Frequency-dependent variability of pulse wave transit time. Pilot study
- Авторлар: Grinevich A.A.1, Chemeris N.K.1
-
Мекемелер:
- Institute of Cell Biophysics of Russian Academy of Sciences
- Шығарылым: Том 516, № 1 (2024)
- Беттер: 55-58
- Бөлім: Articles
- URL: https://journals.rcsi.science/2686-7389/article/view/263917
- DOI: https://doi.org/10.31857/S2686738924030098
- EDN: https://elibrary.ru/VTQFDC
- ID: 263917
Дәйексөз келтіру
Толық мәтін
Аннотация
The dynamics of the pulse wave (PW) associated with the PW transit time variability (PWTTV) determines the peripheral pulse rate variability, which is used as a surrogate for heart rate variability (HRV). The aim of the work is to analyze the frequency-dependent dynamics of PWTTV and to identify the possible frequency-phase modulation of PW velocity oscillations on the transit from the heart to the soft tissues of the distal parts of the upper extremities. RR-interval recordings and synchronous records of photoplethysmograms of 12 conditionally healthy subjects from the PhysioNet open database were used in this work. Using the Hilbert–Huang transform 3 spectral components of PWTTV and HRV were identified. It was shown that the amplitudes of PWTTV oscillations were many times (up to 8.4 times) smaller than the amplitudes of HRV, and the peaks of PWTTV spectral components were shifted towards higher frequencies than those of HRV. Functional relations between PWTTV and HRV, which can determine the phase modulation of periodic changes in the velocity of propagation of PW, were revealed.
Негізгі сөздер
Толық мәтін
Вариабельность сердечного ритма (ВСР) широко используется как маркер участия симпатической и парасимпатической нервной системы в регуляции частоты сердечных сокращений [1]. В последние несколько лет в качестве суррогата ВСР используется вариабельность частоты периферического пульса (ВЧП, pulse rate variability (PRV)), которая формируется прохождением пульсовой волны по дистальным участкам сосудистого русла мягких тканей и вызывает их периодическое пульсовое кровенаполнение [2–4]. Предполагается, что подход на основе измерения ВЧП позволяет достаточно полно описать динамику ВСР. Однако взаимосвязь между ВЧП и ВСР еще не до конца изучена и понятна, так как на исходную вариабельность пульсовой волны по мере ее продвижения по сосудистому руслу от сердца до микрососудов дистальных участков мягких тканей могут влиять различные нейрогуморальные и структурные факторы, играющие ключевую роль в регуляции кровотока [5–6]. Важно уметь различать эти факторы по характерным динамическим свойствам, например, по временному масштабу. Исходя из динамики процессов, регулирующих ВСР, в первом приближении факторы можно разделить по времени на: быстрые – нейрогенные, средние – гуморальные и медленные – структурные. При этом первые два фактора преимущественно занимают отрезок времени от единиц секунд до сотен минут [1].
Ранее было продемонстрировано, что в отличие от традиционно используемого метода Фурье-анализа временных рядов кардиоинтервалов, извлеченных из ЭКГ, метод Гильберта–Хуанга (Г–Х) позволяет разложить колебания кардиоинтервалов на эмпирические моды, центральные частоты которых попадают в традиционно выделяемые частотные интервалы, что открывает новые возможности для анализа кардиоритма [7]. Использование метода Г–Х позволило выявить в динамике пульсового кровенаполнения мягких тканей подушечек указательных пальцев рук эмпирические моды, модулирующие кардиоритм в диапазоне частот от 1 до 0.01 Гц и менее, что свидетельствует о возможности количественно оценивать динамическую вариабельность времени прохождения пульсовой волны (ВВППВ) на разных частотно-временных масштабах [8].
Целью данной работы были проведение пилотного исследования для анализа частотно-зависимой динамики вариабельности времени прохождения пульсовой волны и выявления возможной частотно-фазовой модуляции колебаний ее скорости на пути следования от сердца к мягким тканям дистальных участков верхних конечностей на ограниченной группе условно здоровых испытуемых.
В исследовании использованы ряды записей RR-интервалов между последовательными сердечными сокращениями и синхронные с ними записи фотоплетизмограмм (ФПГ) с циклическим кровенаполнением мягких тканей указательного пальца левой руки 12-ти условно здоровых испытуемых (8 мужчин и 4 женщины) из открытой базы ранее зарегистрированных физиологических сигналов PhysioNet [9–10]. По данным используемой базы данных Pulse Transit Time PPG Dataset (version 1.1.0) [9] испытуемые имели следующие антропометрические показатели (среднее ± стандартная ошибка): возраст 30.0 ± 2.7 года; рост 174.0 ± 2.8 см; вес 73.8 ± 5.2 кг; систолическое артериальное давление (АД) 122.2 ± 4.6 и диастолическое АД 76.8 ± 1.7 мм рт. ст. Ряды RR-интервалов были рассчитаны как интервалы времени между последовательными R-зубцами электрокардиограмм (ЭКГ) и характеризовали динамику центрального пульса. Ряды РР-интервалов были рассчитаны из записей ФПГ как последовательность интервалов между преданакротическими P-зубцами ФПГ [11] и характеризовали динамику периферического пульса. Время прохождения пульсовой волны (ВППВ) определяли как временную задержку между пиками P- и R-зубцов, а последовательность этих времен была использована для расчета динамики ВВППВ.
Для анализа частотных спектров ВСР и ВВППВ использовали комбинацию методов Г–Х [12–13] и вейвлет-анализа, при этом спектральный метод вейвлет-анализа использовался для построения и визуализации амплитудно-частотных спектров эмпирических мод, полученных методом Г–Х. Для сглаживания и аппроксимации спектров эмпирических мод использовалась функция Вейбулла. Частотно зависимые коэффициенты передачи сигналов от ВСР к ВЧП вычислялись как отношения спектров ВВППВ к спектрам ВСР соответствующих мод и далее аппроксимировались 4-х-параметрическими сигмоидальными функциями.
Предварительные обработка и анализ сигналов, а также статистическая обработка результатов были проведены в среде Matlab R2016a (MathWorks, Natick, Massachusetts, USA). Различия считались статистически значимыми при p < 0.05.
РЕЗУЛЬТАТЫ И ИХ ОБСУЖДЕНИЕ
Для проверки возможного влияния регуляторных процессов на усредненный по времени периферический пульс мы проанализировали и сравнили центральные и периферические кардиоритмограммы. Было обнаружено, что усредненные по времени и по группе испытуемых периоды центрального и периферического пульсов не различались между собой и были равны 0.83 ± 0.03 с (p > 0.8). Также не различались их девиации и коэффициенты вариации (данные представлены как среднее ± стандартная ошибка). Последние находились в диапазоне 5–10%. Полученные данные подтверждают результаты многочисленных ранее проведенных исследований о том, что усредненный по времени периферический сердечный ритм определяется центральным механизмом и не зависит от возможных локальных динамических изменений параметров сосудистого русла. Усредненное за 7-минутный интервал ВППВ составило в среднем по группе 0.160 ± 0.003 с, а средний коэффициент вариации был около 5% (данные представлены как среднее ± стандартная ошибка).
Усредненные показатели не позволяют оценить динамические изменения сердечного ритма и пульсовой волны, формирующей периферический ритм. Оценка динамических свойств пульсовой волны может показать, влияют ли процессы, регулирующие тонус сосудов, на временную задержку между периферическим и центральным пульсом, а следовательно, и на скорость распространения пульсовой волны. Также, используя спектры ВСР, можно оценить связь между ВВППВ и ВСР.
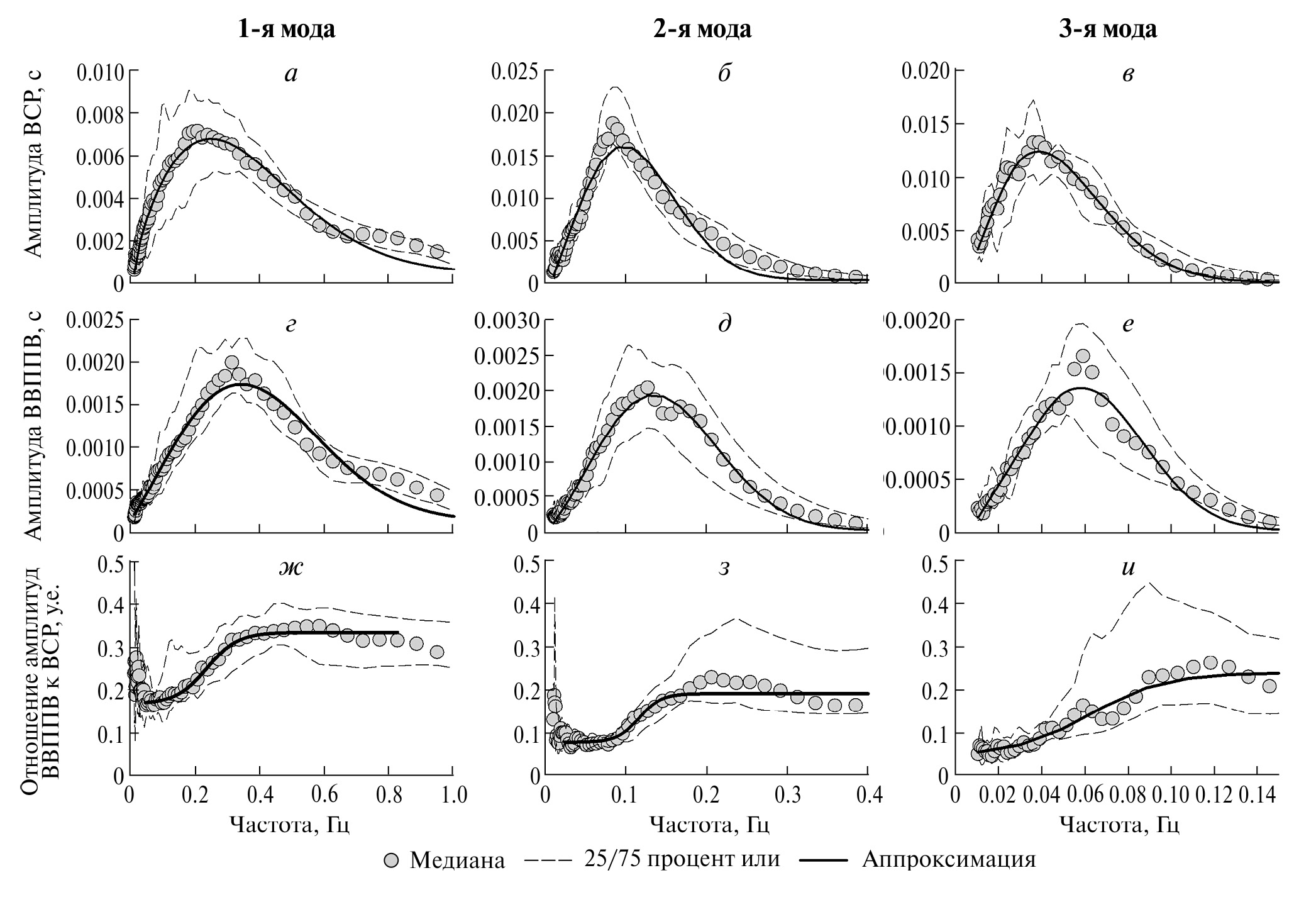
Результаты спектрального анализа показаны на рис. 1. Было обнаружено и проанализировано 3 первые эмпирические моды для ВСР (рис. 1а–1в) и для ВВППВ (рис. 1г–1е). Усредненные по группе амплитуды колебаний 1, 2, и 3 мод были 7.3 ± 1.1 мс, 18.5 ± 1.5 мс и 12.6 ± 1.1 мс для ВСР и 2.0 ± 0.1 мс, 2.2 ± 0.4 мс и 1.7 ± 0.3 мс для ВВППВ соответственно (данные представлены как среднее ± стандартная ошибка). Видно, что для ВВППВ значения амплитуд в разы меньше, чем для ВСР. При этом для всех мод положение максимумов спектров ВВППВ было значимо сдвинуто в сторону более высоких частот по сравнению со спектрами ВСР.
Рис. 1. Спектры эмпирических мод для ВСР (а, б, в) и ВВППВ (г, д, е) и их отношения (ж, з, и). Точки – медианы; пунктирные кривые – 25 и 75 процентили; жирные сплошные кривые – аппроксимации функциями Вейбулла (а–е) и 4-х-параметрическими сигмоидальными функциями (ж–и).
Несмотря на количественные различия, наблюдается качественное сходство между спектрами ВВППВ и ВСР как по количеству мод, так и по характеру их спектральных кривых (рис. 1). Это может свидетельствовать о наличии функциональной взаимосвязи между ними. Для оценки такой взаимосвязи мы вычислили отношение амплитуд спектров ВВППВ к ВСР и получили частотные зависимости этих отношений (рис. 1ж–1и). Эти зависимости хорошо аппроксимировались сигмоидальными функциями с коэффициентом детерминации R 2 > 0.95. Из рисунка видно, что для 1, 2 и 3 мод точки перегиба сигмоидальных зависимостей сдвигаются в область низких частот: 0.24 Гц, 0.12 Гц и 0.06 Гц соответственно, а значения пьедестала снижаются: 0.17, 0.08 и 0.04 соответственно. Полученные функциональные связи между ВВППВ и ВСР могут отражать суммарный результат всех воздействий, дающих вклад в динамическое нелинейное изменение фазы колебаний скорости распространения пульсовой волны.
В результате выполнения пилотного исследования обнаружена новая закономерность динамики прохождения пульсовой волны от сердца к мягким тканям дистальных участков конечностей условно здоровых испытуемых. Она проявляется как частотно-зависимый феномен периодических изменений фазы колебаний скорости распространения пульсовой волны, который, возможно, отражает суммарный вклад всех эпизодических воздействий на скорость распространения пульсовой волны от сердца к мягким тканям. Важно подчеркнуть, что эпизодические изменения скорости распространения пульсовой волны не могут значительно повлиять на ее усредненную скорость. Частотно-зависимый феномен фазовой модуляции периодических изменений времени прохождения пульсовой волны является не альтернативным методом оценки состояния ССС, но принципиально новым дополнением к нейрогуморальным механизмам регуляции динамики кровоснабжения органов и тканей в норме и при заболеваниях. Исследование участия этого комплекса механизмов в формировании и течении патологий различной этиологии может быть полезным при их профилактике и лечении.
БЛАГОДАРНОСТИ
Авторы благодарят академика В. Н. Шабалина за конструктивное обсуждение вариантов рукописи.
ФИНАНСИРОВАНИЕ
Финансирование работы проводилось в рамках выполнения работ по госзаданиям ИБК РАН.
СОБЛЮДЕНИЕ ЭТИЧЕСКИХ СТАНДАРТОВ
В данной работе не проводились исследования человека и животных. Проводился анализ данных из открытой базы данных Pulse Transit Time PPG Dataset (version 1.1.0) [9]. По данным используемой базы данных все исследования проводились в соответствии с принципами биомедицинской этики, изложенными в Хельсинской декларации 1964 г. и последующих поправках к ней, и все участники дали письменное информированное согласие.
КОНФЛИКТ ИНТЕРЕСОВ
Авторы данной работы заявляют, что у них нет конфликта интересов.
Авторлар туралы
A. Grinevich
Institute of Cell Biophysics of Russian Academy of Sciences
Хат алмасуға жауапты Автор.
Email: grin_aa@mail.ru
Ресей, Pushchino
N. Chemeris
Institute of Cell Biophysics of Russian Academy of Sciences
Email: nikolai.chemeris@mail.ru
Ресей, Pushchino
Әдебиет тізімі
- Heart Rate Variability. Standards of Measurement, Physiological Interpretation, and Clinical Use. Task Force of the European Society of Cardiology and the North American Society of Pacing and Electrophysiology // Circulation. 1996. V. 93. P. 1043–1065.
- Mattace-Raso F.U.S., Hofman A., Verwoert G.C., et al. Determinants of Pulse Wave Velocity in Healthy People and in the Presence of Cardiovascular Risk Factors: “Establishing Normal and Reference Values” // Eur. Heart J. 2010. V. 31. P. 2338–2350.
- Mejía-Mejía E., May J.M., Torres R., et al. Pulse Rate Variability in Cardiovascular Health: A Review on its Applications and Relationship with Heart Rate Variability // Physiol. Meas. 2020. V. 41. P. 07TR01.
- Котовская Ю.В., Рогоза А.Н., Орлова Я.А. и др. Амбулаторное мониторирование пульсовых волн: статус проблемы и перспективы. Позиция российских экспертов // Кардиоваскулярная терапия и профилактика. 2018. Т. 17. С. 95–109.
- Leloup A.J.A., Van Hove C.E., De Moudt S., et al. Vascular Smooth Muscle Cell Contraction and Relaxation in the Isolated Aorta: A Critical Regulator of Large Artery Compliance // Physiol. Rep. 2019. V. 7(4). P. e13934.
- Yuda E., Shibata M., Ogata Y., et al. Pulse Rate Variability: A New Biomarker, not a Surrogate for Heart Rate Variability // J. Physiol. Anthropol. 2020. V. 39. P. 21.
- Гриневич А.А., Чемерис Н.К. Спектральный анализ вариабельности сердечного ритма на основе метода Гильберта–Хуанга // Доклады Российской академии наук. Науки о жизни. 2023. Т. 511. С. 395–398.
- Гриневич А.А., Гарамян Б.Г., Чемерис Н.К. Локализация механизмов амплитудно-частотной модуляции пульсового кровенаполнения микрососудистого русла мягких тканей. Пилотное исследование // Доклады Российской академии наук. Науки о жизни. 2022. Т. 504. С. 223–228.
- Mehrgardt P., Khushi M., Poon S., et al. Pulse Transit Time PPG Dataset (version 1.1.0). 2022. PhysioNet.
- Goldberger A., Amaral L., Glass L., et al. PhysioBank, PhysioToolkit, and PhysioNet: Components of a new research resource for complex physiologic signals // Circulation [Online]. 2000. V. 101(23). P. e215–e220.
- Park J., Seok H.S., Kim S.-S., et al. Photoplethysmogram Analysis and Applications: An Integrative Review // Front. Physiol. 2022. V. 12. P. 808451.
- Huang N.E., Zheng S., Steven R.L., et al. The Empirical Mode Decomposition and the Hilbert Spectrum for Nonlinear and Non-stationary Time Series Analysis // Proceedings of the Royal Society of London. Series A: Mathematical, Physical and Engineering Sciences. 1998. V. 454. P. 903–995.
- Тычков А.Ю. Применение модифицированного преобразования Гильберта–Хуанга для решения задач цифровой обработки медицинских сигналов // Известия высших учебных заведений. Поволжский регион. Технические науки. 2018. Т. 3. С. 70–82.
Қосымша файлдар



