Обоснование применения технологической схемы облучения с разделением энергетических потоков в светокультуре промышленных теплиц
- Авторы: Долгих П.П.1
-
Учреждения:
- Красноярский государственный аграрный университет
- Выпуск: Том 32, № 4 (2022)
- Страницы: 600-612
- Раздел: Электротехнологии и электрооборудование
- Статья получена: 17.06.2025
- Статья одобрена: 17.06.2025
- Статья опубликована: 23.06.2025
- URL: https://journals.rcsi.science/2658-4123/article/view/297041
- DOI: https://doi.org/10.15507/2658-4123.032.202204.600-612
- ID: 297041
Цитировать
Полный текст
Аннотация
Введение. Обеспечение требуемых параметров и характеристик электромагнитного излучения светотехнических облучательных установок для теплиц является важной задачей при повышении эффективности использования энергии и улучшении характеристик растениеводческой продукции.
Цель работы – определение эффективного режима работы технологической схемы облучения с разделением энергетических потоков в светокультуре промышленных теплиц.
Материалы и методы. В разработанной модели технологической схемы облучения за счет конструктивных решений есть возможности разделить энергетический поток на составляющие и управлять этими потоками. Предложено путем раздельного регулирования напряжения на облучателе и вентиляторе создавать условия для изменения величины отдельных спектральных линий излучения с целью дальнейшей оценки эффекта от данных изменений.
Результаты исследования. Получены результаты по изменению распределения PPFD в зависимости от напряжения на тепличном облучателе от 198 до 242 В и температуры воздуха вблизи лампы от 38 до 47 °С. Сравнение усредненных значений PPFD в исследуемых режимах со значением PPFD в номинальном режиме для этих диапазонов позволило определить режим при напряжении 220 В и температуре воздуха вблизи лампы от 43 до 47 °С как рациональный для практического применения в технологических схемах облучения с разделением энергетических потоков в светокультуре промышленных теплиц.
Обсуждение и заключение. Разработка и применение рациональных режимов работы тепличных облучателей, c учетом режимов работы сети и лампы, является основой для обеспечения тепличного производства альтернативной тепловой энергии.
Полный текст
Введение
Технологические операции по облучению растений в тепличной светокультуре являются энергоемкими процессами и требуют оптимальных решений при разработке мероприятий по повышению эффективности. Применяемые на сегодняшний момент в промышленных теплицах облучательные установки с газоразрядными лампами высокого давления достигли, путем технического совершенствования, максимальных показателей по критерию эффективной отдачи, но работы по улучшению их характеристик продолжаются1. Однако особенностями, которые необходимо учитывать при эксплуатации, являются повышенные требования к спектральному составу и интенсивности излучения из-за ресурсных изменений, зависящих от срока эксплуатации2, отклонения питающего напряжения [1], схем питания источников излучения [2]. Любые отклонения в показателях эффективного потока сказываются как положительно, так и отрицательно на конечном растениеводческом результате и экономических показателях конечной продукции. Также у газоразрядных ламп высокого давления имеется проблема, связанная с неравномерным распределением энергии излучения по спектру. Особенно это касается «синей» части спектра, процент содержания которой низкий, что требует дополнительных мер по коррекции и устранению этого недостатка [3].
Предварительные исследования по повышению энергоэффективности процесса облучения растений позволили установить, что представляется возможным расширить функции светотехнических облучательных установок в теплицах путем использования инфракрасной составляющей излучения облучателя на нужды отопления в системах микроклимата [4].
В ходе экспериментов был установлен ряд зависимостей, позволяющих делать выводы об эффективности применения в системе микроклимата теплиц облучательных установок с функцией принудительного охлаждения воздушным способом [5]. Управление потоками утилизированной таким образом тепловой энергии, которая затем используется в системе отопления теплиц и является основой для обеспечения тепличного производства дополнительной альтернативной экологически чистой энергией, дает преимущества [6]. При этом были определены новые дополнительные преимущества использования таких установок, заключающиеся в значительном изменении фотосинтетического потока фотонов в функции температуры воздуха вблизи лампы при регулировании уровня напряжения в пределах, регламентированных стандартом. Однако вопросы смещения в отдельных спектральных областях излучения облучательных установок с функцией принудительного охлаждения при изменении внешних факторов, к которым, в частности, относится уровень напряжения в сети, имеющие важное значение в показателях эффективности технологических процессов растениеводства защищенного грунта, не исследованы. Для жизнедеятельности растений особенно необходимы фотосинтетически активная (ФАР) (Δλ = 360–720 нм) и физиологически активная радиации (Δλ = 300–800 нм), зависящие от распределения энергии по спектру. Их регулирование дает дополнительные эффекты в управляемом растениеводстве [7].
Целью работы является определение эффективного режима работы технологической схемы облучения с разделением энергетических потоков в светокультуре промышленных теплиц.
Обзор литературы
Одним из уровней энергоэкологичности светокультуры в современном представлении является модель технологического процесса облучения, где частным показателем энергоэкологичности является спектральный состав излучения [8–10]. При этом определена роль каждого спектрального диапазона. Растения чувствуют и реагируют на оптические спектры от ультрафиолетового излучения (UV) до дальнего красного (FR), а качество излучения или длина волны оптического спектра значительно влияет на рост, развитие, морфологию и вторичный метаболизм растений. Реакция растений на качество излучения зависит от вида и сорта растений. В зависимости от условий окружающей среды реакция растений на одно и то же качество излучения может быть изменена «фоновыми» условиями, например, количеством ФАР, которое растение получает в течение дня (DLI).
Красное (R) излучение воспринимается растениями с помощью phys и регулирует реакции, связанные с прорастанием семян, удлинением стебля, расширением листьев, индукцией цветения и т. д. А синее (B) излучение воспринимается CRYs и phots и регулирует такие процессы, как деэтиоляция рассады, фототропизм, движение хлоропластов, циркадные ритмы, рост корней, устьичного отверстия и т. д. Однако излучения R и B действуют антагонистически в регулировании размера и толщины листа. B-излучение способствует сплющиванию листьев за счет усиления фотоактивности, в то время как R-излучение преимущественно способствует ветвлению, активируя phyB [11].
Таким образом, необходимо уделять пристальное внимание определению баланса между R- и B-излучением, чтобы архитектура растений регулировалась в соответствии с поставленной целью. Высокую эффективность этих излучений для фотосинтеза и роста растений легко понять, поскольку они идеально соответствуют пикам поглощения хлорофиллов.
Многочисленные исследования были проведены для оценки влияния R- и B-излучения на накопление вторичных метаболитов растений, и результаты в некоторых случаях противоречат друг другу [12].
Красное и дальнее красное излучения являются важными сигналами для растений, а соотношение R:FR влияет на физиологически регулируемые реакции, такие как прорастание семян, деэтиоляция семян, избегание затенения и репродукция. Было установлено, что добавление к FR-излучению излучения с более короткой длиной волны (400–700 нм) может сбалансировать возбуждение между фотосистемой I (PSI) и PSII, что синергетически увеличивает фотохимию и фотосинтез [13]. PSI и PSII работают последовательно для проведения фотохимических реакций, которые предпочтительно возбуждаются FR- и коротковолновым излучением соответственно [14]. Одна из гипотез гласит, что фотосинтетическая эффективность растений, выращенных при комбинированном FR- и коротковолновом излучении, должна быть увеличена из-за лучшего баланса между возбуждением двух фотосистем, в то время как некоторые исследователи предположили, что эффективность фотосинтеза всего растения будет снижена из-за более низкой PPFD [15; 16]. Необходимы дальнейшие исследования, чтобы лучше понять влияние FR- излучения на фотосинтез растений.
Зеленое (G) излучение действует как сигнал, регулирующий нефотосинтетические реакции растений, такие как вегетативный рост, накопление антоцианов и инициация цветения посредством phys и cry [17]. Реакция растений на G-излучение похожа на FR-излучение и имеет общую тенденцию противостоять реакциям, индуцированным B- или R-излучениями [18; 19]. Кроме того, в то время как лучи B и R сильно поглощаются верхними листьями, излучение G проникает в более глубокие слои растительного покрова, что потенциально может повысить урожайность [17].
UV-излучение обычно рассматривается как фактор стресса для роста растений из-за избыточной энергии возбуждения, неизбежно приводящей к образованию активных форм кислорода в растительных органеллах, таких как хлоропласты, митохондрии и пероксисомы. В последнее время большое внимание уделяется использованию дополнительного УФ-излучения для индукции синтеза фитохимических веществ в растениях, таких как антоцианы, флавоноиды, каротиноиды, глутатион и другие биоактивные метаболиты, которые полезны для здоровья [20; 21]. Дополнительное УФ-В-излучение повышало концентрацию антоцианов, фенолов и флавоноидов в зеленых листьях базилика на 9–18 %, 28–126 % и 80–169 % соответственно, а антиоксидантная способность листьев базилика положительно коррелировала с дозами УФ-В-излучения. Однако дополнительное УФ-В-излучение в целом снижало урожайность как зеленого, так и фиолетового базилика. Поэтому необходимы дальнейшие исследования, чтобы найти точку равновесия между повышением питательных качеств и снижением урожайности.
Материалы и методы
Объектом исследования являлась технологическая схема, в которой применяется облучательная установка с функцией принудительного охлаждения воздушным способом. Предмет исследования – закономерности влияния напряжения сети и температуры воздуха вблизи лампы на отдельные спектральные линии излучения тепличного облучателя. На рисунке 1 представлена технологическая схема установки для исследования тепличного облучателя.
1 – облучатель; 2 – вентилятор канальный в патрубке; 3 – выпускной фланец;
4 – гофрированный теплоотвод; 5 – закаленное стекло; 6 – лампа; 7 – технологический отсек;
8 – приборная панель; 9 – пускорегулирующий аппарат; 10 – автоматический выключатель;
11 – регулировочная ручка для лабораторного автотрансформатора вентилятора;
12 – вольтметр для вентилятора; 13 – регулировочная ручка для лабораторного
автотрансформатора облучателя; 14 – вольтметр для облучателя; 15 – спектрофотометр ФАР;
16 – анемометр; 17 – датчик анемометра; 18 – горизонтальная перегородка;
19 – вентиляционные каналы; 20 – камера для выращивания; 21 – растения;
22 – датчик спектрофотометра ФАР
Fig. 1. Technological scheme of the installation for the study of the greenhouse irradiator:
1 – irradiator; 2 – duct fan in the nozzle; 3 – outlet flange; 4 – corrugated heat sink;
5 – tempered glass; 6 – lamp; 7 – process compartment; 8 – dashboard; 9 – start-up device;
10 – circuit breaker; 11 – adjustment knob for laboratory autotransformer fan;
12 – voltmeter for the fan; 13 – adjustment knob for the laboratory autotransformer of the irradiator;
14 – voltmeter for the irradiator; 15 – spectrophotometer PAR; 16 – anemometer;
17 – anemometer sensor; 18 – horizontal partition; 19 – ventilation ducts; 20 – growing chamber;
21 – plants; 22 – spectrophotometer sensor PAR
Исследования проводились с тепличным облучателем FitoTech CoolMaster 125 с лампой SON-T 1000 W E40 с номинальным фотосинтезным потоком фотонов (PPF), равным 1 700 мкмоль/с, расположенным над вегетационной камерой с приборной панелью, изображенной на рисунке 1. При работе в номинальном режиме при Uн = 220 В и отсутствии принудительного охлаждения колба лампы может нагреваться до 450 °С3. Для работы лампы использовался электромагнитный независимый пускорегулирующий аппарат 1К1000 ДНаТ46-001 фирмы GALAD.
Стандартный спектр излучения исследуемой лампы в номинальном режиме работы представлен на рисунке 24. Как видно, спектр излучения можно поделить на пять диапазонов с длиной волны λ от 300 до 800 нм и Δλ=100 нм. Бóльшая часть излучения лампы расположена в диапазоне длин волн Δλ = 500–600 нм (50 %) и Δλ = 600–700 нм (37 %). В синем диапазоне Δλ = 400–500 нм спектр излучения составляет 4,5 %.
В качестве вентилятора охлаждения применяли Домовент 100 ВКО D100 мм 14 Вт c производительностью 105 м3/ч. Скорость воздушного потока (υв, м/с) на выходе из гофрированного теплоотвода 4 и температуру воздуха вблизи лампы (Тв, °С) напротив выпускного фланца 3 измеряли анемометром Мегеон 11002, снимали спектрограммы и определяли плотность фотосинтетического потока фотонов (PPFD, мкмоль/(м2·с)), спектрометром PAR OHSP350P на расстоянии 1 м от тепличного облучателя.
Рис. 2. Распределение энергии излучения по спектру5
Fig. 2. Distribution of radiation energy in spectrum
Регулирование напряжения осуществляли с помощью двух лабораторных автотрансформаторов, позволяющих независимо друг от друга управлять работой вентилятора охлаждения и тепличного облучателя. Был исследован диапазон напряжений на тепличном облучателе (Uоб, В) от 198 до 242 В c ΔU = 22 В6. Эксперимент проходил в следующей последовательности. Первоначально с помощью лабораторного автотрансформатора для тепличного облучателя устанавливали номинальное напряжение Uоб2 = 220 В. После этого с помощью лабораторного автотрансформатора для вентилятора охлаждения устанавливали последовательно с временным интервалом в 5 мин три уровня напряжения (Uв): 198, 220, 242 В – с целью регулирования скорости и температуры воздушного потока. При этом измеряли PPFD в пяти спектральных диапазонах: UV, B, G, R, FR. Далее эксперимент проводили при уровне напряжения на тепличном облучателе Uоб1=198 В и Uоб3=242 В.
Результаты исследования
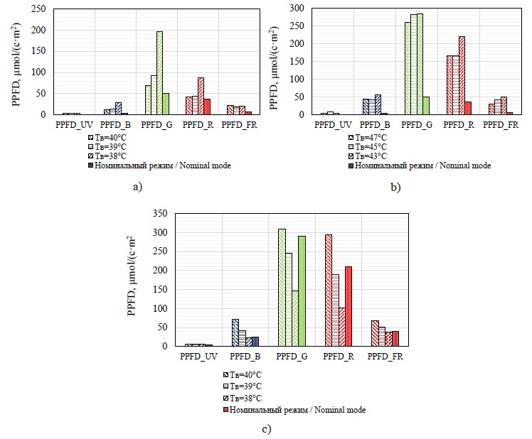
Было установлено, что при одинаковом характере изменения υв во всех трех режимах при регулировании Uв (так, при Uв1 = 198 В υв1 = 2,7 м/с; при Uв2 = 220 В υв2 = 3,0 м/с; Uв3 = 242 В υв3 = 3,4 м/с) Тв изменялась неравномерно (рис. 3).
a) Uоб1 = 198 В (режим 1); b) Uоб2 = 220 В (режим 2); c) Uоб3 = 242 В (режим 3)
Fig. 3. Change in PPFD distribution depending on the Uоб and Тв:
a) Uоб1 = 198 V (mode 1); b) Uоб2 =220 V (mode 2); c) Uоб3 =242 V (mode 3)
На рисунке 3 представлены данные по изменению распределения PPFD в зависимости от исследуемых факторов (Uоб и Тв). Каждый график содержит для сравнения спектральные линии излучения лампы в номинальном режиме. Графики демонстрируют искажение отдельных спектральных линий излучения по сравнению с номинальным режимом.
Для оценки степени влияния исследуемых факторов на искажение спектра сравнивали усредненное значение PPFD в каждом спектральным диапазоне со значением PPFD в номинальном режиме для этих диапазонов (рис. 4).
Fig. 4. Graphs of averaged PPFD values in the studied modes
Графики демонстрируют существенное влияние Uоб и Тв на количественное распределение энергии по отдельным спектральным линиям и, как следствие, на технологию процесса выращивания, учитывая роль каждого спектрального диапазона по отдельности в эффективности процессов, определяющих физиологию и продуктивность растений. Так, в режиме 1 значение PPFD снижается во всем исследуемом диапазоне длин волн по сравнению с номинальным режимом: Δλ = 300–400 нм на 1,44 мкмоль/(м2·с); Δλ = 400–500 нм на 7,3 мкмоль/(м2·с);
Δλ = 500–600 нм на 171 мкмоль/(м2·с); Δλ = 600–700 нм на 151,6 мкмоль/(м2·с); Δλ = 700–800 нм на 19,5 мкмоль/(м2·с). В режиме 3 значение PPFD держится в допустимых пределах во всем исследуемом диапазоне, однако снижается в Δλ = 500–600 нм на 56 мкмоль/(м2·с). Полученные результаты позволяют сделать вывод о невозможности применения на практике режимов работы облучателя при напряжении 198 и 242 В.
В режиме 2 значение PPFD стабильно во всем исследуемом диапазоне, что делает этот режим наиболее рациональным для практического применения в технологических схемах облучения с разделением энергетических потоков в светокультуре промышленных теплиц. Важным преимуществом этого режима является увеличение доли PPFD в «синей» области излучения (Δλ = 400–500 нм), по сравнению с номинальным режимом, в 1,9 раза: с 25 до 47 мкмоль/(м2·с). Данное обстоятельство позволяет сделать вывод о повышении эффективности излучения исследуемой лампы без внесения изменений в конструкцию самой лампы, что является новым способом, в отличие от известных7.
Полученные данные являются основанием для определения качественного влияния изменения распределения PPFD в среднем на эффективность процесса облучения с учетом спектра действия фотосинтеза по К. Дж. Маккри, а также функции спектрального распределения интенсивности рассеянного солнечного излучения.
Для оценки спектральных характеристик источника оптического излучения на основе процентного распределения в спектральных участках ФАР используем методику, изложенную в другом исследовании8. Расчет производили для двух режимов: номинальный режим и режим 2.
Условное представление усредненной спектральной плотности оптического излучения исследуемой лампы SON-T 1000 W E40 в номинальном режиме и режиме 2 приведено на рисунке 5. Новым, в отличие от известной методики, является то, что оценка проводится не по трем спектральным диапазонам, учитывающим только ФАР, а по пяти, с учетом физиологического воздействия.
лампы SON-T 1000 W E40: a) в номинальном режиме; b) в режиме 2
Fig. 5. Conditional representation of the averaged spectral density of optical radiation
of the SON-T 1000 W E40 lamp: a) in nominal mode; b) in mode 2
Расчет относительного спектрального распределения, с учетом физиологического воздействия, произведем по формуле (1):
(1)
Kф(λi) – функция спектральной фотосинтетической эффективности излучения; λi – условные характерные длины волн, существенные для основных процессов в растениях.
Приближенно можно принять, учитывая спектр действия фотосинтеза по К. Дж. Маккри [22], Kф(λ1) = 0,4; Kф(λ2) = 0,55; Kф(λ3) = 0,75; Kф(λ4) = 1; Kф(λ5) = 0,3 при λ1 = 320 нм; λ2 = 445 нм; λ3 = 570 нм; λ4 = 680 нм; λ5 = 760 нм. Учитывая функцию спектрального распределения интенсивности рассеянного солнечного излучения9, Kф(λ1) = 0,4; Kф(λ2) = 0,65; Kф(λ3) = 0,8; Kф(λ4) = 0,7; Kф(λ5) = 0,6 при λ1 = 380 нм; λ2 = 420 нм; λ3 = 540 нм; λ4 = 680 нм; λ5 = 740 нм.
На рисунке 6 представлены графические зависимости, построенные по данным, полученным по формуле (1), с учетом физиологического воздействия излучения лампы в исследуемых режимах.
Fig. 6. Relative spectral distribution
Из рисунка 6 видно, что за счет смещения относительного спектрального распределения эффективность физиологического воздействия излучения от лампы в режиме 2, в сравнении с номинальным режимом, изменяется незначительно. Так, при обоих режимах работы при оценке физиологического воздейстия по кривой К. Дж. Маккри эффективность составляет около 78–80 %. При оценке эффективности рассматриваемой технологической схемы с учетом функции спектрального распределения интенсивности рассеянного солнечного излучения значение относительного спектрального распределения составляет около 74 % в обоих режимах.
Обсуждение и заключение
Полученные результаты позволяют сделать выводы о возможности практического применения технологической схемы облучения с разделением энергетических потоков в светокультуре промышленных теплиц. В ходе исследования было установлено, что снижение тепловой нагрузки на источнике излучения воздушным принудительным способом позволит обеспечить промышленные теплицы низкопотенциальной экологически чистой тепловой энергией с температурой теплоносителя 43–47 °С, одновременно не искажая в целом спектральную составляющую излучения облучательной установки при напряжении 220 В, получая дополнительное преимущество в виде увеличения доли «синей» составляющей в общем спектре излучения лампы.
Произведенная оценка физиологического воздействия, с учетом спектра действия фотосинтеза по К. Дж. Маккри и функции спектрального распределения интенсивности рассеянного солнечного излучения, подтвердила гипотезу о применимости разрабатываемых способов облучения с разделением энергетических потоков от облучателя для повышения энергоэкологичности светокультуры.
В дальнейшем разработка и применение рациональных режимов и схем работы тепличных облучателей может стать основой для обеспечения тепличного производства дополнительной альтернативной энергией. Стабилизация режимов работы сети с одновременным регулированием температуры теплоносителя при воздушном способе отвода тепловой нагрузки является еще одним способом управления спектральными характеристиками источника излучения, а вместе с этим и ростовыми процессами растений. Снижение температуры элементов тепличного облучателя позволит более рационально распределять энергетический поток в пространстве, а также создавать дополнительный поток тепловой энергии, необходимый для отопления промышленных теплиц.
1 Тепличное освещение. [Электронный ресурс]. URL: https://www.reflux.ru/catalog/glighting/ (дата обращения: 10.09.2022).
2 Долгих П. П., Кунгс Я. А., Цугленок Н. В. Энергосберегающие электронные пускорегулирующие аппараты для облучательных установок теплиц. Красноярск : КрасГАУ, 2003. 116 с.
3 SON-T 1000W E40 1SL/4. Технические характеристики [Электронный ресурс]. URL: https://www.lighting.philips.ru/prof/lamps/high-intensity-discharge-lamps/son-high-pressure-sodium/dsont/928154509228_EU/product (дата обращения: 10.09.2022).
4 Там же.
5 Там же.
6 ГОСТ 32144-2013. Электрическая энергия. Совместимость технических средств электромагнитная. Нормы качества электрической энергии в системах электроснабжения общего назначения. М. : ФГУП «Стандартинформ». 2014. 19 с. URL: https://cenerg.ru/files/Norm_lab/gost-32144-2013.pdf (дата обращения: 10.09.2022).
7 Справочная книга по светотехнике / Под ред. Ю. Б. Айзенберга, Г. В. Бооса. 4-е изд. перераб. и доп. М., 2019. 892 с. URL: https://www.elibrary.ru/item.asp?id=26707983 (дата обращения: 10.09.2022) ; Рохлин Г. Н. Разрядные источники света. 2-е изд., перераб. и доп. М. : Энергоатомиздат, 1991. 720 с.
8 Цугленок Н. В., Долгих П. П., Кунгс Я. А. Энергетическое оборудование тепличных хозяйств. Красноярск : КрасГАУ, 2001. 139 с.
9 Справочная книга по светотехнике...
Об авторах
Павел Павлович Долгих
Красноярский государственный аграрный университет
Автор, ответственный за переписку.
Email: dpp10@yandex.ru
ORCID iD: 0000-0003-3443-5726
ResearcherId: GRJ-9791-2022
доцент кафедры системоэнергетики Института инженерных систем и энергетики, кандидат технических наук
Россия, 660049, г. Красноярск, пр-т Мира, д. 90Список литературы
- Гулин С. В., Пиркин А. Г. Оценка влияния нестабильности питающего напряжения на эффективность функционирования облучательных установок в сооружениях защищенного грунта // Известия Санкт-Петербургского государственного аграрного университета. 2015. № 40. С. 256–261.URL: https://www.elibrary.ru/item.asp?id=24853415 (дата обращения: 10.09.2022).
- Гулин С. В., Карпов В. Н., Карлин В. И. О работе разрядных ламп с регулируемым питанием в селекционных установках // Светотехника. 1986. № 6. С. 11–13. URL: https://www.elibrary.ru/item.asp?id=29267226 (дата обращения: 10.09.2022).
- Аюпов М. Р., Ракутько С. А. О возможности коррекции спектра натриевой лампы с помощью светодиодного источника под требования светокультуры // Технологии и технические средства механизированного производства продукции растениеводства и животноводства. 2018. № 1. С. 5–13.URL: https://clck.ru/32djcn (дата обращения: 10.09.2022).
- Долгих П. П., Самойлов М. В. Расширение функций облучательных установок при использовании в системе регулирования микроклимата теплиц // Вестник ИрГСХА. 2016. № 72. С. 130–138.URL: https://www.elibrary.ru/item.asp?id=27422680 (дата обращения: 10.09.2022).
- Долгих П. П., Доценко Д. С. Оценка эффективности тепличного облучателя с принудительным охлаждением // Вестник НГИЭИ. 2018. № 10. С. 29–44. URL: https://www.elibrary.ru/item.asp?id=36386537 (дата обращения: 10.09.2022).
- Dolgikh P. P., Parshukov D. V., Shaporova Z. E. Technology for Managing Thermal Energy Flows in Industrial Greenhouses [Электронный ресурс] // IOP Conference Series: Materials Science and Engineering.2019. Vol. 537, Issue 6. doi: https://doi.org/10.1088/1757-899X/537/6/062041
- Kozai T., Niu G., Takagaki M. Plant Factory: An Indoor Vertical Farming System for Efficient Quality Food Production. 2nd ed. Academic press, 2020. 516 p. doi: https://doi.org/10.1016/C2018-0-00969-X
- Энергоэкология светокультуры – новое междисциплинарное научное направление / С. А Ракутько [и др.] // АгроЭкоИнженерия. 2016. № 90. C. 14–27. URL: https://www.elibrary.ru/item.asp?id=27530042 (дата обращения: 10.09.2022).
- Ракутько С. А. Энергоэкологические основы наилучших доступных технологий светокультуры // Технологии и технические средства механизированного производства продукции растениеводства и животноводства. 2019. № 1. С. 44–60. URL: https://clck.ru/32dnLp (дата обращения: 10.09.2022).
- Ракутько С. А. Энергоэкологичность как свойство искусственной биоэнергетической системы светокультуры // АгроЭкоИнженерия. 2018. № 2. С. 78–89. doi: https://doi.org/10.24411/0131-5226-2019-10121
- Anpo M., Fukuda H., Wada T. Plant Factory Using Artificial Light: Adapting to EnvironmentalDisruption and Clues to Agricultural Innovation. Amsterdam : Elsevier, 2018. 434 p. doi: https://doi.org/10.1016/C2017-0-00580-3
- Meng X., Xing T., Wang X. The Role of Light in the Regulation of Anthocyanin Accumulation in Gerbera Hybrida // Plant Growth Regulation. 2004. Vol. 44. P. 243–250. doi: https://doi.org/10.1007/s10725-004-4454-6
- Zhen S., Van Iersel M. W. Far-Red Light Is Needed for Efficient Photochemistry and Photosynthesis //Journal of Plant Physiology. 2017. Vol. 209. P. 115–122. doi: http://dx.doi.org/10.1016/j.jplph.2016.12.004
- Finding the Optimal Growth-Light Spectrum for Greenhouse Crops / S. W. Hogewoning [et al.] // ISHS Acta Horticulturae 956: VII International Symposium on Light in Horticultural Systems. 2012.Vol. 956. P. 357–363. doi: https://doi.org/10.17660/ActaHortic.2012.956.41
- Plant Responses to Red and Far-Red Lights, Applications in Horticulture / S. Demotes-Mainard [et al.] // Environmental and Experimental Botany. 2016. Vol. 121. P. 4–21. doi: https://doi.org/10.1016/J.ENVEXPBOT.2015.05.010
- Park Y., Runkle E. S. Far-Red Radiation Promotes Growth of Seedlings by Increasing Leaf Expansion and Whole-Plant Net Assimilation // Environmental and Experimental Botany. 2017. Vol. 136.P. 41–49. doi: https://doi.org/10.1016/J.ENVEXPBOT.2016.12.013
- Wang Y., Folta K. M. Contributions of Green Light to Plant Growth and Development // American Journal of Botany. 2013. Vol. 100, Issue 1. P. 70–78. doi: http://dx.doi.org/10.3732/ajb.1200354
- Reversal by Green Light of Blue Light-Stimulated Stomatal Opening in Intact, Attached Leaves of Arabidopsis Operates Only in the Potassium-Dependent, Morning Phase of Movement / L. D. Talbott [et al.] // Plant Cell Physiol. 2006. Vol. 47, Issue 3. P. 332–339. doi: https://doi.org/10.1093/pcp/pci249
- Folta K. M., Maruhnich S. A. Green Light: a Signal to Slow Down or Stop // Journal of Experimental Botany. 2007. Vol. 58, Issue 58. P. 3099–3111. doi: https://doi.org/10.1093/jxb/erm130
- Bantis F., Ouzounis T., Radoglou K. Artificial LED Lighting Enhances Growth Characteristics and Total Phenolic Content of Ocimum Basilicum, but Variably Affects Transplant Success // Scientia Horticulturae.2016. Vol. 198. P. 277–283. doi: http://dx.doi.org/10.1016/j.scienta.2015.11.014
- The Effects of Different UV-B Radiation Intensities on Morphological and Biochemical Characteristics in Ocimum Basilicum L. / J. Sakalauskaite [et al.] // Journal of the Science of Food and Agriculture.2013. Vol. 93. P. 1266–1271. doi: http://dx.doi.org/10.1002/jsfa.5879
- McCree K. J. The Action Spectrum, Absorbance and Quantum Yield of Photosynthesis in Crop Plants //Agricultural Meteorology. 1972. Vol. 9. P. 192–216. doi: http://dx.doi.org/10.1016/0002-1571(71)90022-7
Дополнительные файлы



























