Повышение урожайности и качества зерна озимой пшеницы за счет применения инновационных удобрений и сельхозмашин
- Авторы: Милюткин В.А.1, Овчинников В.А.2
-
Учреждения:
- Самарский ГАУ
- Национальный исследовательский Мордовский государственный университет
- Выпуск: Том 33, № 1 (2023)
- Страницы: 52-67
- Раздел: Агроинженерия
- Статья получена: 23.05.2025
- Статья одобрена: 23.05.2025
- Статья опубликована: 02.06.2025
- URL: https://journals.rcsi.science/2658-4123/article/view/293226
- DOI: https://doi.org/10.15507/2658-4123.033.202301.052-067
- ID: 293226
Цитировать
Полный текст
Аннотация
Введение. Статья посвящена исследованию оптимизации процесса применения жидких азотных минеральных удобрений на основе карбамидно-аммиачной смеси
как в серийном виде КАС-32, так и в инновационном КАС+S (c добавлением мезоэлемента серы S) в качестве подкормки озимой пшеницы весной в период кущения. Процесс внесения осуществляли поверхностно по посевам с крупнокапельными форсунками серийным штанговым опрыскивателем «Туман-2» и инжекторно-инновационным агрегатом мультиинжектором «Туман-2М».
Цель статьи. Обосновать рациональные технологии с основными составляющими эффективного применения КАС на основных видах сельскохозяйственных культур.
Материалы и методы. В процессе исследования использованы общепринятая методика полевого опыта, ОСТы и ГОСТы на испытания машин для внесения удобрений. В качестве объектов исследований были приняты жидкие азотные минеральные удобрения КАС-32 и КАС+S производства ПАО «КуйбышевАзот», которые вносились опрыскивателями «Туман-2» и «Туман-2М» предприятия ООО «Пегас-Агро».
Результаты исследования. Проведенные Самарским ГАУ полевые сравнительные испытания инновационных технологий применения КАС показали увеличение урожайности озимой пшеницы сорта Базис до 59,9 %, по сравнению с вариантом обработки посевов аммиачной селитрой. Кроме того, применение КАС+S повышает классность пшеницы по белку с III до I класса, по клейковине – с III до II класс.
Обсуждение и заключение. Жидкие минеральные удобрения КАС имеют преимущество, по сравнению с аммиачной селитрой, особенно в засушливые годы, что весьма актуально в условиях прогнозируемого глобального потепления. Полученные результаты имеют большое значение для широкого внедрения данной инновационной технологии в АПК .
Ключевые слова
Полный текст
Введение
Современное сельское хозяйство обеспечивает население продовольствием. Оно должно быть разнообразным и качественным. К сожалению, проблема дефицита продовольствия актуальна, и она усугубляется. Российская Федерация, располагая значительными земельными ресурсами, эффективно реформировав агропромышленный комплекс, становится одной из ведущих стран по производству продуктов питания как для собственного населения, так и для экспорта. Существенным фактором, обеспечивающим производство сельскохозяйственной продукции в требуемом количестве, является сохранение и приумножение плодородия почв, что в настоящее время обеспечивается не в полной мере. Для этого отечественной и мировой наукой разрабатываются интенсивные технологии с использованием инновационных агрохимических (исследовались удобрения ПАО «КуйбышевАзот») и технических средств (система машин «Туман» ООО «Пегас-Агро») для эффективного их применения. По заключению основателя отечественной агрохимии Д. Н. Прянишникова, «главным условием, определяющим среднюю высоту урожая в разные эпохи, является степень обеспеченности сельскохозяйственных культур азотом» [1].
Наряду с традиционно применяемыми в сельском хозяйстве твердыми азотными удобрениями, большое распространение в мире получает жидкое удобрение на основе карбамидо-аммиачной смеси (КАС), особенно для засушливых условий и прогнозируемого глобального потепления1 [1–3]. КАС как вид жидкого азотного удобрения был запатентован в США в марте 1984 года. Карбамидо-аммиачная смесь сейчас успешно применяется в Европе, США, Австралии и других странах мира для выращивания злаков, фруктов, технических культур.
В связи с интенсивным распространением КАС в России в ряд регионов на юге и севере, отечественная химическая промышленность, компании «Акрон», «ЕвроХим», «КуйбышевАзот» и «СДС Азот», поставляет более 3,5 млн т КАС-32 для 35 млн га сельскохозяйственных угодий при среднем расходе в 100 кг/га по различным технологиям его внесения.
В значительной степени проблема сохранения и повышения плодородия почв связана со всесторонним изучением КАС, требующим особых технологий и технических средств при применении2[4; 5].
Цель исследования – обоснование рациональных технологий с основными составляющими эффективного применения КАС на основных видах сельскохозяйственных культур.
Обзор литературы
В своих исследованиях ученые Самарского ГАУ основывались на результатах исследований по оптимизации технологий применения КАС различного состава на сельскохозяйственных культурах3 [4–6]. При этом учитывали коэффициент использования азота минеральных удобрений растениями и его регулирование [1], оценку влияния жидких комплексных удобрений на урожайность зерна озимой пшеницы [2], агроэкономическую оценку применения жидких азотных удобрений в сельском хозяйстве4, разработки по интеллектуальным машинным технологиям и технике для реализации государственной программы развития сельского хозяйства [3], расход ресурсов биологического азота в земледелии России [4], сравнительную оценку жидких азотных и азотосеросодержащих удобрений на базе КАС, по сравнению с твердыми минеральными удобрениями5, алгоритм оценки и выбора машинных технологий с учетом показателей экологической устойчивости сельских территорий [5], инновационную технику и технологии применения жидких удобрений КАС в регионах с недостаточным увлажнением при прогнозируемом глобальном потеплении [6–10].
По имеющейся информации и проведенному научному обзору определено главное – жидкие азотные минеральные удобрения КАС имеют существенное положительное влияние на развитие, урожайность и качество ликвидных возделываемых сельскохозяйственных культур. При этом КАС
– дешевый и прост в производстве;
– безопасный при перевозках, хранении и использовании;
– в отличие от других видов азотных солей, использующихся в сельском хозяйстве, не взрывается, менее опасен для здоровья;
– универсальный (КАС широко используется для внесения в почву и внекорневой подкормки, что особенно важно для влажных местностей, где азот легко вымывается из почвы);
– долго действует (в смеси азот содержится в трех видах, из которых четверть (ионы NO3) сразу доступна для поглощения растениями, также доступна для усвоения другая четверть – ионы NH4, которая быстро может перерабатываться почвенными нитрифицирующими бактериями в нитраты NO; оставшаяся половина общего количества азота постепенно превращается под воздействием почвенных энзимов в NH4, а затем в NO3, что обеспечивает длительность периода действия удобрения);
– используется как основа для добавления других видов подкормок и пестицидов [11–15].
Анализ литературных источников по рассматриваемой теме показывает, что с учетом физико-механических и химических свойств КАС необходимо совершенствовать существующие технологии применения, так как есть нерешенные вопросы по повышению эффективности его использования [16–20].
Особенно интенсивно совершенствуются сельскохозяйственные машины по внесению КАС. Так поставка на российский аграрный рынок голландской машины-ликвилайзера для более эффективного внутрипочвенного внесения удобрений Duport стимулировала отечественные сельхозмашиностроительные фирмы к созданию отечественных аналогов. В итоге Самарское ООО «Пегас-Агро» разработало систему машин для внесения минеральных удобрений, в частности мультиинжектор «Туман-2M», не уступающий голландской машине6[21–25].
Материалы и методы
В соответствии с поставленными задачами проводились исследования технических средств ООО «Пегас-Агро»: мультиинжектор (ликвилайзер) «Туман-2М» (рис. 1a) и опрыскиватель «Туман-2» (рис. 1b) для внесения азотных жидких минеральных удобрений на основе карбамидно-аммиачной смеси КАС по разным технологиям и нормам внесения с дополнительным добавлением мезо- и микроэлементов.
a) мультиинжектор «Туман-2М»; b) опрыскиватель штанговый «Туман-2»
Fig. 1. Units manufactured by the company Pegas-Agro:
a) multi-injector Tuman-2M; b) rod sprayer Tuman-2
Полевые исследования проводились в значительно отличающиеся по погодным условиям годы (2021 г. – засушливый, 2022 г. – благоприятный по влаге) на опытных полях Самарского государственного аграрного университета по общепринятой методике полевого опыта на озимой пшенице сорта Базис селекции Самарского НИИСХ. В исследованиях использовались КАС-32 (N-32 %) и КАС+S, содержащая 26 % азота и 2,5–4,0 % серы. В отдельных опытах, в соответствии с почвенными анализами, использовалась сложная баковая смесь с добавлением в раствор КАС+S недостающих калия (за счет гумата калия, 5 л/га) и микроэлементов: медь, бор, цинк (по 0,5 кг/га) (табл. 1).
Таблица 1 Варианты опытов в 2021/2022 гг.
Table 1 Variants of experiments in 2021/2022
Варианты опытов / Variants of experiments | ||||||
Контроль: разбрасыватель, аммиач. селитра, 120 кг/га / Control: spreader, ammonia. saltpeter, 120 kg/ha | Опрыскив., «Туман-2» КАС+S, 200 л/га / Sprayer, Tuman-2 CAS+S, 200 l/ha | Мультиинжектор «Туман-2М» / Multi-injector Tuman-2M | КАС+S: Опрыск. + Мультиинжектор, 200 + 250 л/га / CAS+S: Offspring. + Mu-ltiinjector, 200 + 250 l/ha | КАС + S + гум.калия- | ||
КАС+S, 200 л/га / CAS+S, 200 l/ha | КАС+S, 300 л/га / CAS+S, 300 l/ha | КАС+S, 350 л/га / CAS+S, 350 l/ha | ||||
Исследования проводились по следующим схемам (рис. 2).
внесения жидких азотных серосодержащих удобрений КАС+S: а) мультиинжектором «Туман-2М»;
b) штанговым опрыскивателем «Туман-2»
Fig. 2. Experimental site for studies of the effectiveness of intra-soil application of liquid nitrogen
sulfur-containing fertilizers CAS+S: a) multi-injector Tuman-2M; b) rod sprayer Tuman-2
Экспертная оценка широко распространенных в АПК России машинных комплексов «Туман» свидетельствует в первую очередь об эффективно выбранной 3-осевой ходовой платформе с набором шин низкого и сверхнизкого давления. При этом для снижения давления на почву и лучшей сохранности посевов, особенно озимых, используются широкие шины (рис. 1), а для сохранности пропашных культур с междурядьями 70 см при их подкормке устанавливаются узкие шины из комплекта мультиинжектора (рис. 3).
Fig. 3. Multi-injector Tuman-2M with narrow wheels for feeding corn
Особенностью агрегатов «Туман» ООО «Пегас-Агро» является то, что все они собраны на единой транспортно-силовой базе «платформе», что обеспечивает при необходимости их взаимозаменяемость (в течение 5 часов) в зависимости от проводимых агрохимических работ.
Результаты исследования
Технологический процесс внесения жидких удобрений в почву мультиинжектором «Туман-2М» представляет собой подачу раствора под давлением 3 атм к иглам инъекционных колес. Иглы с отверстиями на конце, погружаясь в почву, открывают клапан подачи КАС и впрыскивают его на глубину 6–8 см в зону корнеобразования растений с междурядьями 25–35 см.
В качестве альтернативы мультиинжектору «Туман 2М» использовали опрыскиватель «Туман-2» с пятиструйными крупнокапельными форсунками. В процессе исследований, в соответствии с программой, определяли возможности по прибавке урожайности озимой пшеницы сорта Базис при разных нормах внесения и состава удобрения на базе КАС. Сравнительная эффективность раздельного и одновременного, на одном участке, внесения жидких удобрений КАС мультиинжектором и штанговым опрыскивателем представлена в таблице 2 и в графическом виде на рисунках 4, 5.
Таблица 2 Урожайность озимой пшеницы сорта Базис 2021/2022 гг.
Table 2 The yield of the winter wheat variety Basis in 2021/2022
Варианты опытов / Variants of experiments | ||||||
Контроль: разбрасыватель, аммиач. селитра, 120 кг/га / Control: spreader, ammonia. saltpeter, | Опрыскив., «Туман-2» КАС+S, 200 л/га / Sprayer, Tuman-2 CAS+S, 200 l/ha | Мультиинжектор «Туман-2М» / Multi-injector Tuman-2M | КАС+S: Опрыск. +Мультиинжектор, 200 + 250 л/га / | КАС + S + | ||
КАС+S, 200 л/га / CAS+S, 200 l/ha | КАС+S, 300 л/га / CAS+S, 300 l/ha | КАС+S, 350 л/га / CAS+S, 350 l/ha | ||||
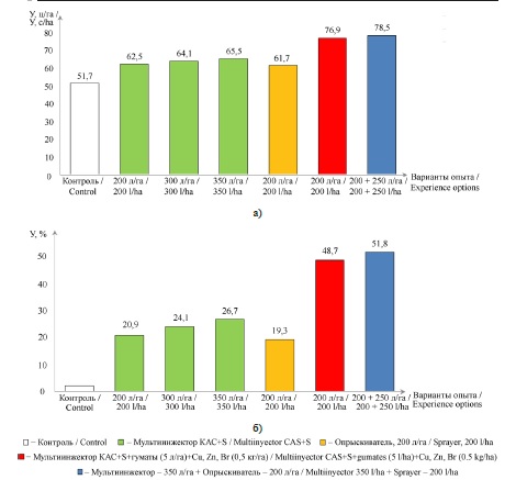
39,9 / 51,7 | 48,4 / 61,7 | 56,1 / 62,5 | 58,2 / 64,1 | 61,5 / 65,5 | 63,8 / 78,5 | 62,8 / 76,9 |
В 2021 г. на этапе экспериментальных исследований определяли содержание азота в почве и непосредственно в растениях, а также качество и количество урожая озимой пшеницы сорта Базис.
Из результатов исследований следует, что обработка посевов мультиинжектором «Туман-2М», в сравнении с листовой обработкой опрыскивателем «Туман-2», в фазу кущения приводит к увеличению урожайности озимой пшеницы с 48,4 до 56,1 ц/га, что эффективнее на 20 %, и на 40 % (с 39,9 до 56,1 ц/га) – по сравнению с контролем (табл. 2). Комплексная обработка (опрыскивание + мультиинжектор) при норме 200 + 250 л/га позволяет увеличить урожайность до 63,8 ц/га, что на 60 % больше, по сравнению с контролем.
Качественные показатели полученного зерна определяли по белку и клейковине. В итоге применение КАС+S приводит к повышению классности пшеницы по белку с III до I кл., а по клейковине с III до II кл., по сравнению с пшеницей, не обработанной жидкими удобрениями.
В более благоприятный по увлажнению 2022 год урожайность озимой пшеницы от действия удобрений возросла, по сравнению с засушливым 2021 годом (табл. 2, рис. 4).
посевов: a) урожайность в ц/га; b) урожайность в %
a) yield in c/ha; b) yield in %
Так, при внесении жидких удобрений КАС+S при подкормке озимых в фазу кущения мультиинжектором урожайность, по сравнению с контролем, возросла с 51,7 до 65,5 ц/га или на 26,7 % (рис. 4). При добавлении в КАС+S гумата калия в количестве 5 л/га и микроэлементов Gu, Zn, Br по 0,5 кг/га урожайность пшеницы возросла до 76,9 ц/га, или на 48,7 %. Максимально возможный эффект от применения жидких удобрений получили при комбинированном внесении КАС+S практически двойной нормы (мультиинжектором внутрипочвенно + опрыскивателем поверхностно). Урожайность при этом составила 78,5 ц/га, или на 51,8 % выше относительно контроля.
По итогам 2022 года при наиболее благоприятных условиях для растениеводства по увлажнению на производственных посевах в Самарской области так же была получена рекордная за последние годы урожайность.
Состояние посевов было хорошим (рис. 5), качество зерна по хлебопекарным показателям, главным образом по клейковине и белку, так же было высоким для озимой пшеницы и находилось на уровне III‒II классов (табл. 3), что свидетельствует об эффективном действии азотных жидких минеральных удобрений.
а) обработанная мультиинжектором «Туман-2М»; b) обработанная опрыскивателем «Туман-2»
Fig. 5. Winter wheat variety Basis:
a) Treated with a multi-injector Tuman-2M; b) Treated with a sprayer Tuman-2
Таблица 3 Показатели качества озимой пшеницы, %, I–IV класс – сорт Базис Самарского НИИСХ
в опытах при различном питании и технологиях внесения агрегатами «Туман-2» – опрыскиватель (О),
«Туман-2М» – мультиинжектор (М) в опытах Самарского ГАУ в 2022 году
Table 3 Quality indicators of winter wheat, %, I–IV class – the Basis variety of the Samara Research Institute in experiments
with different nutrition and application technologies with the units Tuman-2 – sprayer (S),
Tuman-2M – multi-injector (M) in the experiments of the Samara GAU in 2022
Варианты опытов / Variants of experiments | Протеин, белок, %(класс) / Protein, % (class) | Влажность,% / Humidity, % | Массовая доля сырой клейковины,% (класс) / Mass fraction of raw gluten,% (class) | Качество сырой клейковины, ед. прибора ИДК, % (класс) / Raw gluten quality, units device,% (class) | Стекловидность, % (класс) / Virtuousness,% (class) |
1. Контроль, аммиачная селитра / Control, ammonium nitrate | 11,579 (IV) | 12,615 | 19,867 (IV) | 67,470 (I) | 44,919 (II) |
2. (О) КАС-32-200 л/га / | 11,659 (IV) | 12,796 | 20,422 (III) | 68,023 (I) | 45,479 (II) |
3. (М) КАС-32-200 л/га / (M) CAS-32-200 l/ha | 12,797 (III) | 12,442 | 22,551 (II) | 69,072 (I) | 47,085 (II) |
4. (М) КАС-32-300 л/га / (M) CAS-32-300 l/ha | 14,318 (I) | 12,396 | 25,163 (II) | 63,225 (I) | 43,459 (II) |
5. (М) КАС-32-350 л/га / (M) CAS-32-350 l/ha | 14,269 (I) | 12,816 | 25,407 (II) | 67,243(I) | 46,566 (II) |
6. КАС-32 (О) – 200л/га (М) – 250л/га / CAS-32 (S) – 200 l/ha (М) – 250 l/ha | 13,828 (I) | 12,600 | 24,798 (II) | 65,444 (I) | 44,836 (II) |
7. КАС+S-200 л/га + гумат калия-5 л/га + Gu + Zn + Br-0,5 кг/га + ингибитор 0,1кг/га / CAS+S-200 l/ha + gum. Potassium 5 l/ha + Gu + Br + Zn-0.5 kg/ha + | 19,780 (I) | 12,620 | 24,452 (II) | 67,039 (I) | 44,060 (II) |
Эффективность инновационных технологий с внесением жидких азотных минеральных удобрений КАС будет большей при применении точного земледелия и дополнительных агротехнических мероприятий по влагонакоплению и экономичному ее использованию7 [24–26].
Обсуждение и заключение
- На повышение урожайности и качества возделываемых сельскохозяйственных культур по результатам наших многолетних исследований значительным образом влияют азотные жидкие удобрения на основе карбамидно-аммиачной смеси КАС, производимые ПАО «Куйбышев Азот» (г. Тольятти, Самарская обл.), особенно с добавлением мезоэлемента серы (S) КАС+S, гумата калия и недостающих в почве микроэлементов: Gu, Zn, Br.
- При применении КАС наиболее эффективной технологией его внесения, особенно в засушливые годы, является внутрипочвенное инъекторное внесение ликвилайзерами. В наших опытах хорошие результаты показал мультиинжектор «Туман-2М» российского производства ООО «Пегас-Агро» (г. Самара).
- Проведенные Самарским ГАУ полевые сравнительные испытания показывают, что применение инновационных технологий внесения КАС+S способствует увеличению урожайности озимой пшеницы сорта Базис до 51,8 %, а также приводит к повышению ее классности по белку с III до I кл., а по клейковине – с III до II кл., по сравнению с пшеницей, не обработанной жидкими удобрениями.
- В целом жидкие минеральные удобрения КАС имеют преимущество, по сравнению с твердыми, особенно в засушливые годы, что особенно актуально в условиях прогнозируемого глобального потепления.
1 Рекомендации по развитию агропромышленного комплекса и сельских территорий нечерноземной зоны Российской Федерации до 2030 года / А. Л. Иванов [и др.] // Версия 2.0. Москва, 2021. 400 с. URL: https://new.ras.ru/staff/akademiki/ivanov-andrey-leonidovich/ (дата обращения: 03.12.2022).
2 Сычев В. Г., Ефремов Е. Н. Агрохимия в решении задач продовольственной безопасности // Агрохимия в XXI веке : мат-лы Всерос. науч. конф. с междунар. участием. 2018. С. 34–41. URL: https://www.elibrary.ru/item.asp?id=41241642&pff=1 (дата обращения: 03.12.2022) ; Сычев В. Г. Современное состояние плодородия почв и основные аспекты его регулирования. М. : РАН, 2019. 324 с. ; Сычев В. Г. Перспективы использования новых агрохимикатов в современных агротехнологиях // Перспективы использования инновационных форм удобрений, средств защиты и регуляторов роста растений в агротехнологиях сельскохозяйственных культур : мат-лы докладов участников научн.-практич. конф. 2018. С. 3–6. URL: https://www.elibrary.ru/item.asp?id=35437695 (дата обращения: 03.12.2022) ; Сычев В. Г., Алиев А. М., Цимбалист Н. И. Влияние средств химизации в технологиях возделывания озимой пшеницы на зависимость между урожайностью зерна и энергетической эффективностью // Итоги выполнения программы фундаментальных научных исследований государственных академий на 2013‒2020 гг. : мат-лы Всерос. координационного совещания научных учреждений-участников Географической сети опытов с удобрениями. 2018. С. 278–286. URL: https://www.elibrary.ru/item.asp?id=35672882&pff=1 (дата обращения: 03.12.2022).
3 Там же.
4 Рекомендации по развитию агропромышленного комплекса…
5 Сычев В. Г., Ефремов Е. Н. Агрохимия в решении задач продовольственной безопасности.
6 Мочкова Т. В., Марченко Л. А., Колесникова В. А. Агроэкономическая оценка применения жидких азотных удобрений в сельском хозяйстве // Интеллектуальные машинные технологии и техника для реализации Государственной программы развития сельского хозяйства : сборник научных докладов Междунар. науч.-технич. конф. 2015. С. 59–63. URL: https://www.elibrary.ru/item.asp?id=24016086&pff=1 (дата обращения: 03.12.2022) ; Завалин А. А., Чернова Л. С. Ресурсы биологического азота и его использования в земледелии России // Плодородие почв России: состояние и возможности : сборник статей. 2019. С. 40–49. URL: https://www.elibrary.ru/item.asp?id=41492258&pff=1 (дата обращения: 03.12.2022) ; Жидкие азотные и азотосеросодержащие удобрения на базе КАС ‒ эффективная альтернатива твердым минеральным удобрениям / В. А. Милюткин [и др.] // Проблемы современной аграрной науки : мат-лы Междунар. науч. конф. 2020. С. 71–74. URL: https://www.elibrary.ru/item.asp?id=44126248 (дата обращения: 03.12.2022).
7 Милюткин В. А. Инновационные техника и технологии применения жидких удобрений КАС в регионах с недостаточным увлажнением при прогнозируемом глобальном потеплении : моногр. Кинель, 2021. 181 с. ; Прокопчук Р. Е., Беляев В. И. Эффективность машинно-тракторных агрегатов для внутрипочвенного внесения жидких минеральных удобрений // Аграрная наука – сельскому хозяйству : сборник материалов XVII Междунар. науч.-практич. конф. в 2-х книгах. 2022. С. 66–68. URL: https://www.elibrary.ru/item.asp?id=48559596 (дата обращения: 03.12.2022) ; Прокопчук Р. Е., Беляев В. И., Щербинин В. В. Точная инъекция жидких минеральных удобрений // Аграрная наука – сельскому хозяйству : сборник материалов XVI Междунар. науч.-практич. конф. в 2 кн. 2021. С. 32–34. URL: https://www.elibrary.ru/item.asp?id=46137892 (дата обращения: 03.12.2022) ; Длужевский Н. Г., Милюткин В. А. Оптимизация транспортной логистики жидких удобрений ПАО «КуйбышевАзот» по программе завод-поле // Роль аграрной науки в устойчивом развитии сельских территорий : Сборник V Всерос. (нац.) науч. конф. 2020. С. 1138–1142. URL: https://www.elibrary.ru/item.asp?id=44343408 (дата обращения: 03.12.2022) ; Милюткин В. А., Длужевский Н. Г. Логистика жидких удобрений ПАО «КуйбышевАзот» – от завода до сельхозпредпрятия – АПК // Теоретические и концептуальные проблемы логистики и управление цепями поставок : сборник статей II Междунар. науч.-практич. конф. 2020. С. 49–53. URL: https://www.elibrary.ru/item.asp?id=43809794 (дата обращения: 03.12.2022) ; Исследование эффективности инновационной технологии внесения жидких удобрений КАС внутрипочвенно и поверхностно агрегатами «Пегас-Агро» / В. А. Милюткин [и др.] // Актуальные вопросы агропромышленного комплекса России и за рубежом : мат-лы Всерос. (нац.) науч.-практич. конф. с международным участием. 2021. С. 114–121. URL:https://www.elibrary.ru/item.asp?id=47442195 (дата обращения: 03.12.2022)
Об авторах
Владимир Александрович Милюткин
Самарский ГАУ
Автор, ответственный за переписку.
Email: oiapp@mail.ru
ORCID iD: 0000-0001-8948-4862
ResearcherId: AAZ-5043-2019
доктор технических наук, профессор кафедры технологии производства и экспертизы продукции из растительного сырья
Россия, 446442, г. Кинель, ул. Учебная, д. 2Владимир Анатольевич Овчинников
Национальный исследовательский Мордовский государственный университет
Email: ovchinnikovv81@yandex.ru
ORCID iD: 0000-0003-0350-8478
ResearcherId: O-6834-2018
кандидат технических наук, доцент кафедры мобильных энергетических средств и сельскохозяйственных машин имени профессора А. И. Лещанкина
Россия, 430005, г. Саранск, ул. Большевистская, д. 68Список литературы
- Кирюшин В. И. Задачи научно-инновационного обеспечения земледелия России // Земледелие. 2018. № 3. С. 3–8. doi: https://doi.org/10.24411/0044-3913-2018-10301
- Кирюшин В. И. Научные предпосылки технологической модернизации земледелия в России // Известия Международной академии аграрного образования. 2017. № 36. С. 18–22. URL:https://www.elibrary.ru/item.asp?id=30707930 (дата обращения: 03.12.2022).
- Кирюшин В. И. Управление плодородием почв и продуктивностью агроценозов в адаптивно-ландшафтных системах земледелия // Почвоведение. 2019. № 9. С. 1130–1139. doi: https://doi.org/10.1134/S0032180X19070062
- Кирюшин В. И. Научные предпосылки оптимизации использования земельных ресурсов // Вестник российской сельскохозяйственной науки. 2019. № 4. С. 7–10. doi: https://doi.org/10.30850/vrsn/2019/4/7-10
- Сычев В. Г., Милащенко Н. З., Шафран С. А. Агрохимические аспекты получения высококачественного зерна в России // Плодородие. 2018. № 1. С. 18–19. URL: https://www.elibrary.ru/item.asp?id=32466615 (дата обращения: 03.12.2022).
- Сычев В. Г., Шафран С. А., Виноградова С. Б. Плодородие почв России и пути его регулирования // Агрохимия. 2020. № 6. С. 3–13. doi: https://doi.org/10.31857/S0002188120060125
- Факторы урожайности озимой пшеницы в условиях Нечерноземья / Б. И. Сандухадзе [и др.] // Плодородие. 2021. № 3. С. 66–70. doi: https://doi.org/10.25680/S19948603.2021.120.12
- Реализация потенциала продуктивности и качества сортов озимой пшеницы на разных уровнях азотного питания / Б. И. Сандухадзе [и др.] // Агрохимический вестник. 2020. № 5. С. 23–27.URL: https://clck.ru/33WibP (дата обращения: 03.12.2022).
- Влияние различных доз азотных удобрений на урожайность и качество зерна озимой пшеницы / В. И. Мазалов [и др.] // Земледелие. 2019. № 4. С. 19–21. doi: https://doi.org/10.24411/0044-3913-2019-10404
- Агротехнические и агрохимические аспекты оптимизации азотного питания озимой тритикале на дерново-подзолистой почве центрального Нечерноземья РФ / В. В. Конончук [и др.] // Аграрная Россия. 2022. № 4. С. 7–14. URL: https://www.elibrary.ru/item.asp?id=48294712 (дата обращения: 03.12.2022).
- Эффективность систем удобрения и источников азота при возделывании озимых и яровых зерновых культур в севообороте на дерново-подзолистой среднесуглинистой почве Центрального Нечерноземья / В. В. Конончук [и др.] // Агрохимический вестник. 2022. № 2. С. 15–21.
- Оптимизация азотного питания озимой пшеницы в центре Нечерноземной зоны Российской Федерации с использованием почвенной и растительной диагностики / В. В. Конончук [и др.] // Аг-рохимический вестник. 2022. № 3. С. 3–9.
- Реакция почвы и растений на внесение азотного удобрения под озимые и яровые зерновые культуры в Центральном Нечерноземье / В. В. Конончук [и др.] // Агрохимический вестник. 2021.№ 5. С. 54–59.
- Небытов В. Г., Коломейченко В. В., Мазалов В. И. Высокопродуктивные сорта и удобрения – основа устойчивого наращивания производства зерна озимой пшеницы в условиях Орловской области // Вестник аграрной науки. 2019. № 1. С. 11–18. doi: https://doi.org/10.15217/issn2587-666X.2019.1.11
- Влияние минерального питания на интенсивность продукционного процесса у яровой пшеницы / Л. В. Осипова [и др.] // Плодородие. 2021. № 6. С. 50–52. doi: https://doi.org/10.25680/S19948603.2021.123.13
- Мамеев В. В., Ториков В. Е., Петрова С. Н. Продуктивность озимой пшеницы при ранне-весенней подкормке различными марками азотных и комплексных удобрений в условиях Брянской области // Вестник Брянской государственной сельскохозяйственной академии. 2022. № 4. С. 3–10.doi: https://doi.org/10.52691/2500-2651-2022-92-4-3-10
- Современное состояние, тенденции и проблемы производства зерна в Российской Федерации / В. Е. Ториков [и др.] // Аграрный вестник Верхневолжья. 2022. № 1. С. 15–23. URL: http://avv-ivgsha.ucoz.ru/agro_vet_1_22_ispravlen.pdf (дата обращения: 03.12.2022).
- Влияние азотных удобрений и биопрепаратов на урожайность зерна в смешанных бобово мятликовых агроценозах / А. С. Кононов [и др.] // Агрохимический вестник. 2021. № 2. С. 3–9.URL: https://www.elibrary.ru/item.asp?id=45691144 (дата обращения: 03.12.2022).
- Эффективность подкормок озимой пшеницы различными марками азотных и комплексных удобрений / В. В. Мамеев [и др.] // Вестник Курской государственной сельскохозяйственной академии. 2021. № 6. С. 12–19. URL: https://www.elibrary.ru/item.asp?id=46669270 (дата обращения:03.12.2022).
- Завалин А. А., Соколов О. А. Коэффициент использования растениями азота удобрений и его регулирование // Международный сельскохозяйственный журнал. 2019. № 4. С. 71–75. doi:https://doi.org/10.24411/2587-6740-2019-14070
- Гаврилов В. А., Федорова Ю. Н., Федотова Е. Н. Оценка влияния жидких комплексных удобрений на урожайность зерна озимой пшеницы // Известия Великолукской государственной сельскохозяйственной академии. 2020. № 2. С. 13–16. URL: https://www.elibrary.ru/item.asp?id=43852992(дата обращения: 03.12.2022).
- Преимущество жидких минеральных удобрений на базе КАС-32 по сравнению с твердыми – аммиачная селитра – на подсолнечнике и кукурузе / В. А. Милюткин [и др.] // Нива Поволжья. 2020. № 3. С. 73–79. doi: https://doi.org/10.36461/NP.2020.56.3.018
- Милюткин В. А., Буксман В. Э. Инновационные технические решения для внесения жидких и твердых минеральных удобрений одновременно с посевом // Техника и оборудование для села.2018. № 10. С. 16–21. URL: https://www.elibrary.ru/item.asp?id=36457812 (дата обращения: 03.12.2022).
- Тютюнов С. И. Комплексная оценка влияния многолетнего применения удобрений на основные показатели плодородия чернозема типичного // Плодородие. 2021. № 3. С. 45–48. doi:https://doi.org/10.25680/S19948603.2021.120.07
- Wilson W., Shakya S., Dahl B. Dynamic Changes in Spatial Competition for the Nitrogen Fertilizer Industry in the United States // Agricultural. Systems. 2015. Vol. 135. P. 10–19. doi: https://doi.org/10.1016/J.AGSY.2014.11.006
- Modern Technology for Cultivation of Agricultural Crops in Zones of “Risk Farming” with Conservation and Accumulation of Atmospheric Moisture / V. A. Milyutkin [et al.] // XIV International Scientific Conference “INTERAGROMASH 2021”. Precision Agriculture and Agricultural Machinery Industry.Сер. “Lecture Notes in Networks and Systems”. 2022. P. 138–146. doi: https://doi.org/10.1007/978-3-030-81619-3_15
Дополнительные файлы


























