Influence of the Processes of Fluffing the Flax Stem Strips on the Structural Parameters of the Layer
- Authors: Zintsov A.N.1, Kovalev M.M.2, Perov G.A.2, Perov M.G.2, Dobretsov V.A.1
-
Affiliations:
- Kostroma State Agricultural Academy
- Federal Research Center for Bast Crops
- Issue: Vol 33, No 4 (2023)
- Pages: 542-557
- Section: Agricultural Engineering
- Submitted: 06.06.2025
- Accepted: 06.06.2025
- Published: 10.11.2023
- URL: https://journals.rcsi.science/2658-4123/article/view/296064
- DOI: https://doi.org/10.15507/2658-4123.033.202304.542-557
- ID: 296064
Cite item
Full Text
Abstract
Introduction. The efficiency of separating long flax fiber from the flax straw largely depends on the structural parameters of the layer of flax stems. Modern fluffers for flax strips create random distortions and intersection of the layer of flax stems under the pick-up drum. These disadvantages of existing machines are minimized in an experimental fluffer, in which a layer of flax stems moves over the pick-up drum with a kinematic mode indicator equal to one.
Aim of the Article. The study is aimed at finding means and methods for preserving the structural parameters of the layer of flax stems when fluffing flax straw strips.
Materials and Methods. Experimental studies were carried out according to existing and newly developed methods, and the analysis of flax fiber was carried out according to the current GOST standards. The experiments were carried out on the flax strips formed by the LC-4A flax harvester. After grass sprouted through the strips of flax stems, they were fluffed with the serial machine VL-3 and an experimental fluffer. For each variant, the necessary measurements of the main structural parameters of the stem strip and collection of samples for analysis were made before the unit passed and after fluffering the flax stem strip. The results of measurements and processing of samples were processed using the methods of mathematical statistics.
Results. It was found that macro-bends of the original and processed flax strips were in all the experiments. At the same time, the range of changes in the curvature of the flax strip outside the cutoff frequencies expanded 2.3 times under the influence of the working tools of the serial tedder VL-3. The randomness of these pulsations was caused by an increase in the distortion and elongation of the flax stems in the strip by 6.0° and 6.9%, respectively. At the same time, the experimental fluffer produced the smallest changes in the structural parameters of the flax stem layer. The technological evaluation of the flax straw confirmed the advantages of the experimental fluffer in comparison with the serial VL-3, which has an average production of long fiber higher by 0.65% and 0.5 units of number.
Discussion and Conclusion. The analysis of the obtained results indicates the practicability of fluffing flax strips by picking up and moving the stems from above the pick-up drum with its kinematic mode index equal to one.
Keywords
Full Text
Введение
Научные исследования показывают, что приготовление льняной тресты в естественных условиях путем росяной мочки – достаточно сложный биомеханический процесс, подверженный влиянию множества случайных факторов [1–3]. При этом одна группа факторов положительно воздействует на характер протекания процесса мацерации, а другая ‒ затягивает вылежку до поздних сроков с заметным сокращением выхода и ухудшением качества волокнистой продукции. К условиям, задерживающим процесс приготовления тресты, следует отнести обильные осадки и низкую температуру воздуха в период уборки, высокую урожайность волокнистой продукции и наличие сорной растительности и трав [4–6]. В отдельных случаях при неблагоприятной комбинации указанных факторов плотные ленты стеблей прибиваются дождями к почве, сильно увлажняются и порастают травой. Фильтрация воздуха в нижних слоях такой ленты отсутствует, что способствует активизации процессов гниения стеблей в ленте и возникновению опасности потери всей волокнистой части урожая. Поэтому при организации уборочных процессов с целью сохранения возможной прибыли следует максимально уменьшать влияние обозначенных условий1 [6–8].
Мировая практика показывает, что в процессе приготовления тресты наиболее эффективным методом борьбы с переувлажнением слоя стеблей, контактирующего с поверхностью почвы, является периодическое оборачивание, ворошение или вспушивание лент стеблей [9–11]. Последний прием обладает существенными преимуществами, состоящими в технологической и технической простоте выполнения операции, высокой производительности и надежности существующих ворошилок ВЛ-2, ВЛ-3, вспушивателей ВЛН-4,5 и др. [15–17]. Поэтому подавляющее большинство производителей отдают предпочтение вспушиванию лент стеблей. Однако, наряду с положительными отличиями, все современные машины заметно ухудшают структурные параметры слоя стеблей, снижая его пригодность для эффективной реализации процесса выделения длинного волокна из тресты на льнозаводе [18; 19]. Указанный недостаток является следствием принципа работы наиболее известных вспушивателей, в которых подбирающий барабан производит вспушивание тресты с хаотичным смещением различных участков растений в направлении движения агрегата. Это вызывает перекосы и перекрещивания, а также увеличивает растянутость стеблей в ленте. Кроме того, неподбор слоя стеблей указанными машинами достигает 10 % [8]. Исключением из обозначенного ряда машин являются вспушиватели ТПЛ-1 (В-1), в которых подобранная лента стеблей перемещается над подбирающим рабочим органом [7]. Такой способ реализации вспушивания предполагает максимальное сохранение исходных структурных параметров слоя стеблей. Основной недостаток машины ТПЛ-1 (В-1) заключается в недостаточной полноте вспушивания при движении на повышенных скоростях. Для того, чтобы фактические показатели качества работы таких вспушивателей удовлетворяли агротехническим требованиям, необходимо снижать скорость движения агрегата. Низкая производительность машин ТПЛ-1 обусловлена также однопоточностью их конструкции [8].
С учетом существующей проблемы в Костромской государственной сельскохозяйственной академии и Федеральном научном центре лубяных культур проводятся исследования [9; 20] по обоснованию параметров и режимов работы вспушивателя лент льна с движением слоя стеблей над подбирающим барабаном, где показатель кинематического режима близок единице [8]. Усовершенствованный таким образом процесс вспушивания должен обеспечить максимальное сохранение исходных значений структурных параметров слоя стеблей, влияющих на выход длинного волокна [21]. Однако, несмотря на логичность приведенных рассуждений, достоверность обозначенной научной гипотезы до настоящего времени изучена недостаточно [9; 20].
Цель работы – поиск средств и методов сохранения структурных параметров слоя стеблей при вспушивании лент льнотресты.
Обзор литературы
Ворошение (далее – вспушивание) лент льна-долгунца – технологическая операция по отрыву стеблей от почвы с целью улучшения аэрации и рыхления без их переворачивания2. Применяется в технологиях приготовления тресты лубяных культур в естественных условиях путем росяной мочки.
В льноводстве для вспушивания лент льнотресты используются различные методы и устройства, сведения о которых есть в исследованиях ученых.
В исследовании С. Б. Павлова3 обоснованы параметры и режимы работы ворошилок лент льна ВЛ-2 и ВЛ-3. Определена рациональная форма зуба, рабочая часть которого выполнена по дуге окружности, а прямолинейные его участки расположены радиально. Показано, что дугообразные зубья, перекатываясь по лентам, вначале тыльной стороной надавливают на стебли льна и только после этого, перекатываясь по ним, входят в ленту, что приводит к их повреждениям, влияющим на выход длинного волокна. Исследованиями также подтверждено значительное перепутывание стеблей в ленте и увеличение их растянутости в слое, что является одной из главных причин низкого выхода длинного волокна при переработке тресты на льнозаводе [5]. Разработаны требования, которым должны отвечать вспушиватели лент льна.
Для повышения качества вспушивания различных по толщине и засоренности лент разработаны и обоснованы параметры механизма для одновременного поворота зубьев на дисках, обеспечивающего изменение угла их вхождения в слой стеблей [17].
В одном из рассмотренных нами исследований получено выражение, описывающее характер абсолютного перемещения диска с зубьями с учетом колебания оси вращения [21]. Определены пределы изменения кинематического режима ворошилки.
Динамические особенности взаимодействия зубьев с лентой стеблей также рассмотрены ранее [22]. Показано, что для повышения эффективности работы вспушивателя форма зубьев должна быть выполнена в форме эвольвенты. Обоснованы основные параметры и режимы работы аппарата безударного воздействия на ленту льна.
При реализации технологий уборки льна-долгунца эффективность применения средств механизации во многом зависит от качества сформированных и разостланных на льнище лент. Ученые Костромской государственной сельскохозяйственной академии провели статистические исследования по выявлению различных дефектов лент льна в целях эффективной профилактики их возникновения [8]. Для эффективной профилактики возникающих дефектов лент льна следует применять технические средства, выполняющие расстил лент принудительно и максимально близко к поверхности поля, выращивать незасоренные посевы культуры.
Анализ причин снижения выхода длинного волокна на льнозаводах позволил установить, что наиболее весомым фактором (с долей влияния свыше 50 %) является пониженная пригодность слоя стеблей льна к трепанию, обусловленная изменениями его структурных параметров, ухудшающихся главным образом на этапах уборки льна.
В результате научных изысканий разработана система требований, предъявляемых к слою стеблей для наиболее полного выделения длинного волокна при переработке тресты4:
– слой стеблей должен быть оптимально расположен относительно зажимных транспортеров трепальных машин, быть непрерывным и равномерным;
– стебли в нем должны быть подкомлеваны, иметь наименьшую угловую дезориентацию.
С учетом этих требований для эффективной переработки льнотресты на льнозаводе обозначены основные структурные параметры, характеризующие качество разостланных лент льна и влияющие на пригодность слоя к трепанию: кривизна ленты, растянутость, перекосы и перекрещивания стеблей в ней, а также разрывы лент стеблей5.
Исследованиями установлено, что увеличение растянутости стеблей по комлям до 0,3 м снижает пригодность слоя к обработке трепанием до 86 % [24]. Если стебли в таком слое дезориентированы до α = 45⁰, то пригодность падает до 75 %. В работах [25; 26] также отмечается, что только за счет уменьшения растянутости и устранения перекосов стеблей в слое путем прочеса можно увеличить выход длинного волокна на пять абсолютных процентов (или в среднем на 2,5 %).
Анализ работ по вспушиванию лент льна показал, что имеется множество научных и опытно-конструкторских работ, в которых изложены результаты теоретических и экспериментальных исследований по обоснованию параметров и режимов работы вспушивателей, приведены конструкционные схемы и описаны их отличительные особенности [5; 8; 9].
Однако некоторые вопросы работы вспушивателей в производственных условиях изучены недостаточно или не рассматривались вообще. Не проведена сравнительная оценка качества лент тресты, обработанных серийной машиной и опытными вспушивателями в производственных условиях. Не дана оценка влияния разных способов вспушивания на изменение структурных параметров ленты стеблей и выход длинного волокна.
Материалы и методы
Для достижения поставленной цели программа экспериментальных исследований предусматривала получение первичной информации в виде реализаций исследуемых процессов в производственных условиях опытного поля Костромской государственной сельскохозяйственной академии с последующей обработкой опытных данных методами математической статистики с помощью компьютерной программы STATGRAPHICS Plus 5.0. При этом вычисляли основные вероятностные характеристики процессов изменения структурных параметров ленты льна: математические ожидания – m, средние квадратические отклонения – s, коэффициенты вариации – V, нормированные корреляционные функции – r(l), взаимные корреляционные функции – ra-b(l) и спектральные плотности – S(w).
Для проведения опытов выбирали участки поля с выровненными микрорельефом и стеблестоем со следующей характеристикой: сорт «сурский» в желтой спелости; урожайность при нормированной влажности – льносоломы 4,1 т/га, семян – 0,42 т/га; средняя общая длина стеблей – 0,78 м; средний диаметр стеблей – 1,29 мм; густота стеблестоя – 1 410 шт/м2; зона расположения семенных коробочек – 0,21 м; влажность стеблей – 59,3 %, семенных коробочек – 47,9 %; масса травостоя – 20 г/м2. Уборку посевов в опытах проводили в соответствии с ГОСТ 33734-20166, оценку льнотресты по ГОСТ 53143-20087, а льна трепаного согласно ГОСТ 53484-20098.
Исследования проводили на лентах, разостланных по льнищу серийным льнокомбайном ЛК-4А, на рабочей скорости агрегата 2,5 м/с. Для создания условий необходимости вспушивания делали технологический перерыв для вылежки льнотресты и прорастания на ленте стеблей сорной растительности в течение трех недель. Для оценки качества тресты была принята ее лента, разостланная льнокомбайном (контрольный вариант III), и вспушенные серийной ворошилкой ВЛ-3 (вариант I) и опытным вспушивателем (вариант II) ленты в агрегатах с тракторами МТЗ-80 (рис. 1).
Р и с. 1. Ворошилка ВЛ-3 (вариант I) – а) и опытный вспушиватель (вариант II) – b) при проведении опытов
F i g. 1. The VL-3 tedder (option I) – a) and the experimental fluffer (option II) – b) during the experiments
При этом в каждом варианте производили замеры кривизны исходной и вспушенной лент льна, перекосов, растянутости и перекрещивания стеблей в ней, а также разрывов ленты до прохода агрегата (процесс а) и после ее вспушивания (процесс b).
Для регистрации процессов Yк(L) изменения кривизны исходной и вспушенной лент льна измеряли ординаты расположения комлевых частей Yк слоя стеблей относительно базовой линии, в качестве которой использовали шнур длиной 20 м, натянутый в направлении движения агрегата на расстоянии 0,2 м от комлей в начале и конце каждого такого участка ленты.
Сбор информации для оценки влияния разных вспушивателей на процесс перекосов стеблей в ленте α(L) выполняли путем замера максимальных углов α отклонения стеблей от перпендикуляра к направлению движения агрегата. Поскольку разные направления перекосов стеблей одинаково негативно влияют на пригодность слоя к трепанию, то при выполнении замеров, в том числе и при отборе проб с перекрещиванием стеблей в ленте, фиксировали абсолютные значения показателя – | α |.
В обоих случаях замеры производили в сечениях ленты с шагом дискретизации ΔL = 0,5 м на десяти последовательно расположенных участках. Таким образом, общая длина L ансамбля реализаций в каждом варианте вспушивания составила 200 м ленты, то есть по 400 значений ординат Yк и углов α. Измерения выполняли с помощью нестандартных приборов (рис. 2), позволяющих достаточно точно выдерживать шаг дискретизации.
Р и с. 2. Измерение: а) – ординат комлевой части ленты относительно базовой линии; b) – ординат углов перекоса стеблей в ленте
F i g. 2. Measurement: a) – ordinate of the butt part of the strip relative to the baseline; b) – ordinate of the angles of the distortions of the stems in the strip
При этом полученный ряд значений ординат Yк подвергали корреляционно-спектральному анализу с предварительной фильтрацией исходного массива чисел от нехарактерных сигналов9.
Для анализа угловой дезориентации стеблей в ленте вычисляли основные числовые характеристики процесса α(L) и вероятность нарушения агротехнических требований к указанному параметру по выражению:
, (1)
где Ф* – стандартная функция распределения Лапласа; αд – допустимое значение угла перекоса стеблей во вспушенной ленте, градус; mα и σα – математическое ожидание и среднее квадратическое отклонение процесса α(L).
Практические расчеты по формуле (1) выполняли с учетом суммы допустимых значений перекосов стеблей, отраженных в агротехнических требованиях к работе льноуборочных комбайнов αк ≤ 20° и вспушивателей αв ≤ 8°, то есть αд ≤ 28°.
Для оценки влияния различных способов вспушивания на изменение растянутости стеблей в ленте отбирали по десять горстей массы стеблей с каждой реализации до прохода агрегата и после вспушивания. Далее, замеряли длину каждой горсти, среднюю длину стеблей в горсти и вычисляли увеличение относительной растянутости ∆λ в ǀ%ǀ по формуле:
(2)
где hв – горстевая длина стеблей во вспушенной ленте, см; hи – горстевая длина стеблей в исходной ленте, см; – средняя длина стеблей в горсти, см.
Разрывы в лентах L0 вычисляли в процентах от общей длины реализации.
Для проведения технологической оценки тресты во время замеров структурных параметров ленты на ней отмечались участки конкретной длины. Затем для сохранения целостности и структурных параметров ленты льнотресты отмеченные участки (пробы) прошивались нитями (ручной мини швейной машинкой Handy Stitch), помечались этикетками и отправлялись в лабораторию технологического анализа Федерального научного центра лубяных культур на переработку.
Результаты исследования
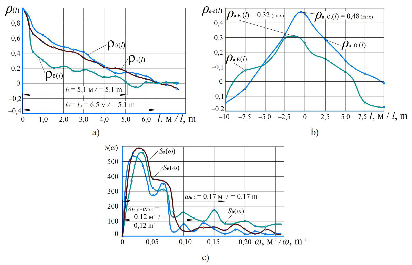
В результате обработки первичной информации о процессах Yк(L) изменения кривизны лент стеблей льна получили нормированные корреляционные функции ρ(l), взаимные корреляционные функции ρa−b(l) и спектральные плотности S(ω) изучаемых объектов (рис. 3).
Р и с. 3. Результаты корреляционно-спектрального анализа: а ‒ нормированные корреляционные функции; b ‒ взаимные корреляционные функции; с ‒ спектральные плотности
F i g. 3. Results of correlation and spectral analysis: a ‒ normalized correlation functions; b ‒ mutual correlation functions; c ‒ spectral densities
На рисунке 3 (а) показаны нормированные корреляционные функции процессов изменения кривизны лент стеблей льна. Из характера протекания кривых видно, что наиболее близки друг к другу корреляционные функции, полученные по реализациям исходной ленты ρи(l) и ленты, обработанной опытным вспушивателем, – ρо(l). Сокращение интервала корреляционной связи до lи =5,1 м между ординатами комлевой части в ленте, вспушенной серийной машиной ВЛ-3, свидетельствует об увеличении беспорядочности пульсаций указанного процесса.
При рассмотрении графиков взаимных корреляционных функций установлена более тесная связь между исходным процессом и процессом, полученным после вспушивания ленты стеблей опытной машиной, с максимальным коэффициентом взаимной корреляции ρи.о = 0,48(max) (рис. 3, b). Обработка исходной ленты серийной ворошилкой ВЛ-3 вносит более заметные изменения в параметры ее кривизны со снижением взаимной корреляции до ρи.В. = 0,32(max).
Анализ исследуемых процессов в частотной области показывает, что изменения кривизны ленты во всех вариантах являются низкочастотными и узкополосными случайными процессами, у которых основные доли спектральных плотностей S(ω) сосредоточены в относительно узком диапазоне частот от 0 до 0,12 м−1 (рис. 3, b). При этом следует отметить, что работа ворошилки ВЛ-3 расширяет спектр дисперсий до частот ωс = 0,17 м−1. Кроме того, визуальный анализ спектральных плотностей за пределами значений срезовых частот ω > ωс показывает, что серийный вспушиватель заметно (в 2–3 раза) увеличивает амплитуды высокочастотных колебаний кривизны ленты льна по сравнению с колебаниями кривизны исходной ленты в том же частотном диапазоне. При этом следует положительно отметить, что воздействие опытной машины на ленту льна не произвело существенных изменений в частотной области изучаемого объекта.
На основании результатов корреляционно-спектрального анализа видно, что внутренняя структура исследуемого процесса максимально сохраняется при работе опытного вспушивателя, тогда как серийная машина ВЛ-3 оказывает существенное влияние на беспорядочность пульсаций с двух- и трехкратным увеличением амплитуд колебаний.
Аналогичная картина выявлена также и при анализе результатов исследования влияния воздействий серийной и опытной машин на изменение перекосов стеблей в ленте (табл. 1).
Т а б л и ц а 1
T a b l e 1
Статистические характеристики процессов перекоса стеблей a(L), градус
Statistical characteristics of stem skewing processes a(L), degree
Вариант / Option | min | max | mα | σα | , % |
Исходный / Source | 0 | 25,2 | 10,13 | 5,72 | 0,18 |
I | 0 | 39,0 | 16,12 | 9,41 | 20,76 |
II | 0 | 28,3 | 11,17 | 5,77 | 0,36 |
Несмотря на то, что во всех вариантах математические ожидания процессов α(L) находятся в допустимых пределах mα ≤ 28°, воздействия рабочих органов ворошилки ВЛ-3 (вариант I) наиболее заметно увеличивают перекосы стеблей (в среднем на 6°) по отношению к значению аналогичного параметра в исходной ленте. При этом следует отметить, что с учетом диапазона рассеивания значений ±3σα максимальная вероятность нарушения агротехнических требований также наблюдается при работе серийной машины. Вместе с тем опытный вспушиватель допускает наименьшие изменения анализируемых показателей (вариант II).
Одним из важных структурных параметров, влияющих на пригодность слоя к трепанию, является растянутость стеблей относительно друг друга. Указанный параметр также получил существенные изменения под влиянием пальцев подбирающих барабанов ворошилки ВЛ-3 (табл. 2).
Т а б л и ц а 2
T a b l e 2
Относительная растянутость стеблей и разрывы в лентах
Relative elongation of stems and breaks in ribbons
Вариант / Option | Растянутость стеблей в ленте, раз / The elongation of the stems in the ribbon, times | Разрывы в лентах, % / Gaps in the tapes, % | ||||
λ исх. | λ всп. | ∆λ, %абс. | L0исх. | L0всп. | ∆L0 | |
I | 1,407 | 1,476 | 6,9 | 0,56 | 5,55 | 4,99 |
ΙΙ | 1,381 | 1,389 | 0,8 | 0 | 0,83 | 0,83 |
При этом относительная растянутость стеблей во вспушенной ленте увеличилась на 6,9 %. Кроме того, серийная машина образовала разрывы в лентах со сгруживанием массы стеблей, что затруднит просушивание слоя в местах его уплотнения. При работе опытного вспушивателя указанные параметры также получили изменения, но менее заметные и несущественные.
Технологическая оценка льнотресты проводилась в Федеральном научном центре лубяных культур с целью изучения влияния разных технических средств и структурных параметров ленты стеблей на выход и качество длинного волокна. Исследования проводились с использованием льнокомбайна ЛК-4А (расстил ленты), ворошилки (вспушивателя) ленты ВЛ-3 и опытного вспушивателя ленты. Определялось влияние на эти показатели основных структурных параметров ленты: перекоса, растянутости и перекрещивания стеблей в ней. Результаты эксперимента, статистически доказуемые, показаны в таблице 3.
Т а б л и ц а 3
T a b l e 3
Показатели технологической оценки льнотресты в лабораторно-полевом опыте
Indicators of technological evaluation of flax straw in laboratory and field experience
Вариант / Option | Структурный параметр ленты стеблей / Structural parameter of the ribbon of stems | Показатели структурных параметров ленты / Indicators of the structural parameters of the tape | Длинное волокно / Long fiber | ||
Выход, % / Exit, % | Средний интерполированный номер / Average interpolated number | Процентономер / Percentage number | |||
Ⅰ (ВЛ-3) / Ⅰ (VL-3) | Перекос стеблей в ленте, град. / Skewed stems in the ribbon, hail | 37,3 | 12,25 | 9,6 | 117,6 |
Растянутость стеблей в ленте, раз. / Elongation of the stems in the ribbon, times | 1,45 | 11,65 | 9,5 | 110,68 | |
Перекрещивание стеблей в ленте (сетка), град. / Crossing of stems in a ribbon (grid), hail | +36; ‒35,3 | 11,30 | 9,4 | 106,22 | |
Ⅱ (ОВ) / Ⅱ (OV) | Перекос стеблей в ленте, град. / Skewed stems in the ribbon, hail | 27,9 | 13,05 | 10,2 | 133,11 |
Растянутость стеблей в ленте, раз. / Elongation of the stems in the ribbon, times | 1,35 | 12,4 | 10,0 | 124,0 | |
Перекрещивание стеблей в ленте (сетка), град. / Crossing of stems in a ribbon (grid), hail | +28; ‒25,4 | 11,69 | 9,8 | 114,56 | |
Ⅲ (ЛК-4А) / Ⅲ (LC-4A) | Перекос стеблей в ленте, град. / Skewed stems in the ribbon, hail | 20,2 | 13,5 | 11,0 | 148,5 |
Растянутость стеблей в ленте, раз. / Elongation of the stems in the ribbon, times | 1,3 | 13,0 | 10,8 | 140,4 | |
Перекрещивание стеблей в ленте (сетка), град. / Crossing of stems in a ribbon (grid), hail | +21,2; ‒19,8 | 12,9 | 10,4 | 134,16 | |
Из таблицы 3 следует, что в сравнении с лентами, разостланными льнокомбайном ЛК-4А, наибольшее негативное влияние на показатели выхода и качества длинного волокна оказывает ворошилка (вспушиватель) лент ВЛ-3 (среднее в сравнении с контролем снижение выхода длинного волокна по трем указанным структурным параметрам ленты на 11,19 %, а номера на 1,13 единицы). Наименьшее такое влияние на эти показатели оказывает опытный вспушиватель лент (среднее в сравнении с контролем снижение выхода длинного волокна составило 6,1 %, их номера ‒ на 0,73 единицы).
В результате оценки тресты установлено влияние структурных параметров ленты на показатели выхода и качества длинного волокна (табл. 3). Во всех трех вариантах опыта наибольшее негативное влияние на указанные показатели оказывает перекрещивание стеблей в ленте, а наименьшее – перекос ленты стеблей. Растянутость стеблей в ленте занимает промежуточное положение между этими вариантами.
Обсуждение и заключение
Проведенные исследования показали, что ухудшение структурных параметров слоя стеблей делает его малопригодным для эффективного выделения длинного волокна на льнозаводе. В большинстве случаев указанный недостаток является следствием принципа работы современных машин для вспушивания лент льна. При этом серийные ворошилки и вспушиватели производят технологический процесс, при котором лента стеблей перемещается под подбирающим барабаном, вызывая тем самым хаотичные перекосы и перекрещивания стеблей, а также увеличение растянутости стеблей в ленте.
Исследования показывают, что дополнительные механические воздействия на ленту стеблей, возникающие при работе вспушивателя с перемещением ленты стеблей под подбирающим барабаном, могут быть существенно снижены за счет улучшения конструкции рабочих органов (формы зуба, копирующего устройства и др.) вспушивателя лент. Разработанный опытный образец вспушивателя, перемещающий ленту стеблей над подбирающим барабаном с показателем кинематического режима, равным единице, в котором каждый палец подбирающего барабана копирует поверхность поля независимо от других, позволяет максимально сохранить исходные структурные параметры ленты и устранить дополнительное механическое воздействие на стебли.
Результаты сравнительных исследований процессов вспушивания лент стеблей льна серийной и опытной машинами показали, что во всех вариантах низкочастотный диапазон изгибов исходной и вспушенных лент остался неизменным. Однако за пределами срезовых частот ω > 0,12…0,17 м−1 амплитуды колебаний кривизны ленты льна получили существенные изменения (в 2–3 раза) в результате воздействий рабочих органов серийной ворошилки ВЛ-3. Хаотичность указанных пульсаций возросла в связи с увеличением перекосов и растянутости стеблей в ленте на 6,0° и 6,9 % соответственно. Вместе с тем опытный образец опытного вспушивателя произвел наименьшие изменения структурных параметров слоя стеблей, влияющих на выход и качество длинного волокна.
Таким образом, экспериментально установлено, что перемещение ленты стеблей льнотресты под подбирающим барабаном уменьшает выход и качество длинного волокна по сравнению с его выходом и номером при транспортировке ленты над подбирающим барабаном, что необходимо учитывать при разработке новых технических средств аналогичного значения.
Применение опытного вспушивателя обеспечило среднюю выработку длинного волокна 12,38 %, а его номер составил 10 единиц, что в сравнении с ворошилкой ВЛ-3 выше на 0,65 % и на 0,5 единицы соответственно.
1 Колчина Л. М., Крюков И. В. Технологии и технические средства для возделывания, уборки и первичной переработки льна-долгунца : Каталог-справочник. М. : ФГНУ Росинформагротех, 2003. 132 с.
2 ГОСТ Р 52784-2007. Лен-долгунец. Термины и определения. М., 2007.
3 Павлов С. Б. Обоснование технологического процесса и параметров рабочих органов для ворошения лент льна : дис. ... канд. техн. наук. Рязань, 1993. 157 с.
4 Ипатов А. М. Теоретические основы механической обработки стеблей лубяных культур. М. : Легпромбытиздат, 1989. 137 с.
5 Баринов А. А. Разработка параметров системы управления расположением слоя стеблей при получении трепаного льняного волокна : автореф. дис. … канд. техн. наук. Кострома, 2010. 15 с.
6 ГОСТ 33734-2016. Техника сельскохозяйственная. Комбайны и машины для уборки льна. Методы испытаний. М., 2017.
7 ГОСТ 53143-2008. Треста льняная. Требования при заготовках. М., 2009.
8 ГОСТ 53484-2009. Лен трепаный. Технические условия. М., 2010.
9 Кулаичев А. П. Методы и средства комплексного статистического анализа данных : учебное пособие. М. : ИНФРА-М, 2022. 484 с.
About the authors
Alexander N. Zintsov
Kostroma State Agricultural Academy
Email: zintsov_a@mail.ru
ORCID iD: 0000-0003-3443-2015
Professor of the Chair of Tractors and Automobiles
Russian Federation, KaravaevoMixail M. Kovalev
Federal Research Center for Bast Crops
Author for correspondence.
Email: m.kovalev@fnclk.ru
ORCID iD: 0000-0003-2424-4205
Chief Researcher, D.Sci. (Engr.)
Russian Federation, TverGennady A. Perov
Federal Research Center for Bast Crops
Email: g.perov@fnclk.ru
ORCID iD: 0000-0002-5830-6817
Leading Researcher, Cand.Sci. (Engr.)
Russian Federation, TverMixail G. Perov
Federal Research Center for Bast Crops
Email: mexanikuspost@yandex.ru
ORCID iD: 0009-0007-3847-3785
Researcher
Russian Federation, TverVyacheslav A. Dobretsov
Kostroma State Agricultural Academy
Email: dobrvsoligrad@mail.ru
ORCID iD: 0000-0001-6255-4824
Master's Student
Russian Federation, KaravaevoReferences
- Rostovtsev R.A., Chernikov V.G., Ushchapovsky I.V., Popov R.A. The Main Problems of Scientific Support of Flax Growing. Agricultural Machinery and Technologies. 2020;14(3):45–52. (In Russ., abstract in Eng.) https://doi.org/10.22314/2073-7599-2020-14-3-45-52
- Perov M.G. Analysis of the State and Ways to Improve the Quality of Flax. Science in Central Russia. 2022;58(4):53–61. (In Russ.) https://doi.org/10.35887/2305-2538-2022-4-53-61
- Romanov V.A., Kovalov M.M., Lachuga Yu.F., Perov G.A. [Method of Fluffing Flax Ribbons]. Patent 2,559,004 Russian Federation. 2015 August 10. 5 p. (In Russ.)
- Akin D.E. Linen Most Useful: Perspectives on Structure, Chemistry, and Enzymes for Retting Flax. International Scholarly Research Notices. 2013;186534. (In Russ., abstract in Eng.) https://doi.org/10.5402/2013/186534
- Mankowski J., Maksymiuk W., Spychalski G., Kołodziej J., Kubacki A., Kupka D. Research on New Technology of Fiber Flax Harvesting. Journal of Natural Fibers. 2017;15(1):53–56. https://doi.org/10.1080/15440478.2017.1302390
- Smirnov N.A., Smirnov S.V. Ways to Increase the Level of Mechanization During Flax Harvesting. Machine-Technological Modernization of Flax Agro-Industrial Complex on an Innovative Basis. Collection of Scientific Papers of VNIIML. Tver State University. 2014;80–85. Available at: https://www.cnshb.ru/Vexhib/volk/14_12729.pdf (accessed 17.05.2023). (In Russ.)
- Zintsov A.N., Bilan M.M. On the Need to Improve the Process of Fluffing Tapes of Linen Trusts. Agrarian Bulletin of Nechernozemye. 2022;(2):38–44. (In Russ.) https://doi.org/10.52025/2712-8679_2022_02_38
- Kovalev M.M., Perov G.A., Perov M.G. Intensification of the Process of Fluffing Flax Ribbons. Machinery and Equipment for Countryside. 2015;(12):24–29. Available at: https://clck.ru/36jDDZ (accessed 17.05.2023). (In Russ.)
- Kovalev M.M., Perov G.A., Zubanov V.V. Experimental Studies of the Innovative Flaxseed Fluffer. Machinery and Equipment for Countryside. 2016;(8):32–36. Available at: https://clck.ru/36jDRW (accessed 17.05.2023). (In Russ.)
- Perov G.A., Kovalev M.M., Zubanov V.V. [Flax Ribbon Fluffer]. Patent 2,527,510 Russian Federation. 2014 September 10. 6 p. (In Russ.)
- Zintsov A.N., Kovalev M.M., Perov G.A. Probabilistic Model of the Kinematics of the Device for Reducing Elongation of Flax Fiber Stems in the Tape. Engineering Technologies and Systems. 2022;32(1):126–144. (In Russ., abstract in Eng.) https://doi.org/10.15507/2658-4123.032.202201.126-144
- Smirnov N.A., Smirnov S.S. Verification of a New Technology of Harvesting and Preparation for Processing Trusts in Production Conditions. Proceedings of the Kostroma State Agricultural Academy. 2008;(68):90–98 Available at: https://search.rsl.ru/ru/record/01004334581?ysclid=lpkwokjeqh72380934 (accessed 07.06.2023). (In Russ.)
- Smirnov N.A. New Technologies of Flax Harvesting, Harvesting and Preparation for Processing Trusts. Mechanization and Electrification of Agriculture. 2009;43(1):169–173. Available at: https://mechel.belal.by/jour/article/view/71 (accessed 07.06.2023). (In Russ.)
- Smirnov N.A., Sokolov V.N., Smirnov S.V. [Picking Apparatus for Stems of Agricultural Crops]. Patent 2,658,387 Russian Federation. 2018 June 21. (In Russ.)
- Smirnov N.A., Sokolov V.N., Yablokov A.A., Smirnov S.V. [Flax Ribbon Fluffer]. Patent 2,694,887 Russian Federation. 2019 July 18. (In Russ.)
- Perov G.A., Kovalev M.M., Zubanov V.V. [Flax Ribbon Fluffer]. Patent 2,547,391 Russian Federation. 2015 April 10. (In Russ.)
- Petrochenko D.A., Koropchenko S.P. The Influence of Preparatory Operations in the Process of Layer Formation on the Yield of a Long Fiber. Austrian Journal of Technical and Natural Sciences. 2014;(5–6):56–58. Available at: https://clck.ru/36jqnP (accessed 04.23.2023). (In Russ.)
- Lachuga Y.F., Zintsov A.N., Kovalev M.M., Perov G.A. Investigation of the Process of Plant Swath Alignment in the Second Stage of the Fiber Flax Swath Harvesting. Russian Agricultural Sciences. 2023;49(1):89–95. https://doi.org/10.3103/S106836742301010X
- Zintsov A.N., Sokolov V.N. A New Process of Plowing Flax Belts. Tractors and Agricultural Machines. 2020;87(6):91–100. (In Russ.) https://doi.org/10.31992/0321-4443-2020-6-91-100
- Tsvetkov A.O., Smirnov N.A. An Analysis of the Work of the Ribbon Fluffers Linen Trusts. Proceedings of the Kostroma State Agricultural Academy. 2016;(85):132–136. Available at: https://reader.lanbook.com/journalArticle/395702 (accessed 06.07.2023). (In Russ.)
- Kovalev M.M. Substantiation of Parameters and Modes of Operation of the Pick-up Apparatus of Impact-Free Impact on the Flax Ribbon. Silskohospodarski mashyny. 2009;18:157–166. Available at: https://eforum.lntu.edu.ua/index.php/jurnal32/issue/view/77/%D0%92%D0%98%D0%9F%D0%A3%D0% A1%D0%9A%2018 (accessed 07.06.2023). (In Russ.)
- Nalobina O.O., Gerasymchuk O.P., Puts V.S., Marchuk M.M. Research of the Flax Stems Line Arranging Mechanism. INMATEH – Agricultural Engineering. 2017;53(3):51–56. EDN: YBHKLZ
- Heller K. Technologie Uprawy i Przerobu Lnu i Konopi w Warunkach Zrównoważonego i Wielofunkcyjnego Rozwoju Rolnictwa Polskiego. Fragmenta Agronomica. 2007;24(3):181–186. (In Pol.). Available at: http://www.pta.up.poznan.pl/fragmenta-agronomica-vol-24-no-3-2007.html (accessed 07.06.2023).
Supplementary files























