Динамические сбалансированные модели механизма управления поставками с учетом инвестиций в снижение затрат
- Авторы: Веревкин Д.Н.1, Иванов Д.Ю.1
-
Учреждения:
- Самарский национальный исследовательский университет имени академика С. П. Королева
- Выпуск: Том 15, № 4 (2024)
- Страницы: 22-35
- Раздел: Статьи
- URL: https://journals.rcsi.science/2542-0461/article/view/285602
- DOI: https://doi.org/10.18287/2542-0461-2024-15-4-22-35
- ID: 285602
Цитировать
Полный текст
Аннотация
В статье предлагается взаимосвязанная совокупность управленческих методов и моделей механизмов управления в системе поставок в крупном промышленном комплексе. Разработано динамическое уравнение для определения величины прибыли для каждого поставщика в каждый момент времени. Сформировано динамическое уравнение изменения материального потока по выпуску комплектующих и определено аналитическое уравнение функции затрат по использованию материалов, оборудования и трудовых ресурсов в каждый момент времени производственного процесса. Получена цифровая компьютерная модель механизма выбора объемов комплектующих каждым поставщиком, решение которой позволило определить траектории изменения величины прибыли в каждый момент времени. Показано, что траектории дохода, затрат, прибыли изменяются адекватно в соответствии с производственной ситуацией. Определены условия эффективности и сбалансированности вложения инвестиций в производственную систему поставок.
Полный текст
Введение
Эффективное управление поставками существенно влияет на результаты деятельности каждого предприятия и особенно таких крупных предприятий АО «АвтоВАЗ».
Для более эффективного производства промышленному комплексу необходимо совершенствовать механизм управления поставками, одним из способов которого является снижение стоимости поставщиками своей продукции.
Целью системы организации и управления поставками состоит в том, чтобы в процессе производства продукции на основе имитационных моделей, промышленный комплекс получал необходимые по количеству сырье, материалы, комплектующие в нужное время в нужном месте необходимого качества по выгодной цене от надежных поставщиков, отвечающих по своим обязательствам.
Модель функционирования каждого поставщика комплектующих заказчику зависит от производственно-технологических параметров.
Каждый из параметров характеризует уровень потенциальных возможностей и может быть использован в качестве управляющих параметров в задачах сбалансированного взаимодействия между поставщиками комплектующих и сборочным производством.
Все эти параметры участвуют в формировании модели ограничений и изменение которых приводит к изменению объемов выпуска, как товарной продукции, так и комплектующих.
В связи с этим задача сборочного производства по осуществлению сбалансированного взаимодействия состоит в том чтобы одновременно с определением плана объему выпуска комплектующих выбрать такие значения управляющих параметров, изменение которых приводило бы к увеличению уровня сбалансированности в механизме взаимодействия между поставщиком и заказчиком.
Отличительной особенностью представленных аналитических и компьютерных моделей и их реализацией состоит в том, что определяются не только оптимальные объемы комплектующих, но и их динамические характеристики в виде траекторий изменения.
1. Ход исследования
Сформируем цифровую модель выбора объема комплектующих каждым поставщиком в следующем виде [1, 2]
(1)
(2)
(3)
Здесь , , , ;
– прибыль, получаемая i-ым поставщиком, в каждый момент времени t;
– максимально возможный выпуск i-ым поставщиком; – фактический выпуск комплектующих i-ым поставщиком в момент времени t;
– затраты -го поставщика при выпуске комплектующих в объеме в момент времени t;
– договорная цена поставки за единицу -го комплектующего-ым поставщиком;
– параметр -го поставщика, характеризующий переходный процесс производства комплектующих -ым поставщиком;
– выбранная дискрета времени динамического процесса;
– плановый объем выпуска комплектующих -ым поставщиком.
– начальное условие для дифференциального уравнения.
– применяемость комплектующего -го вида в конечном изделии;
– заданная величина затрат -го вида материала на комплектующее изделие на -го вида;
– цена -го вида материала, используемого при производстве -го вида комплектующего изделия;
– заданная величина затрат времени на использование оборудования -й группы при производстве -го вида комплектующего изделия;
– цена на использование оборудования -ой группы;
– норматив времени трудовых ресурсов -го вида, при производстве -го вида комплектующего изделия;
– стоимость трудозатрат -го вида;
– постоянные затраты у поставщика.
С учетом введенных обозначений сформирована динамическая модель функции затрат при производстве комплектующих изделий поставщиком (3), уравнение (1) для получения прибыли каждым поставщиком, уравнения (2) определения траектории изменения объема выпускаемых комплектующих каждым поставщиком.
В уравнении (3) величина
,
– представляет собой суммарные затраты на единицу –го комплектующего изделия, величина
– представляет собой затраты на используемые материалы, величина
– представляет собой затраты на использование различных типов оборудования, величина
– представляет собой стоимость трудозатрат всех видов при производстве –го комплектующего изделия.
Произведение объема выпускаемых изделии, на величину суммарных затрат расходуемых на единицу -го комплектующего изделия
– характеризует величину переменных затрат в каждый момент времени в процессе производства комплектующих изделий.
Их сумма с постоянными затратами представляет величину общих затрат в производственной системе.
При известных значениях параметров
функция затрат представляет собой траекторию их изменения.
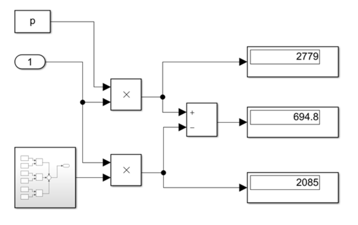
Для исследования влияния изменения параметров функции затрат рассмотрим пример –го комплектующего изделия при производстве которого используются один вид материалов, оборудования и трудовых ресурсов. Цифровая модель формирования затрат представлена на рис. 1.
Рис. 1: Цифровая модель формирования затрат.
Fig. 1: Digital cost formation model.
Сформированная аналитическая цифровая модель механизма выбора объемов комплектующих каждым поставщиком (1)–(3) описывает траектории объемов выпуска комплектующих изделий и траектории изменения величины прибыли в каждый момент времени.
Для реализации сформированной аналитической цифровой модели механизма выбора оптимальных объемов комплектующих каждым поставщиком предложен цифровой алгоритм решения модели (1)–(3) представленный на рис. 2.
Рис. 2: Цифровой алгоритм решения аналитической цифровой модели механизма выбора объемов комплектующих каждым поставщиком.
Fig. 2: Digital algorithm for solving the analytical digital model of the mechanism for selecting the volumes of components by each supplier.
В алгоритме использованы следующие исходные данные:
- начальное условие интегрирования ;
- заданный объем поставок комплектующих изделий шт.;
- параметр, характеризующий переходный процесс производства комплектующих –ым поставщиком ;
- величина дискретности времени динамического процесса ;
- заданная величина затрат –го вида материала на комплектующее изделие на –го вида ;
- цена –го вида материала, используемого при производстве –го вида комплектующего изделия ;
- заданная величина затрат времени на использование оборудования –й группы при производстве – о вида комплектующего изделия ;
- цена на использование оборудования –ой группы ; норматив времени трудовых ресурсов –го вида, при производстве –го вида комплектующего изделия ;
- стоимость трудозатрат –го вида ; цена комплектующего изделия .
На рис.3 представлены траектории изменения выходных параметров цифровой имитационной модели:
- – доход от реализации комплектующих изделий;
- – затраты поставщика при выпуске комплектующих в объеме ;
- – прибыль при выпуске комплектующих в объеме .
Рис. 3: Траектории изменения выходных параметров цифровой имитационной модели.
Fig. 3: Trajectories of change in output parameters of a digital simulation model.
Представленные расчеты рис.3 показали, что траектории и дохода, затрат и прибыли монотонно увеличиваются и приближаются к установившемуся значению.
Это объясняется тем, что траектория изменения прибыли увеличивается и достигает установившегося значения при равенстве фактического объема выпуска комплектующих изделии плановому значению , задаваемого заказчиком.
Отличительной особенностью представленных аналитических задач и цифровых алгоритмов их реализации заключаются в том, что определяются оптимальные траектории объемов комплектующих, затрат, прибыли а не отдельные оптимальные точки на этих траекториях, как это осуществляется при использовании статических моделях и механизмах [3–9], статических производственных функциях.
Поскольку функция затрат представляет линейную модель, то цифровая модель выбора объема комплектующих каждым поставщиком (2) является линейной моделью.
Если плановое задание со стороны заказчика больше максимально возможного выпуска комплектующих изделий поставщиком , , то поставщик выбирает в качестве оптимального объема выпуска продукции граничное значению допустимой области . Если же , то .
Таким образом, алгоритм выбора оптимальных объемов выпуска комплектующих при линейной цифровой модели (2) имеет вид
(4)
Из полученного уравнения (4) следует, что плановое задание заказчика по выпуску комплектующих изделий не выполняется, если оно больше максимально возможного выпуска изделий поставщиком . В этой связи возникает проблема вложения инвестиций в повышение объема выпуска комплектующих поставщиком.
2. Модель механизма управления поставками с учетом инвестиций в снижение затрат
Для исследования влияния инвестиций на параметры цифровой модели объема выпуска комплектующих изделий поставщиком введем следующие обозначения [9–11]
– инвестиции в повышение объема выпуска комплектующих изделий поставщиком;
– инвестиции в снижение затрат на материалы –го вида на выпуск комплектующего изделия –го вида;
– инвестиции в снижение затрат времени на использование оборудования –й группы при производстве –го вида комплектующего изделия;
– инвестиции в снижение норматива времени трудовых ресурсов –го вида, при производстве –го вида комплектующего изделия.
Математическая модель влияния инвестиций на параметры цифровой модели объема выпуска комплектующих изделий поставщиком, запишется в виде
(5)
Здесь
;
;
; – нормативы расхода на материалы, использованное оборудование и трудовые ресурсы в зависимости от вложенных в них инвестиций.
Сформируем разность между величиной прибыли получаемой от вложения инвестиционных средств в объемы выпуска , нормативы затрат материальных ресурсов , нормативы затрат на использование оборудования и затрат на трудовые ресурсы и прибылью, получаемую поставщиком до вложения инвестиций .
Сформируем уравнение для определения получаемого эффекта от вложенных инвестиций в производственную систему
(6)
Определим условие эффективности вложения инвестиций в производственную систему поставщика, как дисконтированный суммарный поток эффекта должен быть больше суммарных инвестиций [12]
(7)
Здесь – суммарные инвестиции в производственную систему по выпуску комплектующих; – дисконтированный суммарный поток эффекта от вложенных инвестиций; – процентная ставка дисконтирования денежного потока; – период времени дисконтирования денежного потока эффекта .
Рассмотрим числовой пример при следующих исходных данных. Пусть поставщик выпускает одно комплектующие изделие –го вида при производственном ограничении шт/сут., плановое задание со стороны заказчика шт/сут., параметр, характеризующий переходный процесс производства комплектующих -ым поставщиком ; величина дискретности времени динамического процесса ; заданная величина затрат –го вида материала на комплектующее изделие на –го вида ; цена –го вида материала, используемого при производстве –го вида комплектующего изделия ; заданная величина затрат времени на использование оборудования –й группы при производстве –го вида комплектующего изделия ; цена на использование оборудования –ой группы ; норматив времени трудовых ресурсов –го вида, при производстве –го вида комплектующего изделия ; стоимость трудозатрат –го вида ; цена комплектующего изделия .
В данной производственной ситуации возникает дефицит впуска комплектующих изделий в количестве 350 штук в сутки. Для устранения дефицита требуются инвестиции д.ед.
На рис. 4 представлены траектории изменения объемов выпуска комплектующих изделий поставщиком до и после вложений инвестиций в производственную систему , построенные с помощью исходных данных, цифровых компьютерные моделей (1)–(3) и цифровых алгоритмов (4),(5).
Рис. 4: Траектории изменения объемов выпуска комплектующих изделии до вложения инвестиций в производственную систему и с учетом вложенных инвестиций .
Fig. 4: Trajectories of changes in the volumes of production of components of the product before investing in the production system and taking into account the invested investments .
Эти траектории показывают, что если плановое задание больше максимально возможного, поставщик в соответствии а алгоритмом (4) выбирает максимально возможный объем выпуска. При этом необходимо в использовать инвестиционные вложения в производственную систему в сумме д.ед.
Вложенные инвестиции позволили увеличить объем выпуска продукции до заданного заказчиком величины равной 1050 шт. сутки.
На рис.4 приведена траектория с учетом вложенных инвестиций увеличение объемов выпуска комплектующих изделий поставщиком.
Разность между траекториями объемов выпуска до вложения и с учетом вложенных инвестиций обеспечивает повышение эффективности производственной системы .
На рис. 5 представлен цифровой алгоритм реализации дисконтирования потока эффекта от вложенных инвестиций.
Рис. 5: Цифровой алгоритм реализации дисконтирования потока эффекта от вложенных инвестиций.
Fig. 5: Digital algorithm for implementing discounting of the flow of effect from invested investments.
В результате дисконтирования потока эффекта от вложенных инвестиций в соответствии с моделью (6), (7) на рис. 6 получена траектория потока эффекта и дисконтированная его величина , которая увеличивается до установившегося значения равного 347,4 д.ед.
Рис. 6: Траектории потока эффекта и дисконтированная его величина .
Fig. 6: Trajectories of the flow of the effect and its discounted value .
На рис. 7. Получена траектория суммарного дисконтированного потока эффекта полученного от вложения инвестиций в производственную систему поставщика .
Рис. 7: Траектория суммарного дисконтированного потока эффекта полученного от вложения инвестиций в производственную систему поставщика .
Fig. 7: The trajectory of the total discounted flow of the effect obtained from investing in the supplier’s production system .
Из полученного условия эффективности вложения инвестиций в производственную систему поставщика (7), дисконтированный суммарный поток эффекта больше величины инвестиций в производственную систему поставщика .
Это означает, что вложенные инвестиции за период времени дисконтирования денежного потока эффекта окупаются с одной стороны, а с другой стороны, поставщик настроен на реализацию планового задания со стороны заказчика и получает при этом дополнительный эффект.
3. Условия сбалансированности потоков между заказчиком и поставщиком
Как было отмечено выше, при реализации оптимального объема выпуска продукции сравнение значения целевой функции поставщика с реализацией планового задания заказчика помогает выявить отсутствие сбалансированности их стратегий.
В такой ситуации возникает необходимость выбора функции стимулирования поставщика, что бы обеспечить сбалансированность стратегии при реализации планового задания, установленного заказчиком.
Для сбалансированности стратегий между заказчиком и поставщиком необходимо определить величину разности между целевой функцией заказчика при реализации оптимального плана и плана заданного заказчиком.
Уравнение для определения величины разности имеет вид
(8)
Полученная величина разности для сбалансированности стратегий между поставщиком и заказчиком должна быть величиной неположительной.
Для решения проблемы сбалансированности стратегий между поставщиком и заказчиком введем в рассмотрение целевую функцию для поставщика
(9)
Здесь – величина стимулирования –го поставщика заказчиком.
Алгоритм формирования компенсации величины прибыли представим в следующем виде
(10)
Из уравнения (7) следует, что величина компенсации прибыли получаемой –м поставщиком осуществляется в каждый момент времени траектории изменения объема выпуска изделий и траектории прибыли .
Таким образом, для сбалансированности стратегий между поставщиком и заказчиком реализации планового задания заказчика целевая функция каждого поставщика удовлетворяет следующему неравенству
(11)
Здесь – значение целевой функции –го поставщика при реализации им планового задания со стороны заказчика .
Условием сбалансированности траекторий выпуска изделий и прибыли выполняется, если для определения функции компенсации величины прибыли у поставщика в соответствии с алгоритмом (7) является выполнение следующего неравенства
(12)
Условием сбалансированности планового задания со стороны заказчика при их реализации поставщиком является выполнение следующего неравенства
(13)
Полученное неравенство (13)) должны выполняться при .
Выполнение неравенства (13) означает, что прирост величины компенсации прибыли поставщика должен быть не меньше величины уменьшения прибыли у поставщика для каждого момента времени и каждого реализуемого планового задания заказчика.
На рис. 8 представлена схема организации сбалансированной компенсации величины прибыли при реализации плановых заданий со стороны заказчика.
Рис. 8: Компенсации величины прибыли при реализации плановых заданий со стороны заказчика.
Fig. 8: Compensation for the amount of profit when implementing planned tasks on the part of the customer.
Из схемы следует, что каждый поставщик получает компенсацию при реализации планового задания заказчика, что позволяет обеспечить им максимальную величину прибыли.
Следует отметить, что компенсация величины прибыли у каждого поставщика при реализации планового задания со стороны заказчика возможна, если она осуществляется из величины общего эффекта получаемого заказчиком при сбалансированности плановых заданий между поставщиком и заказчиком.
Заключение
- Предложена взаимосвязанная совокупность управленческих методов и моделей механизмов управления в системе поставок в крупном промышленном комплексе.
- Разработано динамическое уравнение для определения величины прибыли для каждого поставщика в каждый момент времени.
- Сформировано динамическое уравнение изменения материального потока по выпуску комплектующих и определено аналитическое уравнение функции затрат по использованию материалов, оборудования и трудовых ресурсов в каждый момент времени производственного процесса.
- Получена цифровая компьютерная модель механизма выбора объемов комплектующих каждым поставщиком, решение которой позволило определить траектории изменения величины прибыли в каждый момент времени.
- Определены условия эффективности вложения инвестиций в производственную систему поставок, что позволило увеличить объем выпуска продукции поставщиком до заданной заказчиком величины.
- Определено условие сбалансированности в виде неравенства, выполнение которого означает, что прирост величины компенсации прибыли поставщика, должен быть не меньше величины уменьшения прибыли у поставщика для каждого момента времени и каждого реализуемого планового задания заказчиком.
Конкурирующие интересы: Конкурирующих интересов нет.
Competing interests: No competing interests.
Об авторах
Денис Николаевич Веревкин
Самарский национальный исследовательский университет имени академика С. П. Королева
Автор, ответственный за переписку.
Email: ptc-samara@yandex.ru
ORCID iD: 0009-0006-0293-4036
аспирант кафедры менеджмента и организации производства
Россия, 443086, Самара, Московское шоссе, 34Дмитрий Юрьевич Иванов
Самарский национальный исследовательский университет имени академика С. П. Королева
Email: ivanov.dyu@ssau.ru
ORCID iD: 0000-0003-0619-9340
доктор экономических наук, профессор, заведующий кафедрой менеджмента и организации производства, директор института экономики и управления
Россия, 443086, Самара, Московское шоссе, 34Список литературы
- Форрестер Дж. Мировая динамика: Пер. с англ./Под ред. Д.М. Гвишиани, Н.Н. Моисеева. – М.: Наука, 1978. – 168 с.
- Форрестер Дж. Основы кибернетики предприятия (Индустриальная динамика): Пер. с англ./Под ред. Д.М. Гвишиани. – М.: Прогресс, 1971. – 340 с.
- Александровский Н.М., Егоров С.В., Кузин Р.Е. Адаптивные системы управления сложными технологическими процессами. – М.: НРЕ, 1973.
- Ануфриев И.К., Бурков В.Н., Вилкова Н.И., Рапацкая С.Т. Модели и механизмы внутрифирменного управления. М.: ИПУ РАН, 1994. – 72 с.
- Богатырев В.Д. Модели и механизмы согласованного взаимодействия в задачах антикризисного управления: монография. – Самара: СНЦ РАН, 2004. – 284 с. ISBN: 5-93424-135-4. EDN: YAWJDN.
- Бурков В.Н., Еналеев А.К., Новиков Д.А. Механизмы функционирования социально-экономических систем с сообщением информации // Автоматика и телемеханика. – 1996. – № 3. – С. 3–26.
- Бурков В.Н., Заложнев А.Ю., Кулик О.С., Новиков Д.А. Механизмы страхования в социально–экономических системах. – М.: ИПУ РАН, 2001. – 109 с. EDN: PFGVOD.
- Бурков В.Н., Заложнев А.Ю., Леонтьев С.В., Новиков Д.А., Чернышев Р.А. Механизмы финансирования программ регионального развития. – М.: ИПУ РАН, 2002. – 52 с.
- Новиков Д. А. Теория управления организационными системами. М.: МЛСИ, 2005. – 584 с.
- Щелоков Д.А., Гришанов Д.Г., Гришанов Г.М., Кирилина С.А. Внутрифирменные механизмы бюджетного управления крупным промышленным комплексом по производству ресурсоемких изделий. – Самара: Издательство СамНЦ РАН, 2009.
- Щелоков Д.А., Альтергот В.В., Белова Д.Г., Гришанов Д.Г. Модели формирования механизмов стимулирования и бюджетирования деятельности предприятий. – Самара: Издательство СамНЦ РАН, 2009.
- Мунипов В.М., Зинченко В.П. Эргономика: человекоориентированное проектирование техники, программных средств и среды: учебник для вузов. – М.: Логос, 2001. – 356 с. ISBN: 5-94010-043-0.
Дополнительные файлы










