланцевой фации хлорит-эпидотовой субфации.
Rb-Sr- И 147Sm‒143Nd ID-TIMS-ИЗОТОПНЫЕ ДАННЫЕ И ИХ ОБСУЖДЕНИЕ
Для получения Rb-Sr- и 147Sm‒143Nd ID-TIMS-изотопных ограничений в рамках настоящей работы, выполнены соответствующие аналитические работы по 12 образцам пород в целом, из них 8, 1 и 3 представлены вулканогенными разностями Тараташского (RF1ai), Ямантауского (RF2ms) антиклинориев, а также Тирлянской синклинали (RF4ig), соответственно (см. табл. 2). Результаты приведены в табл. 3 и рис. 3, 4.
Таблица 3. Rb‒Sr- и 147Sm‒143Nd ID-TIMS-данные для метабазальтов Башкирского мегантиклинория (Ю. Урал)
№ образца | Sm | Nd | 147Sm/ | 143Nd/ | eNd(0) | eNd(t) | TDM | ±d | Rb | Sr | 87Rb/86Sr | 87Sr/86Sr | IR |
(ppm) | (ppm) | 144Nd | 144Nd | (млн лет) | (ppm) | (ppm) | |||||||
Тараташский антиклинорий (RF1ai) | |||||||||||||
П-10 | 9.15 | 47.5 | 0.1166 | 0.511423±6 | –23.7 | –20.5 | 2540 | 17 | 38.0 | 32.6 | 3.38 | 0.755518±65 | 0.740365 |
П-16 | 10.5 | 44.2 | 0.1164 | 0.511517±6 | –21.8 | –18.8 | 2384 | 16 | 15.5 | 70.2 | 0.638 | 0.711618±17 | 0.708940 |
П-17 | 9.83 | 54.3 | 0.1095 | 0.511464±3 | –22.9 | –18.0 | 2302 | 12 | 20.1 | 44.2 | 1.32 | 0.720773±47 | 0.712575 |
П-19 | 8.68 | 45.7 | 0.1149 | 0.511509±3 | –22.0 | –17.4 | 2360 | 15 | 22.0 | 48.5 | 1.32 | 0.717217±37 | 0.717197 |
П-103 | 12.5 | 63.4 | 0.1192 | 0.511479±5 | –22.6 | –18.2 | 2520 | 17 | 35.3 | 52.4 | 1.95 | 0.725323±49 | 0.712878 |
П-88 | 9.56 | 50.7 | 0.114 | 0.511481±5 | –22.5 | –17.9 | 2382 | 15 | 34.7 | 35.9 | 2.80 | 0.749583±49 | 0.732074 |
П-90 | 8.88 | 44.5 | 0.1206 | 0.511513±5 | –21.9 | –17.7 | 2502 | 17 | 66.7 | 70.4 | 2.75 | 0.742935±32 | 0.725739 |
П-63 | 9.11 | 48.4 | 0.1138 | 0.511490±5 | –22.4 | –17.5 | 2363 | 15 | 20.8 | 156 | 0.386 | 0.710423±45 | 0.707904 |
Ямантауский антиклинорий (RF2ms) | |||||||||||||
П-13 | 4.82 | 19.6 | 0.1491 | 0.512174±6 | –9.0 | –6.3 | 2038 | 25 | 2.00 | 247 | 0.0239 | 0.710982±16 | 0.71083 |
Тирлянская синклиналь (RF4ig) | |||||||||||||
П-33 | 6.37 | 29.7 | 0.1296 | 0.512399±4 | –4.6 | –0.7 | 1163 | 10 | 27.8 | 131 | 0.616 | 0.710832±25 | 0.706839 |
П-34 | 8.18 | 43.2 | 0.1146 | 0.512236±4 | –7.8 | –3.2 | 1236 | 9 | 50.3 | 244 | 0.595 | 0.710704±25 | 0.707000 |
П-59 | 6.54 | 30.3 | 0.1304 | 0.512395±8 | –4.7 | –0.9 | 1181 | 12 | 19.0 | 315 | 0.175 | 0.710183±11 | 0.709071 |
Стандарты | |||||||||||||
BCR-2 (n = 42) | 6.54 | 28.6 | 0.1382 | 0.512638±9 | 48.1 | 343 | 0.3989 | 0.705015±12 | |||||
La Jolla (n = 51) | 0.511856±5 | ||||||||||||
Eimer & Amend (n = 84) | 0.708002±20 | ||||||||||||
SRM-987 (n = 88) | 0.710242±26 | ||||||||||||
Примечание. Обозначения стратиграфических индексов (RF1ai, RF2ms, RF4ig) в примечании к рис. 2. IR = (87Sr/86Sr)0. Погрешности отношений: 147Sm/144Nd и 87Rb/86Sr 0,5%; 143Nd/144Nd, 87Sr/86Sr последние значащие одна и две цифры соответственно. TDM по [9]. IR=(87Sr/86Sr)0 IR рассчитаны исходя из параметров CHUR: 147Sm/144Nd = 0,1967, 143Nd/144Nd = 0,512638 и U–Pb SHRIMP-II-возрастов (t, млн лет) 315, 295, 437, 442, 448, 439, 439, 458 для образцов П-10, П-16, П-17, П-19, П-103, П-88, П-90, П-63; 447 для П-13; 455, 437, 447 для П-33, П-34, П-59, соответственно [1–3]. Погрешности (±d) для TDM [10]. | |||||||||||||
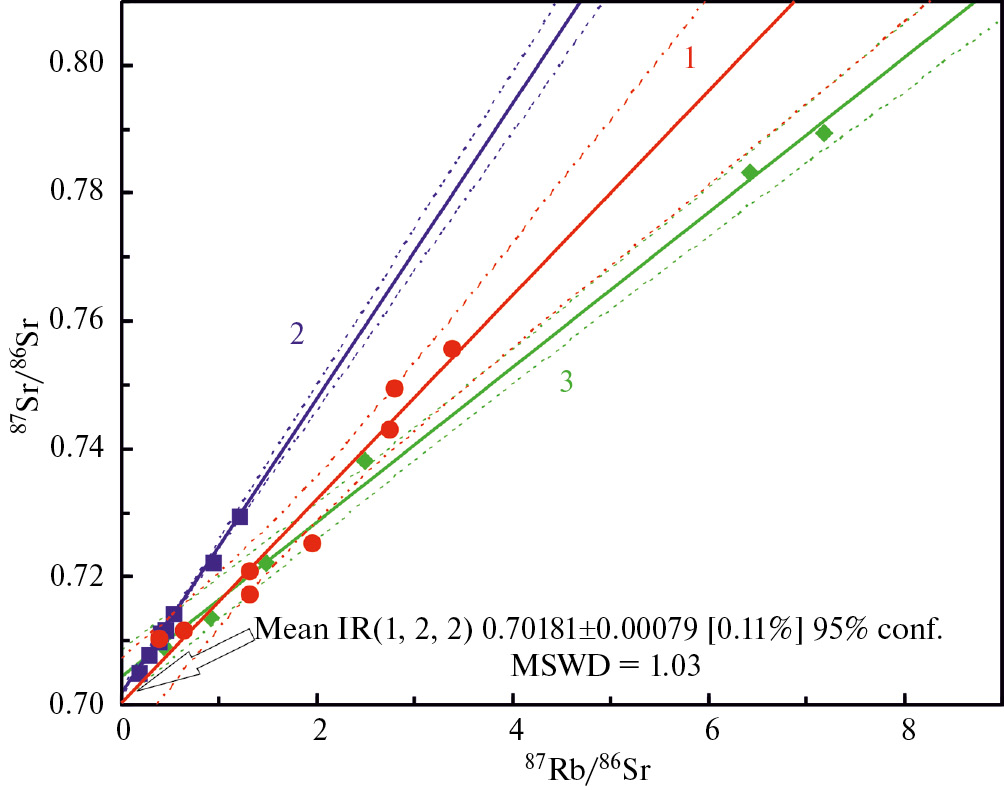
Рис. 3. Rb‒Sr ID-TIMS-эволюционная диаграмма для образцов RF1ai Башкирского мегантиклинория (Южный Урал): 1 – настоящая работа 1114±240 млн лет, (87Sr/86Sr)0 = 0.7002±0.0071, MSWD>>1 свидетельствует об отсутствии полной гомогенизации Rb‒Sr-систематики и наличии геохимической дисперсии; 2, 3 – тренды “дифференциации” 1607±92 млн лет, (87Sr/86Sr)0 = 0.70172±0.00083 и “бостонитизации” 846±68 млн лет, (87Sr/86Sr)0 = 0.7045±0.0040 навышского комплекса айской свиты [12]. Пунктирными линиями обозначены пределы (envelope) ±2σ погрешностей для соответствующих линий регрессий. Средневзвешенная величина (87Sr/86Sr)0 для трёх регрессионныx линий 0.70181±0.00079 [0.11%] 95% conf. MSWD = 1.03.
Rb–Sr ID-TIMS-СИСТЕМАТИКА
Восемь образцов метатрахибазальтов, развитых среди вуканогенных образований айской свиты нижнего рифея (RF1ai) в Тараташском антиклинории, характеризуются размахом значений Rb 15.5–66.7 ppm (коэффициент вариации КВ1, 52.0%); Sr 32.6–156 ppm (62.4%); 87Rb/86Sr 0.386–3.38 (59.7%); 87Sr/86Sr 0.710423–0.755518 (2.4%) соответственно. Для метабазальта, расположенного в поле развития машакских вулканитов среднего рифея (RF2ms) Ямантауского антиклинория, концентрация Rb 2.0 ppm — значимо меньше, а Sr 247 ppm, больше, в сравнении с метатрахибазальтами айской свиты RF1ai, тогда как отношения 87Rb/86Sr = 0.0239, 87Sr/86Sr = 0.710982. Три пробы метабазальтов, отобранные в полосе развития игонинского вулканогенного комплекса завершающего рифея (RF4ig) Тирлянской синклинали, демонстрируют вариации содержаний Rb 19–50.3 ppm (49.9%); Sr 131–315 ppm (40.3%); 87Rb/86Sr 0.1747–0.6160 (53.9%); 87Sr/86Sr 0.710183–0.710832 (0.048%) соответственно.
Вычисление начальных отношений (87Sr/86Sr)t для RF1ai с учётом стратиграфического возраста 1750 млн лет, определяет диапазон значений от 0.670473 (образец П-10) до 0.695565 (П-16), что статистически меньше аналогичного параметра для Basaltic Achondrite Best Initial = = 0.69899±0.00005 [11]. Исключением является образец П-63, демонстрирующий (87Sr/86Sr)1750 = = 0.00711. Наблюдаемый факт, свидетельствует об явном несоответсвии априорной величины стратиграфического возраста 1750 млн лет и параметров Rb‒Sr-изотопной системы изученных образцов Тараташского антиклинория.
Аналогичная процедура для метатрахибазальтов, представляющих RF1ai, с учётом U–Pb SHRIMP-II палеозойских цирконовых возрастов, выявляет значительные вариации IR (табл. 3) от 0.707904 (проба П-63) до 0.740365 (П-10). Относительно высокие значения измеренных отношений 87Sr/86Sr, (к примеру, для пробы П-10 достигающего величины 0.755518±0.000065) могут быть интерпретированы контаминацией веществом Тараташского полиметаморфического комплекса, для которого, диапазон (87Sr/86Sr)t для метапелита, диафторита и милонитов характеризуется значениями 0.7482±0.0025, 0.737596±0.000040, 0.729±0.012 и 0.741445±0.000043, при t(млн лет) 1539, 1801, 1666, 301 соответственно [18].
Рассмотрение Rb‒Sr-систематики восьми образцов RF1ai в рамках модели Николайсена с использованием современных алгоритмов обработки Isoplot/EX ver 3.6 [4] позволяет выявить эррохронную зависимость (линия 1, рис. 3) определяющую возраст 1114±240 млн лет и начальное отношение (87Sr/86Sr)0 = 0.7002±0.0071.
Для сравнения, на этот же график нанесены Rb‒Sr-данные изверженных пород навышской подсвиты айской свиты [12]. Линия регрессии под номером 2 (рис. 3), представлена дифференцированной серией от базальтов (их состав зафиксирован в покровах, минимально затронутых метасоматическими преобразованиями) до андезитов и дацитов (повышенные содержания кремнезёма в некоторых пробах до 70–71% — обусловлены кварцевым метасоматозом). Геохимические параметры этого тренда близки известково-щелочной серии и совпадают со средними составами соответствующих магматических пород [13]. Аппроксимирующая линия регрессии 2, по восьми образцам на графике в координатах 87Rb/86Sr‒87Sr/86Sr (рис. 3) имеет наклон (slope = 0.0231±0.0013 95% conf. limit), соответствующий возрасту 1607±92 млн лет и (87Sr/86Sr)0 = 0.70172±0.00083.
Вторая группа пород навышской подсвиты айской свиты (846±68 млн лет, (87Sr/86Sr)0 = = 0.7045±0.0040), представляющая тренд “бостонитизации” (линия 3, рис. 3), включает бостонитовые порфиры, бостониты и различные метасоматиты (гибридные микроклинизированные вулканиты). Детальное описание причин объединения этого сообщества фигуративных точек можно обнаружить в работе [12].
Как видно из рис. 3, Rb–Sr-эррохрона для изученных в рамках настоящего исследования образцов Тараташского антиклинория, на графике занимает промежуточное положение между дифференцированной серией базальтов и трендом “бостонизации” вулканитов навышской подсвиты айской свиты [12], в общем перекрываясь по величине (87Sr/86Sr)0 в пределах наблюдаемых погрешностей (см. диапазоны envelope в начале координат графика рис. 3) и фиксируя средневзвешенное значение 0.70181±0.00079 [0.11%] 95% conf. MSWD = 1.03.
Однако, соизмеримые величины MSWD (КВ = 27.8%) эволюционных зависимостей на графиках в координатах 87Rb/86Sr–87Sr/86Sr и 1000/Sr‒87Sr/86Sr, позволяют рассматривать наблюдаемую локализацию фигуративных точек вдоль линии регрессии 1 (рис. 3) как результат, вероятно, корово-мантийного двухкомпонентного смешения (см далее 147Sm‒143Nd ID-TIMS-систематику), в силу чего соответствующий возраст 1114±240 млн лет не отражает реальное событие. В пользу этого аргумента, свидетельствуют и наблюдаемые палеозойские U–Pb SHRIMP-II-возраста цирконов, выделенных из метатрахибазальтов RF1ai.
В изученной коллекции образцов (табл. 3), Ямантауский антиклинорий (RF2ms) представлен единственным метабазальтом П-10, для которого сравнительно низкие значения величин 87Rb/86Sr = 0.0239 и 87Sr/86Sr = = 0.710982, по сути определяют первичное отношение (87Sr/86Sr)0=0.7120±0.0043, если нанести эту фигуративную точку на график в координатах 87Rb/86Sr‒87Sr/86Sr совместно с Rb–Sr-изотопными данными (n = 7), опубликованными в [14]2, и произвести соответствующие вычисления, посредством Isoplot/EX.
Наконец, формальная аппроксимация Rb–Sr-данных трёх метабазальтов игонинской свиты Тирлянской синклинали (образцы П-33, П-34, П-59), из которых Rb‒Sr-изотопный состав двух проб (П-33, П-34) практически идентичен (КВ 87Rb/86Sr и 87Sr/86Sr 2.5%, 0.013%, соответственно), в связи с чем, корректное определение Rb–Sr-возраста не представляется возможным.
147Sm-143Nd ID-TIMS-СИСТЕМАТИКА
Восемь образцов вулканитов Тараташского антиклинория (RF1ai), характеризуются размахом значений Sm 8.68–12.5 ppm (КВ 12.7%); Nd 44.2–63.4 ppm (12.9%); 147Sm/144Nd 0.1095–0.1206 (3.0%); 143Nd/144Nd 0.511423–0.511517 (0.0061%) соответственно. Для метабазальта Ямантауского антиклинория (образец П-13) концентрации Sm 4.82, Nd 19.6 ppm, отношения 147Sm/144Nd = 0.1491, 143Nd/144Nd = 0.512174. Три метабазальта Тирлянской синклинали (П-33, П-34, П-59) демонстрируют содержания Sm от 6.37 до 8.18 ppm (14.2%); Nd 29.7–43.2 ppm (22.2%); 147Sm/144Nd 0.1146–0.1304 (7.1%); 143Nd/144Nd 0.512236–0.512399 (0.018%).
Для образцов Тараташского антиклинория (RF1ai) вариации вычисленных с учётом U–Pb SHRIMP-II данных, Nd-модельных возрастов, характеризуются диапазоном 2302–2540 млн лет (КВ = 3.7%). В сопоставлении с палеозойскими U–Pb SHRIMP-II возрастами цирконов, TDM расценивается как возраст корового протолита метабазальтов, вовлеченного в образование базальтового расплава наряду с мантией. Причём в общем случае TDM может быть и результатом суперпозиции, смешения вещества, отделившегося от деплетированной мантии в разное время [15]. Иными словами, по мнению этих авторов, TDM возрасты могут быть интерпретированы как время корово-мантийной сегрегации только в том случае, если они подтверждаются другой геологической и/или геохронологической информацией.
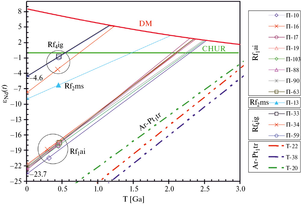
Другим, не менее важным параметром изученной 147Sm‒143Nd системы являются величины εNd(t), отражающие [9], генетические аспекты материала, в первом приближении, его принадлежность к мантийным (εNd(t)>0) или коровым (εNd(t)<0) образованиям. Для вулканитов Тараташского антиклинория значения εNd(t) ограничены довольно узким диапазоном от ‒17.4 до ‒20.5 (КВ = 5.5%), идентифицируя значительный вклад корового материала3, тогда как для вулканитов, пространственно сближенных с базальтами машакского и игонинсткого комплексов среднего и верхнего рифея доля коровой составляющей последовательно уменьшается ( εNd(t)ms –6.3, εNd(t)ig –3.2, –0.9, –0,7). Эта тенденция может быть интерпретирована и как комплементарное увеличение объема мантийного вещества за счёт плюмовой активности, являющейся частью общего механизма конвекции внутри планеты. Как известно [16], вместе с тектоническим механизмом плит подобные явления образуют глобальный процесс, в котором плюмо- и плитные тектонические движения активно взаимодействуют. Более подробные сведения о плюмовом магматизме на Урале, в том числе обсуждаемого в рамках настоящего изыскания, трёх событийно-стратиграфических уровней: навышского, машакского и игонинского, соответственно нижнего, среднего и завершающего рифея, можно обнаружить в [16].
В некоторых образцах, к примеру П-10, наблюдается идентичность, в пределах погрешностей, Nd-модельных возрастов TDM=2703±17 млн лет и U‒Pb SHRIMP-II (П-10, кратер 8) 2634±130 млн лет [3]. В свое время Арндт и Гольдштейн [15] утверждали, что Nd-модельный возраст следует интерпретировать как истинный возраст протолита только в том случае, “если он совпадает с возрастом циркона U–Pb- или другими независимыми доказательствами орогенного события”. Позже автором работы [19] этот тезис был объявлен заблуждением, мотивируя тем, что орогенные события чаще всего являются коллизионными и могут не быть значимыми в смысле образования значительного объёма коры. В этом смысле, показательным примером является Гренвильский орогенез, во время которого из мантии практически не было извлечено существенного объёма новой коры [19]. В таких обстоятельствах может быть сгенерировано какое угодно количество U‒Pb-возрастов, которые значительно позже формирования земной коры (например, [20]).
Для сравнения 147Sm‒143Nd-данных, на этот же график нанесены линии эволюции изотопного состава Nd гнейсов архейско-протерозойского Тараташского метаморфического комплекса, TDM которых соответствуют интервалу 3455–3490 млн лет [17, 18].
ЗАКЛЮЧЕНИЕ
Новые 147Sm‒143Nd ID-TIMS изотопные данные для базальтов, развитых среди вулканогенных образований навышского, машакского и игонинского событийно-стратиграфических уровней рифея Башкирского мегантиклинория, показали, что формирование вулканитов, вероятно, происходило в результате взаимодействия мантийных магматических расплавов с коровым веществом. Rb–Sr ID-TIMS данные оказались противоречивыми, что предопределило определённые ограничения при интерпретации результатов.
В Тараташском антиклинории для вулканитов, выделенных среди пород навышского событийно-стратиграфического уровня, возрастной диапазон которого 1750–1770 млн лет, Nd-модельные возрасты (TDM) определены во временном интервале 2302–2540 млн лет (табл. 3, рис. 4) и расцениваются как возрасты протолита метабазальтов, а величина εNd(t) (от –17.4 до –20.5, см. табл. 3) свидетельствует о значительной роли вещества коры. Учитывая Nd-модельный возраст вулканитов, протолитом для них могли быть архей-нижнепротерозойские образования Тараташского комплекса.
Рис. 4. Эволюционная диаграмма в координатах εNd(t) vs. T [млрд лет] для вулканитов Башкирского мегантиклинории (Южный Урал). Параметры линий эволюции изотопного состава Nd рассчитаны по [9]. Обозначения стратиграфических индексов, значения U–Pb SHRIMP-II возрастов и 147Sm‒143Nd изотопные сигнатуры CHUR и DM для соответствующих пересчетов εNd(t) указаны в примечании к табл. 3. Ar-Pt1 tr – архейско-протерозойский Тараташский комплекс [17, 18].
В Ямантауском антиклинории для вулканитов, сопряжённых с породами машакского событийно-стратиграфического уровня, стратиграфические возрастные границы которого 1380–1385 млн лет, значение TDM составило 2033 млн лет, что свидетельствует о вовлечении в исходный магматический очаг сравнительно более молодого (палеопротерозойского) субстрата.
Минимальные Nd-модельные возрасты (TDM = 1160–1233 млн лет) определены для вулканитов, развитых среди метабазальтов игонинского магматического события (707–732 млн лет) в Тирлянской синклинали.
Для вулканитов, пространственно сближенных с базальтами машакского и игонинского событийно-стратиграфических уровней среднего и терминального рифея, доля коровой составляющей последовательно уменьшается (εNd(t)ms –6.3, εNd(t)ig –3.2, –0.9, –0,7). Редукция корового компонента по отношению к объёму мантийного вещества в изученных вулканических комплексах, возможно, связано с плюмовой активностью [16], возрастающей в регионе в юго-восточном направлении (см. рис. 1, пробы: П-13, П-33, П-34, П-59).
БЛАГОДАРНОСТИ
Авторы признательны К.Н. Шатагину и В.М. Саватенкову за ценные замечания и рекомендации позволившие существенно улучшить исходную рукопись.
ИСТОЧНИК ФИНАНСИРОВАНИЯ
Исследования проведены в соответствии с темами госзаданий ИГГ УрО РАН (№ госрегистрации 123011800014-3, 123011800013-6) и ИГ УФИЦ РАН (тема гос. задания FMRS-2022-0013)
1 КВ=100•STDEV/AVERAGE, далее % в скобках, где: ,
2 В этой работе изучался изотопный состав Rb–Sr проб, по составу соответствующим липарито-дацитам и дацитам (69–75% SiO2), с отчётливым “натриевым” уклоном (Na/K>1).
3 Источником которого, вероятно, служило архейско-протерозойское вещество Тараташского полиметаморфического комплекса.
About the authors
V. N. Puchkov
Institute of Geology and Geochemistry, Ural Branch of the Russian Academy of Sciences
Email: y-ronkin@mail.ru
Corresponding member of the RAS
Russian Federation, EkaterinburgYu. L. Ronkin
Institute of Geology and Geochemistry, Ural Branch of the Russian Academy of Sciences
Author for correspondence.
Email: y-ronkin@mail.ru
Russian Federation, Ekaterinburg
N. D. Sergeeva
Institute of Geology, Ufa Federal Research Center of the Russian Academy of Sciences
Email: y-ronkin@mail.ru
Russian Federation, Ufa
References
- Пучков В. Н., Козлов В. И., Краснобаев А. А. Палеозойские U-Pb SHRIMP-датировки магматических пород Башкирского мегантиклинория // Геологический вестник. 2011. № 9. Юбилейный выпуск. Институт геологии УНЦ РАН. Уфа: ДизайнПолиграфСервис. С. 36–43.
- Краснобаев А. А., Пучков В. Н., Сергеева Н. Д., Бушарина С. В. Полихронные цирконы вулканитов Навышского комплекса айской свиты нижнего рифея (Южный Урал) // Георесурсы. 2020. Т. 22. № 4. С. 101–112 https://doi.org/10.18599/grs.2020.4.101-112
- Краснобаев А. А., Пучков В. Н., Сергеева Н. Д., Бушарина С. В. Природа цирконовой кластики в песчаниках рифея и венда Южного Урала // Георесурсы. 2019. Т. 21. № 1. С. 15–25. https://doi.org/10.18599/grs.2019.1.15-25
- Ludwig K. R. User's manual for Isoplot 3.6: a geochronological toolkit for Microsoft. Excel. 2008. № 4. 77 p.
- Puchkov V. N., Krasnobaev A. A., Sergeeva N. D. The New Data on Stratigraphy of the Riphean Stratotype in the Southern Urals, Russia // Journal of Geoscience and Environment Protection. 2014. № 2. P. 108–116
- Стратиграфический кодекс России. СПб.: Издательство ВСЕГЕИ, 2019. 96 с. (МСК России, ВСЕГЕИ)
- Ronkin Y. L., Karaseva T. V., Maslov A. V. The First 147Sm–143Nd Data on Rocks from the 6925.2- to 8250-m Interval of the SG-7 Superdeep Borehole (West Siberian Oil-and-Gas Province) // Dokl. Earth Sc. 2021. 496. 130–134. https://doi.org/10.1134/S1028334X2102015X
- Петрографический кодекс России. Магматические, метаморфические, метасоматические, импактные образования. Изд. 2. СПб.: Изд-во ВСЕГЕИ, 2008. 200 с.
- DePaolo D. J. Neodymium Isotope Geochemistry. An Introduction. Minerals and Rocks Series. 1988. № 20. xi + 187 pp.
- Ронкин Ю. Л., Хойман К. Определение погрешностей Sm-Nd модельных датировок // Труды Института геологии и геохимии им. акад. А.Н. Заварицкого. 2009. Выпуск 156 (Ежегодник 2008). Екатеринбург. С. 334–336.
- Papanastassiou D. A., Wasserburg G. J. Initial strontium isotopic abundances and the resolution of small time differences in the formation of planetary objects // Earth Planet. Sci. Let. 1969. 5: 361–376.
- Краснобаев А. А., Бибикова Е. В., Ронкин Ю. Л., Козлов В. И. Геохронология вулканитов айской свиты и изотопный возраст нижней границы рифея // Известия АН СССР, серия геологическая. 1992. № 6. С. 25–40.
- Магматические горные породы (кислые и средние породы). Отв. ред. В.В. Ярмолюк, В.И. Коваленко. М.: Наука, 373 с.
- Краснобаев А. А., Бибикова Е. В., Степанов А. И., Кирнозова Т. И., Ронкин Ю. Л., Макаров В. А., Лепихина О. П., Кравцов А. В. Возраст эффузивов машакской свиты и проблема изотопно-геохронологической границы нижний-средний рифей / В книге: Изотопное датирование процессов вулканизма и осадкообразования. М.: “Наука”, 1985. С. 162–175.
- Arndt N. T., Goldstein S. L. Use and abuse of crust-formation ages // Geology. 1987. 15. P. 893–895.
- Puchkov V. N., Ernst R. E., Ivanov K. S. The importance and difficulties of identifying mantle plumes in orogenic belts: An example based on the fragmented large igneous province (LIP) record in the Ural fold belt // Precambrian Research. 2021. 361. 106–186. https://doi.org/10.1016/j.precamres.2021.106186
- Ronkin Yu. L., Sindern S., Maslov A. V., Matukov D. I., Kramm U., Lepikhina O. P. Oldest (3.5 Ga) zircons of the Urals: U-Pb (SHRIMP-II) and T DM constraints // Doklady Earth Sciences. 2007. 415(6). 860‒865 https://doi.org/10.1134/S1028334X07060074
- Ронкин Ю. Л., Синдерн С., Лепихина О. П. Изотопная геология древнейших образований Южного Урала // Литосфера. 2012. № 5. С. 50–76.
- Dickin A. P. Model Ages (Sm-Nd). Encyclopedia of Scientific Dating Methods. 2014. 1–7. https://doi.org/10.1007/978-94-007-6326-5_2-2
- McNutt R. H., Dickin A. P. A comparison of Nd model ages and U-Pb zircon ages of Grenville granitoids: constraints on the evolution of the Laurentian margin from 1.5 to 1.0 Ga // Terra Nova. 2012. 24. 7–15.
Supplementary files







