A relevant method for evaluating information management systems in manufacturing
- Authors: Kruglov V.N.1, Samatova A.I.1
-
Affiliations:
- Kaluga Branch of RANEPA
- Issue: Vol 15, No 3 (2024)
- Pages: 164-179
- Section: Articles
- URL: https://journals.rcsi.science/2542-0461/article/view/271586
- DOI: https://doi.org/10.18287/2542-0461-2024-15-3-164-179
- ID: 271586
Cite item
Full Text
Abstract
In the context of growing digitalization and the transition to domestic information management systems in manufacturing, it becomes critically important to develop adequate methods for evaluating their effectiveness. The relevance of this study is due to the need to create effective tools for the analysis and selection of information management systems that meet the specifics of the Russian market and the conditions of import substitution. The purpose of the study is to develop and justify a method for evaluating management information systems that take into account both quantitative and qualitative indicators. Methodologically, the study includes an analysis of existing valuation methods such as economic value added and total cost of ownership, identifying their shortcomings and developing a new method based on a weighted sum of criteria. The application of the proposed method has shown that it provides a more accurate and comprehensive assessment, taking into account technical characteristics and user satisfaction, which is critical for effective intra-company and strategic planning. The results confirm the hypothesis that the integration of quantitative and quantitative indicators, taking into account the importance coefficients, increases the reliability of the assessment of the information management system. Limitations include high resource requirements and the need to involve internal and external experts, which may limit practical applications. In the future, automation of the criteria normalization process and adaptation of the method to other industries are recommended.
Full Text
Введение
В последние годы цифровизация и автоматизация становятся критически важными факторами успешного функционирования и конкурентоспособности предприятий, особенно в обрабатывающем производстве. По состоянию на 2021 год расходы населения на цифровые технологии в России составили 1901 млрд рублей, из которых основная часть была направлена на услуги связи и доступ в интернет 57,6%, а также на приобретение технических устройств и цифрового контента. Данные расходы демонстрируют растущий интерес к цифровым решениям и их интеграции в повседневную жизнь и бизнес-процессы.
В развитие импортозамещающих решений в области индустриального ПО (PLM, CAE, CAD, MES, SCADA, CRM, ERP, BIM и др.) планируется инвестировать около 250 млрд рублей до 2025-2027 годов. Однако создание полного спектра программных продуктов с функционалом, аналогичным иностранным решениям, представляется мало реалистичным.
Годовой R&D – бюджет в 2021г. только пяти крупнейших вендоров ПО, ушедших с российского рынка (Microsoft, Oracle, SAP, VMware, Autodesk), превышает 37 млрд долларов или 1 трлн рублей. Данная сумма составляет половину всей добавленной стоимости российской ИТ – отрасли и кратно превосходит объем ресурсов, направляемых на разработку отечественных решений. Многие сегменты отечественного рынка специализированного ПО несопоставимо малы по отношению к требуемым вложениям, что делает разработку собственных решений экономически неоправданной без ориентации на глобальные рынки.
Актуальность темы также подтверждается анализом рисков зависимости от иностранных вендоров ПО (рис. 1).
Рисунок 1: Риски зависимости от иностранных вендоров по типам ПО [1]
По данным, представленным на рис. 1, можно наблюдать динамику изменения рисков в зависимости от уровня диверсификации продуктов и доли иностранных вендоров по типам ПО за период с 2010 по 2021 год. Данные показатели демонстрируют, что высокие риски зависимости от иностранных вендоров остаются актуальными в условиях текущих экономических и политических вызовов. Переходя к более детальному рассмотрению рисков зависимости по отраслям (рис. 2).
Рисунок 2: Риски зависимости от иностранных вендоров ПО по отраслям [1]
Рис. 2 иллюстрирует риски зависимости по отраслям, учитывая долю иностранных вендоров, что подчеркивает необходимость дальнейшего развития отечественного ПО и адаптации к специфике различных отраслей. Средняя доля внедрений продуктов иностранных вендоров и затрат на иностранное ПО в обрабатывающей промышленности свидетельствует о значительной зависимости отрасли от зарубежных технологий, что подчеркивает необходимость усиленной работы по импортозамещению и развитию отечественных решений. Он подчеркивает необходимость дальнейшего развития отечественного ПО и адаптации к особенностям различных отраслей, что критично для снижения рисков зависимости.
Рисунок 3: Мониторинг региональных и отраслевых проектов по цифровой трансформации предприятий промышленности [2]
На рис. 3 видно, что 63 региона уже реализуют проекты по цифровой трансформации, в то время как 11 еще не начали эту работу. Основное внимание уделяется проектам, связанным с системами оптимизации производства, управления жизненным циклом изделий, системам цифрового проектирования, базовой информатизацией, модернизацией оборудования и рабочих мест, мероприятиями в сфере информационной безопасности, лицензированием и сертификацией, а также другим сопутствующим проектам. Финансирование этих проектов составляет 430 620 млн рублей. Данный рисунок подчеркивает важность активной цифровизации для повышения эффективности и конкурентоспособности предприятий, а также необходимость равномерного распределения усилий по цифровой трансформации среди всех регионов страны.
Таким образом, исследование в области выбора и оценки информационных систем управления важно для обеспечения устойчивости и независимости отечественных предприятий, а также для минимизации рисков, связанных с зависимостью от иностранных поставщиков ПО. Разработка эффективных методов оценки и адаптации к текущим условиям рынка позволит предприятиям не только сохранить конкурентоспособность, но и способствовать развитию внутреннего рынка программного обеспечения.
Научные исследования и практические отчеты показывают, что проблема выбора и оценки информационных систем в обрабатывающем производстве изучается достаточно глубоко. Работы, такие исследования по внедрению ERP–систем и SCADA, систематизируют подходы к выбору систем в условиях построенного изменения технологического ландшафта. Ведущие авторы выделяют несколько ключевых критериев, таких как адаптивность к изменениям в производственных процессах, интеграционные возможности, и соотношения затрат и пользы.
Особое внимание в литературе уделяется методам оценки эффективности информационных систем, таким как метод экономической добавленной стоимости, полная стоимость владения, совокупный экономический эффект и другие.
Несмотря на значительный объем исследований, посвященных оценки и выбору информационных систем, существующие методы и подходы часто оказываются недостаточно адаптированными к динамичным условиям и специфическим требованиям обрабатывающего производства в условиях импортозамещения.
Целью данного исследования является разработка и обоснование актуальных методов оценки информационных систем управления в обрабатывающем производстве с учетом современных вызовов и специфики российского рынка. Для достижения этой цели необходимо провести анализ существующих методов оценки информационных систем управления, выявив их преимущества и недостатки (таблица 1), и определить ключевые критерии оценки информационных систем управления, разработать метод оценки информационных систем управления, позволяющий учитывать все значимые критерии.
1. Ход исследования
Проведем анализ существующих методов оценки информационной системы управления [3–bib:11], выявив их преимущество и недостатки (таблица 1). Традиционные методы оценки информационных систем управления, приведенные в таблице 1, предоставляют общее представление об их влиянии на стоимость бизнеса. При определении точного вклада информационных систем управления в изменение стоимости бизнеса.
Таблица 1: Методы оценки информационной системы управления
Table 1: Methods of evaluation of the management information system
Метод | Авторы | Описание | Преимущество | Недостатки |
Экономическая добавленная стоимость (EVA) | Стюарт Дж. | Определяет экономическую прибыль, которую получает сверх затрат капитала | Показывает эффективность использования капитала | Не отражает точно вклад информационной системы управления в общую стоимость бизнеса |
Полная стоимость владения (TCO) | Группа Гартнер | Рассчитывает общую стоимость владения информационной системы, включая операционные и стратегические преимущества | Учитывает все затраты, связанные с информационной системой управления | Трудно определить точные затраты и выгоды от внедрения информационной систему управления |
Совокупный экономический эффект (TEI) | Форрестер исследования | Оценивает общий экономический эффект от внедрения информационной системы, включая операционные и стратегические преимущества | Учитывает широкий спектр экономических выгод | Требует дополнительного анализа и оценки конкретных выгод для бизнеса |
Быстрое экономическое обоснование (REJ | Группа Гартнер | Обеспечивает быструю оценку эффективности информационной системы управления, учитывая основные экономические параметры | Позволяет быстро определить ожидаемую выгоду от проекта | Может быть менее точным по сравнению с другими методами оценки |
Система сбалансированных показателей (BSC) | Каплан Р., Нортон Д. | Использует несколько перспектив для оценки эффективности бизнеса | Учитывает различные аспекты эффективности бизнеса | Не точно отражает влияние информационной системы управления на финансовые показатели |
Информационная экономика (IE) | Уильямс Дж. | Оценивает вклад информационной системы в создание добавленной стоимости для бизнеса | Позволяет количественно измерить вклад информационной системы управления в бизнес | Требует дополнительного анализа и оценки конкретных экономических параметров |
Управление портфелем активов (PM) | Купер Р., Каплан Р. | Помогает оптимизировать инвестиции в информационные системы, фокусируясь на наиболее перспективных проектах | Позволяет оптимизировать инвестиции информационную систему управления | Требует дополнительного управления и анализа портфеля проектов |
Система показателей ИТ (IT SC) | Уилкокс Л. | Оценивает эффективность информационной системы управления с учетом ее влияния на бизнес-процессы и результаты организации | Учитывает влияние информационных систем управления на бизнес-процессы | Трудно связать показатели ИТ с финансовыми результатами бизнеса |
Справедливая цена опционов (ROV) | Клинток С. | Определяет стоимость реальных опционов в стратегических инвестициях, таких как информационная система управления | Учитывает гибкость и возможности адаптации информационной системы управления | Требует дополнительного анализа для оценки рисков и возможностей |
Прикладная информационная экономика (AIE) | Хаббард Д.У. | Позволяет количественно оценить стоимость и выгоды от информационной системы управления для бизнеса | Позволяет количественно измерить стоимость информационной системы управления | Требует дополнительной экспертизы и анализа для правильной оценки экономической выгоды |
Представленные методы в таблице 1, могут быть недостаточно точными, особенно с учетом множества других факторов, которые также существенно влияют на данный показатель:
- внешняя среда играет ключевую роль в определении стоимости бизнеса, так увеличение рыночной доли обрабатывающего производства может значительно повысить ее стоимость за счет роста продаж и прибыли. Изменения в законодательстве, такие как налоговые реформы [bib:12] или новые нормативные требования. Экономические факторы, такие как инфляции, колебания валютных курсов и экономический рост, также влияют на финансовые результаты обрабатывающего производства и, следовательно, на ее стоимость. Данные внешние факторы могут маскировать или усиливать влияние информационных систем управления на стоимость бизнеса, что снижает точность традиционных методов оценки;
- технологические инновации в обрабатывающем производстве наряду с информационными системами управления, могут существенно повысить стоимость бизнеса. Новые технологии могут улучшать производительные процессы, повышать качество продукции и услуг, снижать издержки и открывать новые рыночные возможности. Данные улучшения могут привести к значительному росту доходов и прибыли обрабатывающих производств, что, в свою очередь, увеличивает ее рыночную стоимость. Традиционные методы оценки могут не учитывать вклад данных дополнительных технологических инноваций, что снижает точность оценки;
- стратегические решения, принятые руководством обрабатывающего производства, также оказывают значительное влияние на ее стоимость. Внедрение новых бизнес-моделей, диверсификация продуктового портфеля, расширение на новые рынки, улучшение операционной эффективности и другие стратегические инициативы могут значительно повысить стоимость бизнеса. Эффективное стратегическое управление помогает обрабатывающими производствам адаптироваться к изменениям во внешней среде, оптимизировать внутренние процессы и использовать новые возможности для роста. Традиционные методы оценки могут не всегда точно учитывать влияние таких стратегических решений, что приводит к искажению результатов оценки.
Новый метод оценки информационной системы управления должен представлять собой наиболее перспективный подход к оценке эффективности информационной системы управления, учитывать широкий спектр качественных и количественных показателей.
Разрабатываемый метод оценки информационной систему управления должен обеспечивать объективную оценку, учитывающую как технические характеристики, так и удовлетворенность пользователей, что позволит создать инструмент, способный эффективно анализировать и оптимизировать работу информационной системы управления, соответствуя потребностям обрабатывающего производства.
Для оценки информационной системы управления в обрабатывающем производстве в качестве инструмента внутрифирменного и стратегического планирования деятельности обрабатывающего производства будет применен метод взвешенной суммы критериев (МВСК) [13]
(1)
Здесь
- – объем оперативной памяти,
- – задержка отклика системы управления,
- – частота работы центрального процессора,
- – количество операций выполняемых системой управления,
- – удовлетворенность системой управления,
- – коэффициент значимости объема оперативной памяти,
- – коэффициент значимости задержки отклика системы управления,
- – коэффициент значимости частоты работы центрального процессора,
- – коэффициент значимости количества операций выполняемых системой управления,
- – коэффициент значимости удовлетворенности системой управления.
Поскольку каждый критерий оценки информационных систем управления имеет разные единицы измерения, необходимо провести их нормализацию, что достигается путем приведения значений критериев к бинарной шкале от 0 до 1
(2)
Здесь – нормализация критериев, – пороговые значения критериев.
Этот подход применяется ко всем критериям, включая задержку отклика системы управления, частоту работы центрального процессора, количество операций выполняемых системой управления и удовлетворенность системой управления.
Значениям критериев, не соответствующих пороговым значениям системы управления и считающихся неудовлетворительными и присваивается значение – 0, а значениям критериев, соответствующих пороговым значениям системы управления и считающихся удовлетворительными присваивается значение – 1.
Нормализация критериев упрощает анализ и сравнение, предотвращает искажения за счет различных единиц измерения и обеспечивает согласованный метод для всех критериев.
Коэффициенты важности вычисляются с использованием метода аналитической сети (МАС) [13].
Данный метод позволяет учитывать взаимное влияние компонентов системы управления и их взаимодействие, создавая сетевую структуру с обратной связью.
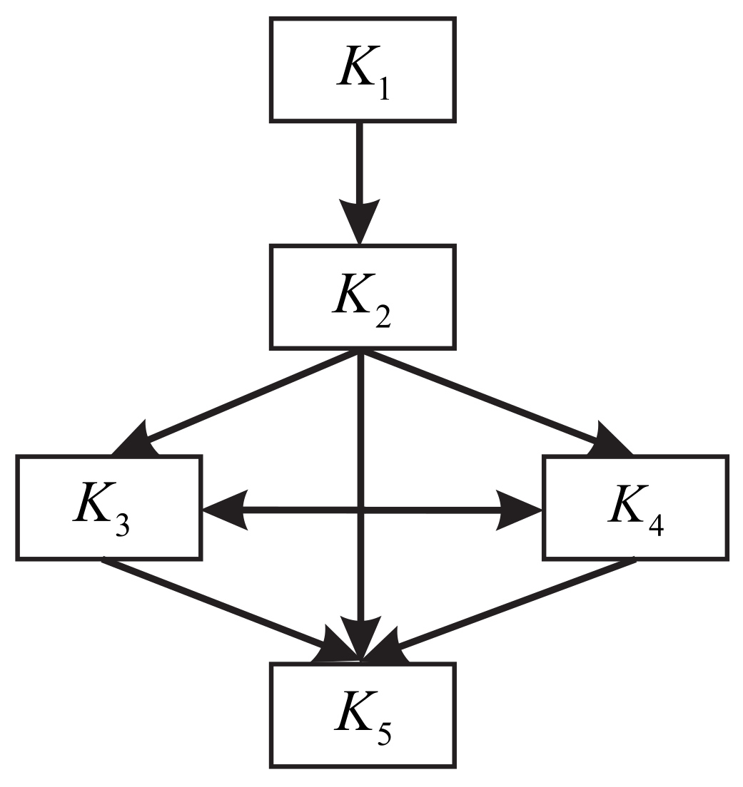
На рис. 4 показаны взаимосвязи между компонентами, такими как задержка отклика системы управления, частота работы центрального процессора, количество операций выполняемых системой управления и удовлетворенность системой управления.
Рисунок 4: Архитектура системы управления в виде сети с обратными связями (составлено автором)
Согласно рис. 4, например, увеличение объема оперативной памяти напрямую влияет на задержку отклика системы управления, что, в свою очередь, влияет на частоту работы центрального процессора и количество операций выполняемых системой управления. Эти изменения затрагивают и удовлетворенность системой управления. Таким образом, каждый компонент информационной системы управления воздействует на другие, что подчеркивает необходимость целостного подхода к оценке.
Для построения матрицы взаимных влияний и вычисления коэффициентов важности – применяется метод аналитической иерархии (МАИ).
Процесс анализа осуществляется с помощью попарных сравнений по шкале от 1 до 9, где значения 1,3,5,7 и 9 обозначают равную, умеренную, высокую, очень высокую и чрезвычайную важность соответственно.
Данный подход минимизирует двусмысленность и облегчает экспертам оценку предпочтений без нейтральной средней точки. Элементы матрицы парных сравнений отражают степень предпочтения одной альтернативы по отношению к другой, а сравнения выполняются экспертами, такими как системные архитекторы и инженеры.
Для анализа критериев требуется провести попарных сравнений. Число ответов экспертов для построения матрицы парных сравнений для сравниваемых элементов равно 10.
Элементы супер–матрицы ниже главной диагонали вычисляются как обратные значения элементов выше диагонали .
Сформированные матрицы фиксируют относительное влияние компонентов системы, что позволяет провести комплексную оценку ее эффективности. Анализ супер–матрицы предоставляет объективные весовые коэффициенты, которые служат основой для расчета общей эффективности системы управления и определения приоритетных направлений для ее улучшения и оптимизации.
Для получения показателей удовлетворенности системой управления требуется провести опрос среди экспертов, включая руководство и операционных сотрудников в обрабатывающем производстве, в зависимости от информационной системы управления.
Опрос охватывает шесть ключевых блоков:
- – общая удовлетворенность системой,
- – внутрифирменное планирование,
- – стратегическое планирование,
- – опыт пользователя,
- – поддержка и обучение,
- – улучшение и обратная связь.
Каждый блок включает в себя вопросы, закодированные по шкале Лайкерта от 1 до 5, где 1 – очень плохо, 5 – отлично [14].
Закодированные оценки преобразуются в числовые значения и суммируются для получения общего показателя удовлетворенности системой управления:
(3)
Показатели каждого блока рассчитываются как среднее арифметическое значений факторов блока:
(4)
Здесь – факторы блока, – количество факторов по блоку .
Среднее арифметические значения для каждого фактора блока вычисляются по формуле:
(5)
Здесь – среднее арифметическое значение для факторов блока , – число экспертов по блоку , – оценка эксперта с номером по блоку .
Для повышения точности анализа рекомендуется использовать как среднее арифметическое, так и медиану. Медианные ранги для каждого фактора рассчитываются по формуле:
(6)
Здесь – медианный ранг для индикатора фактора блока .
После завершения оценки информационной системы управления как инструмента внутрифирменного и стратегического планирования для обрабатывающего производства, необходимо провести ранжирование результатов для упорядочивания объектов по определенному критерию.
Ранжирование результата оценки информационной системы управления в обрабатывающем производстве осуществляется по интервалам
- Если , то система находится в отличном состоянии – А.
- Если , то система находится в хорошем состоянии – В.
- Если , то система находится в удовлетворительном состоянии – С.
- Если , то система находится в неудовлетворительном состоянии – D.
Экономико-математическая модель оценки информационной системы управления [15, 16] позволяет проводить систематическую и объективную оценку на основе количественных и качественных показателей.
Интеграция коэффициентов важности, определенных методами аналитических сетей и иерархий, создает надежную основу для принятия управленческих решений.
Такой комплексный подход обеспечивает глубокое понимание работоспособности системы управления для эффективного внутрифирменного и стратегического планирования.
Результаты и выводы
Результаты исследования подтверждают гипотезу о необходимости разработки и применения актуальных методов оценки информационных систем управления в обрабатывающем производстве.
Анализ показал, что существующие методы оценки, недостаточно адаптированы к специфическим условиям импортозамещения и динамики отечественного рынка.
Предложенный метод взвешенной суммы критериев, учитывающий технические характеристики и удовлетворенность пользователей, демонстрирует более точную и комплексную оценку информационных систем управления, что подтверждает гипотезу.
Гипотезу о том, что интеграция количественных и качественных показателей, а также учет коэффициентов важности, способствует созданию более надежной оценки информационных систем управления.
Исследование имеет несколько ограничений.
Во-первых, разработанный метод требует значительных ресурсов для нормализации критериев и вычисления коэффициентов важности, что может ограничивать его практическое применение в небольших предприятиях.
Во-вторых, использование методов аналитической сети и аналитической иерархии требует наличия высококвалифицированных экспертов, что может быть затруднительно в условиях ограниченных ресурсов.
В-третьих, исследование фокусируется на обрабатывающем производстве в России, что может ограничивать обобщение результатов для других стран или регионов.
Практическое применение предложенного метода оценки может значительно повысить эффективность внутрифирменного и стратегического планирования. Для оптимизации процесса выбора информационных систем управления рекомендуется:
- внедрить метод МВСК в рамках комплексной оценки информационных систем, обеспечивая учет как технических характеристик, так и удовлетворенности пользователей;
- разработать стандарты для нормализации критериев и вычисления коэффициентов важности, чтобы улучшить точность и воспроизводимость результатов оценки;
- привлекать внутренних и внешних экспертов для проведения оценки с использованием методов аналитической сети и иерархии.
Для дальнейшего развития темы исследования предлагаются следующие направления исследований:
- исследовать возможности автоматизации процесса нормализации критериев и вычисления коэффициентов важности для снижения временных и ресурсных затрат;
- изучить, как предложенный метод можно адаптировать для других отраслей помимо обрабатывающего производства, чтобы расширить его применимость.
Данные направления помогут углубить понимание оценки информационных систем управления и способствовать дальнейшему совершенствованию методов в условиях изменяющихся рыночных условий.
В данной статье было проведено всестороннее исследование методов оценки информационных систем управления в обрабатывающем производстве, с акцентом на их адаптацию к современным условиям импортозамещения и цифровизации.
Исследование охватывало несколько ключевых аспектов:
- анализ существующих методов оценки показал, что традиционные подходы, такие как экономическая добавленная стоимость и полная стоимость владения, имеют ограничения при применении в условиях динамично меняющегося рынка и специфических требований отечественного производства. Данные методы часто недостаточно учитывают уникальные факторы и изменения в законодательстве, что может снижать точность оценки;
- разработка нового метода оценки информационных систем управления, основанного на взвешенной сумме критериев, позволила создать более комплексный инструмент для анализа. Включение как количественных, так и качественных показателей, а также использование методов аналитической сети и иерархии для вычисления коэффициентов важности, обеспечило более точное и глубокое понимание эффективности информационных систем управления;
- практическое применение предложенного метода демонстрирует его потенциал в улучшении процессов внутрифирменного и стратегического планирования. Рекомендуется внедрять этот метод для комплексной оценки, что может способствовать повышению управленческой эффективности и снижению рисков, связанных с зависимостью от иностранных технологий;
- ограничения исследования связаны с необходимостью значительных ресурсов для нормализации данных и привлечения экспертов для проведения анализа, что может ограничивать применимость метода в условиях ограниченных ресурсов и в других отраслях;
- направления для будущих исследований включают адаптацию метода для различных отраслей, разработку инструментов автоматизации оценки, анализ долгосрочных эффектов внедрения информационных систем управления.
Таким образом, результаты исследования подчеркивают важность применения современных методов оценки информационных систем управления, способных учитывать текущие вызовы и специфические условия рынка, что является ключевым для повышения конкурентоспособности и устойчивости отечественных предприятий.
Конкурирующие интересы: Конкурирующих интересов нет.
About the authors
Vladimir N. Kruglov
Kaluga Branch of RANEPA
Author for correspondence.
Email: vladkaluga@yandex.ru
ORCID iD: 0000-0003-1490-9832
Doctor of Economics, Associate Professor (HAC), Honorary Worker of Education of the Russian Federation, full member of the Russian Academy of Natural Sciences, Full member of the Russian Academy of Reliability, Professor of the Department of Business Administration and Market Analytics
Russian Federation, 248021, Kaluga, Okruzhnaya str., 4, building 3Angela I. Samatova
Kaluga Branch of RANEPA
Email: samatova5995@mail.ru
ORCID iD: 0000-0002-1166-6444
Senior Lecturer at the Department of Business Administration and Market Analytics
Russian Federation, 248021, Kaluga, Okruzhnaya str., 4, building 3References
- Rudnik P.B., Zinina T.S. and etc. Digital transformation: effects and risks in new conditions. HSE University. – Moscow: ISIEZ HSE. – 2024. – 156 p. ISBN 978-5-7598-3009-2, https://doi.org/10.17323/978-5-7598-3009-2
- Strategic direction in the field of digital transformation of manufacturing industries related to the sphere of activity of the Ministry of Industry and Trade of the Russian Federation [Electronic resource]: Decree of the Government of the Russian Federation dated 07.11.2023 No. 3113-r // Official Internet portal of legal information: State System of Rights. inform. http://publication.pravo.gov.ru/document/0001202311090050 (accessed 04/01/2024).
- Brodunov A.N., Zhukova K.V. Economic value-added model (EVA) as a method of business value management // Bulletin of the S.Y. Witte Moscow University. Series 1: Economics and Management. – 2018. – No. 1(24). – pp. 28–33. https://doi.org/10.21777/2587-9472-2018-1-28-33.
- Fadeev D.S,. Gornakov I.A. Analysis of the main parameters of target costs and their impact on the cost of owning a vehicle // Bulletin of the Irkutsk State Technical University. – 2016. – Vol. 20, – No. 12(119). – pp. 215–224. https://doi.org/10.21285/1814-3520-2016-12-215-224.
- Filippov V.P., Shuldyasheva E.O. Application of the method of assessing the cumulative economic effect of the implementation of the development environment // Bulletin of the Russian University of Cooperation. – 2015. – No. 2(20). – pp. 57–62. EDN: UHUAFH
- Kaplan R.S. Norton D.P. Balanced scorecard: From strategy to action. – Moscow: Olymp–business. – 2003. – 282 p. ISBN: 978-5-9693-0358-4
- Beth A. Information as an Economic Commodity // American Economic Review. – 1990, – 80(2), pp. 268–73. https://EconPapers.repec.org/RePEc:aea:aecrev:v:80:y:1990:i:2:p:268-73.
- Khalikov M.A., Maksimov D.A. Features of investment portfolio management models of a non–institutional investor–agent of the Russian stock market // Fundamental research. – 2015. – No. 2–14. – pp. 3136–3145. EDN: UBQLDN
- Lentsova A.V. Application of the IT–Scorecard balanced scorecard system in evaluating information systems // Economics and Management in the XXI century: development trends. – 2014. – No. 17. – pp. 121–126. EDN: SKFSCV
- Amram M., Howe K.M. Real Options Valuations: Taking Out the Rocket Science, Strategic Finance. – Montvale. – 2003. Vol. 84. Iss. – 8. – pp. 10–13. https://fac.comtech.depaul.edu/khowe/Asian-Pecific_University_2006/Risk_Management /strategic_management1.pdf
- Vasilyeva E.V., Deeva E.A. Methods of expert assessments in applied information economics to substantiate the advantages of information systems and technologies // The world of the new economy. – 2017. – No. 4. – pp. 14–22. EDN: YMPJDC
- Evnevich M.A., Ivanova D.V. Research of tax management reforms in Russian practice // Accounting in budgetary and non–profit organizations. – 2023. – No. 3(555). – pp. 7–20. EDN: PFQBSC
- Garmash A.N., Orlova I.V., Fedoseev V.V. Economic and mathematical methods and applied models: textbook for undergraduate and graduate studies. – Moscow: Yurait Publishing House. – 4th ed., reprint. and add. – 2022. – 328 p. ISBN 978-5-9916-3698-8, https://urait.ru/bcode/507819
- Krasilnikova M.A., Maksimov M.I. Modern methods of formalization of decision–making and expert assessments // Innovative economics and modern management. – 2018. – No. 4. – pp. 19–23. EDN: YQHEOD
- Samatova A.I. Evaluation of the economic efficiency of information systems for manufacturing production management: instrumental aspects of calculating economic and mathematical modeling // Economics: yesterday, today, tomorrow. – 2024. – Vol. 14. – No. 1–1. – pp. 81–88. EDN: UWWTHK
- Samatova A.I. Economic and mathematical modeling of evaluation of information management systems in manufacturing: calculation tools // Advances in Science and Technology. Collection of articles of the LX international scientific and practical conference Moscow: Scientific Publishing Center Relevance.RF. – 2024. – pp. 386–387. ISBN 978-5-6051905-4-7
Supplementary files






