Изотопный состав гелия в щелочных интрузиях Прихубсугулья, Северо-Западная Монголия
- Авторы: Врублевский В.В.1, Козлов Е.Н.2, Фомина Е.Н.2, Гертнер И.Ф.1, Вишневский А.В.3,4, Шелепаев Р.А.3,4, Семиряков А.С.1, Сидоров М.Ю.2, Гудков А.В.2, Петлина А.А.1, Удоратина О.В.5
-
Учреждения:
- Национальный исследовательский Томский государственный университет
- Геологический институт Кольского научного центра Российской академии наук
- Институт геологии и минералогии Сибирского отделения Российской академии наук
- Национальный исследовательский Новосибирский государственный университет
- Институт геологии Коми научного центра Уральского отделения Российской академии наук
- Выпуск: Том 512, № 2 (2023)
- Страницы: 207-211
- Раздел: ГЕОХИМИЯ
- Статья получена: 18.10.2023
- Статья опубликована: 01.10.2023
- URL: https://journals.rcsi.science/2686-7397/article/view/140409
- DOI: https://doi.org/10.31857/S2686739723600315
- EDN: https://elibrary.ru/MTDLPQ
- ID: 140409
Цитировать
Полный текст
Аннотация
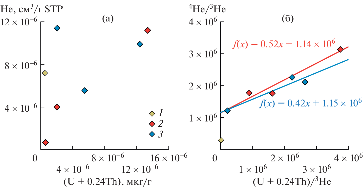
Изучен изотопный состав гелия флюидных включений в магнетите щелочных и субщелочных интрузий Прихубсугулья в Северо-Западной Монголии. Измеренное содержание 4He варьирует в диапазоне от 6.6 × 10–7 до 114 × 10–7 см3/г. Изотопное отношение 3He/4He большинства образцов варьирует в интервале 0.23–0.59 Ra и может свидетельствовать о присутствии в магматогенном флюиде гелия из разных источников. Максимум мантийного He (2.51 Ra) наблюдается в магнетите субщелочного габбро. При генерации первичной магмы с вероятным участием вещества SCLM-типа или менее обогащенного 3He плюмоподобного резервуара мантийная компонента гелия составляла около 40–60%. В эволюции фойдовых и щелочно-сиенитовых расплавов ее доля не превышала ~10–15% из-за смешивания с радиогенным He корового происхождения. Предполагается взаимодействие интрузий с фрагментами докембрийских аккреционно-коллизионных комплексов Тувино-Монгольского террейна. Подобное смешение изотопов He в расплавах и флюидах может служить косвенным признаком развития мантийного магматизма на активной континентальной окраине.
Об авторах
В. В. Врублевский
Национальный исследовательскийТомский государственный университет
Автор, ответственный за переписку.
Email: vasvr@yandex.ru
Россия, Томск
Е. Н. Козлов
Геологический институт Кольского научного центра Российской академии наук
Email: vasvr@yandex.ru
Россия, Апатиты
Е. Н. Фомина
Геологический институт Кольского научного центра Российской академии наук
Email: vasvr@yandex.ru
Россия, Апатиты
И. Ф. Гертнер
Национальный исследовательскийТомский государственный университет
Email: vasvr@yandex.ru
Россия, Томск
А. В. Вишневский
Институт геологии и минералогииСибирского отделения Российской академии наук; Национальный исследовательский Новосибирский государственный университет
Email: vasvr@yandex.ru
Россия, Новосибирск; Россия, Новосибирск
Р. А. Шелепаев
Институт геологии и минералогииСибирского отделения Российской академии наук; Национальный исследовательский Новосибирский государственный университет
Email: vasvr@yandex.ru
Россия, Новосибирск; Россия, Новосибирск
А. С. Семиряков
Национальный исследовательскийТомский государственный университет
Email: vasvr@yandex.ru
Россия, Томск
М. Ю. Сидоров
Геологический институт Кольского научного центра Российской академии наук
Email: vasvr@yandex.ru
Россия, Апатиты
А. В. Гудков
Геологический институт Кольского научного центра Российской академии наук
Email: vasvr@yandex.ru
Россия, Апатиты
А. А. Петлина
Национальный исследовательскийТомский государственный университет
Email: vasvr@yandex.ru
Россия, Томск
О. В. Удоратина
Институт геологии Коми научного центраУральского отделения Российской академии наук
Email: vasvr@yandex.ru
Россия, Сыктывкар
Список литературы
- Ernst R.E. Large igneous provinces. Cambridge: Cambridge University Press, 2014. 630 p.
- Gwalani L.G., Moore K., Simonetti A. Carbonatites, alkaline rocks and the mantle: a special issue dedicated to Keith Bell // Mineralogy and Petrology. 2010. V. 98. P. 5–10.
- Nikiforov A.V., Yarmolyuk V.V. Late Mesozoic carbonatite provinces in Central Asia: Their compositions, sources and genetic settings // Gondwana Research. 2019. V. 69. P. 56–72.
- Vrublevskii V.V., Nikiforov A.V., Sugorakova A.M., Kozulina T.V. Petrogenesis and tectonic setting of the Cambrian Kharly alkaline–carbonatite complex (Sangilen Plateau, Southern Siberia): Implications for the Early Paleozoic evolution of magmatism in the western Central Asian Orogenic Belt // Journal of Asian Earth Sciences. 2020. V. 188. 104163.
- Врублевский В.В., Гертнер И.Ф. Палеозойские щелочно-мафитовые интрузии Кузнецкого Алатау, их источники и условия образования расплавов // Петрология. 2021. Т. 29. № 1. С. 31–63.
- Doroshkevich A.G., Ripp G.S., Izbrodin I.A., Savaten-kov V.M. Alkaline magmatism of the Vitim province, West Transbaikalia, Russia: Age, mineralogical, geochemical and isotope (O, C, D, Sr and Nd) data // Lithos. 2012. V. 152. P. 157–172.
- Izbrodin I., Doroshkevich A., Rampilov M., Lastochkin E., Savatenkov V., Posokhov V., Khubanov V., Redina A. Age and petrogenesis of scapolite gabbro from the Bambuy intrusion (Vitim plateau, Russia) and their tectonic significance // International Journal of Earth Sciences. 2022. V. 111. P. 1859–1883.
- Stuart F.M., Lass-Evans S., Fitton J. G., Ellam R.M. High 3He/4He ratios in picritic basalts from Baffin Island and the role of a mixed reservoir in mantle plumes // Nature. 2003. V. 424. N 6944. P. 57–59.
- Gautheron C., Moreira M. Helium signature of the subcontinental lithospheric mantle // Earth and Planetary Science Letters. 2002. V. 199. P. 39–47.
- Mamyrin B.A., Tolstikhin I.N. Helium isotopes in nature. Amsterdam, New York: Elsevier, 1984. 288 p.
- Яшина Р.М. Щелочной магматизм складчато-глыбовых областей (на примере южного обрамления Сибирской платформы). М.: Наука, 1982. 274 с.
- Vrublevskii V.V., Gertner I.F., Ernst R.E., Izokh A.E., Vishnevskii A.V. The Overmaraat-Gol alkaline pluton in Northern Mongolia: U–Pb age and preliminary implications for magma sources and tectonic setting // Minerals. 2019. V. 9 (3). Art. 170.
- Скиба В.И., Каменский И.Л., Ганнибал М.А., Пахомовский Я.А. Распределение изотопов гелия и аргона в амфиболе из кварц-полевошпатовой жилы контактовой зоны Понойского массива (Кольский полуостров) // Записки РМО. 2018. Т. 147. № 4. С. 96–107.
- Буйкин А.И., Камалеева А.И., Сорохтина Н.В. К вопросу об эффективности разделения захваченных и образованных in situ компонентов благородных газов при дроблении образцов в вакууме // Геохимия. 2018. № 6. С. 586–593.
- Moreira M., Doucelance R., Kurz M.D., Dupré B., Allègre C.J. Helium and lead isotope geochemistry of the Azores Archipelago // Earth and Planetary Science Letters. 1999. V. 169. P. 189–205.
- Kendrick M.A., Burgess R., Pattrick R.A.D., Turner G. Fluid inclusion noble gas and halogen evidence on the origin of Cu-porphyry mineralizing fluids // Geochimica et Cosmochimica Acta. 2001. V. 65. P. 2651–2668.
- Кузьмичев А.Б. Тектоническая история Тувино-Монгольского массива: раннебайкальский, позднебайкальский и раннекаледонский этапы. (Ред. Е.В. Скляров). Москва: ПРОБЕЛ-2000, 2004. 192 с.
- Ярмолюк В.В., Кузьмин М.И., Воронцов А.А. Конвергентные границы западно-тихоокеанского типа и их роль в формировании Центрально-Азиатского складчатого пояса // Геология и геофизика. 2013. Т. 54. № 12. С. 1831–1850.
Дополнительные файлы



