Model of nonlinear dynamics of development of multicomponent manufacturing enterprises, taking into account the effect of investment lag
- Authors: Saraev A.L.1, Saraev L.A.1
-
Affiliations:
- Samara National Research University
- Issue: Vol 15, No 3 (2024)
- Pages: 45-58
- Section: Articles
- URL: https://journals.rcsi.science/2542-0461/article/view/271577
- DOI: https://doi.org/10.18287/2542-0461-2024-15-3-45-58
- ID: 271577
Cite item
Full Text
Abstract
The published article proposes a generalization of the economic and mathematical model of the dynamics of development of a multi-industry enterprise, the resources of each production of which are restored by introducing internal lagging investments. The model of such a multi-industry enterprise is presented in the form of systems of coupled differential equations with respect to production factors. It is established that the marginal values of production factors are stationary solutions of systems of differential equations. It is shown that the most efficient operation of the considered multi-industry enterprise will be achieved only when the marginal values of production factors coincide with the values of the resources used, which correspond to the maximum values of profit for each production component. For a two-component production enterprise, calculation models of output, costs and profit for each component and for the entire enterprise are constructed. Numerical solutions of the corresponding system of differential equations are given, on the basis of which integral curves are constructed for production factors, output and profit for each component of the enterprise and for the entire enterprise as a whole.
Full Text
Введение
Прогнозирование особенностей динамики формирования выпуска продукции, издержек и прибыли предприятий, сложная структура которых образована несколькими взаимосвязанными производствами, является одной из актуальных проблем современной экономической теории.
Успешное решение этой проблемы методами экономико-математического моделирования помогает адекватно проанализировать деятельность таких предприятий, вычислить предельные значения для их ресурсов, объемов выпуска продукции и прибыли, а также достаточно точно описать динамику выпуска продукции, издержек и прибыли и т.д.
Актуальность подобного рода исследований заключается в том, что обеспечение экономического роста национальной экономики задается определяется долгосрочной тенденцией поступательного развития производственных предприятий и увеличения абсолютных и относительных значений их экономических показателей.
Органичное взаимодействие внедряемых в производства предприятия объемов внутренних инвестиций и утраты в результате амортизации объемов ресурсов определяют закономерности и особенности динамики развития предприятий [1-7].
Основным математическим инструментом для построения моделей экономического развития предприятий является теория дифференциальных уравнений и их систем [8-10].
Целью публикуемой работы является обобщение экономико-математической модели динамики развития многопрофильного предприятия, ресурсы каждого производства которого восстанавливаются счет ввода внутренних запаздывающих инвестиций [10].
При этом каждый отдельный компонент предприятия обеспечивается отдельными ресурсами и осуществляет собственный выпуск продукции, а затрачиваемые в процессе производства ресурсы каждого компонента предприятия восстанавливаются счет ввода внутренних запаздывающих инвестиций.
Научная новизна и особенности этих моделей состоят в том, что они описывают взаимодействие всех различных производств предприятия, позволяют определить динамические траектории выпуска продукции и прибыли как каждого компонента, так и всего предприятия в целом, вычислить эффективные коэффициенты норм внутренних запаздывающих инвестиций, при которых прибыль предприятия будет максимальной.
1. Выпуск продукции, издержки и прибыль многопрофильного производственного предприятия
Рассмотрим многопрофильное производственное предприятие, каждый компонент которого выпускает собственную продукцию.
Объемы выпуска продукции каждого компонента предприятия обеспечиваются соответствующими ресурсами .
Производственные факторы каждого компонента предприятия может включать в себя основной капитал, оборотный капитал, финансовый капитал, трудовые ресурсы, привлекаемые в производство материалы, технологии и инновации и т.д.
Ресурсы изменяются во времени и являются непрерывными и непрерывно дифференцируемыми функциями .
Единицами измерения переменной величины , в зависимости от рассматриваемой экономической ситуации, могут быть один месяц, один квартал или один год.
Ограниченные функции заключены между своими верхними и нижними границами
Здесь – известные начальные значения факторов производства , – их предельные значения, которые подлежат вычислению.
Объемы выпуска продукции , объемы издержек и объемы прибыли каждым компонентом многопрофильного предприятия обеспечиваются формулами [1]
(1)
Здесь – стоимость продукции, произведенной компонентом многопрофильного предприятия с номером на единичный объем ресурса, показатель степени – представляет собой эластичность выпуска продукции по соответствующему ресурсу , – стоимость затрат на единичный объем ресурса , – постоянные затраты компонента предприятия с номером .
Общий объем выпуска продукции , общий объем издержек и общий объем прибыли многопрофильного предприятия вычисляется по формулам [1]
(2)
Значения ресурсов , соответствующих максимальным значениям величин прибыли каждого компонента рассматриваемого многопрофильного предприятия, находятся из системы уравнений
(3)
и выражаются формулами
(4)
Максимальные значения прибыли каждого компонента рассматриваемого многопрофильного предприятия и максимальное значение прибыли всего предприятия в целом записываются в виде [1]
(5)
2. Уравнения нелинейной динамики развития многопрофильного производственного предприятия, учитывающие эффект запаздывания инвестиций
Изменения во времени ресурсов каждого компонента многопрофильного предприятия определяются уровнями объемов их амортизации и уровнями объемов вложенных в них инвестиций. Установим закономерности этих изменений, учитывая при этом эффект запаздывания инвестиций.
На некотором малом промежутке времени приращения ресурсов каждого компонента предприятия можно представить в виде суммы двух слагаемых
(6)
Здесь – частичные амортизации объемов факторов производства за время ; – частичные восстановления объемов факторов производства счет внутренних инвестиций за время .
Приращения объемов частичной амортизации за время имеют вид
(7)
Здесь – коэффициенты амортизации, доли выбывших за единицу времени объемов факторов производства .
Функция описывает удельную скорость развития рассматриваемого предприятия. Для постоянной и единичной удельной скорости развитие предприятия будет поступательным и монотонно возрастающим. Различные размеры отклонения значения функции от единицы в сторону уменьшения будут соответствовать замедлению процесса развития предприятия, его временной остановке во время смены технологий производства и кризисным явлениям.
Приращения частичных восстановлений объемов за время определяется соотношением
(8)
Здесь
(9)
– объемы инвестиций, вложенные в предприятие за счет ресурсов к моменту времени , – функции распределений постепенного и непрерывного ввода инвестиций, соответствующих ресурсам , за весь период работы предприятия, – инвестиции, соответствующие ресурсам и сделанные в момент времени .
Процесс ввода внутренних инвестиций предполагается стационарным, выражение (9) принимает вид
(10)
Функции распределения ввода инвестиций удовлетворяют условиям нормировки
(11)
Для экспоненциального распределения ввода инвестиций
соотношения (10) принимают вид
(12)
Интегральные уравнения (12) могут быть представлены в виде системы дифференциальных уравнений. Для этого их следует продифференцировать по времени , воспользоваться правилом интегрирования по частям и учесть очевидные равенства
Уравнения (12) принимают вид
или
(13)
Здесь предполагается, что в восстановлении каждого ресурса принимают участие все компоненты рассматриваемого многопрофильного предприятия,
– нормы накопления внутренних инвестиций .
Подставляя формулы (7) и (8) в уравнения баланса (6), получаем
(14)
Предельный переход в соотношении (14) при приводит к системе нелинейных дифференциальных уравнений
(15)
Уравнения (13) и (15) образуют систему нормальных нелинейных связанных уравнений первого порядка
(16)
Начальные условия для системы (16) имеют вид
(17)
В общем случае нелинейная задача Коши (16), (17) не имеет аналитического решения и может быть решена только численно.
Если в качестве функций распределения выбрать функцию Дирака , то решения задачи Коши (16), (17) совпадут с результатами работы [1], в которой эффект запаздывания внутренних инвестиций не учитывается.
Структура системы уравнений (16) показывает, что рост объемов ресурсов и объемов инвестиций будет продолжаться до тех пор, пока значения их производных будут положительными
Выход многопрофильного предприятия на предельную мощность осуществится только тогда, когда эти производные обратятся в нуль
В этом случае объемы инвестиций станут равными объемам амортизационных отчислений, а предельные значения факторов производства будут решениями системы уравнений
(18)
Целью работы любого предприятия является получение максимальной прибыли , которая достигается при значениях ресурсов .
Для достижения максимальной прибыли необходимо подобрать коэффициенты амортизации и коэффициенты норм инвестиций таким образом, чтобы значения величин и совпадали
При любых других предельных значениях величин ресурсов отличных от значений прибыль предприятия будет либо не достигать своего максимального значения, либо будет существенно снижаться.
Из уравнений (18) следует, что предельная прибыль многопрофильного предприятия будет максимальной только в том случае, если отношения коэффициентов норм инвестиций и амортизаций будут удовлетворять соотношению
3. Математическая модель развития двухкомпонентного производственного предприятия, учитывающая эффект запаздывания инвестиций
Применим теперь полученные результаты для расчета динамики роста ресурсов и выручки двухкомпонентного производственного предприятия. Выпуск продукции такого предприятия обеспечивается двумя производственными факторами и .
Формулы (1) для объемов выпуска продукции, объемов издержек и объемов прибыли каждым компонентом предприятия принимают вид
(20)
Формулы (2) для общих объемов выпуска продукции, объемов издержек и объемов прибыли предприятия в целом записываются в виде
(21)
Формулы (4) и (5) для значений ресурсов и соответствующих значений максимальной прибыли компонентов предприятия и всего предприятия в целом принимают вид
(22)
Система дифференциальных уравнений (16) с начальными условиями (17) для рассматриваемого двухкомпонентного предприятия записывается в виде
(23)
Формулы (19) для отношений коэффициентов норм инвестиций и амортизаций, при которых предельная прибыль предприятия становится максимальной записываются в виде
(24)
В качестве функции удельной скорости развития рассматриваемого предприятия целесообразно выбрать функцию [34]
(25)
Здесь – максимальный размер отклонения функции от единицы, и – центр и радиус временного интервала, на котором происходит основное замедление производственного процесса.
Если , то предприятие будет работать стабильно, если , то в окрестности точки t* рост выпуска продукции предприятием замедляется, если ω=1, то в момент времени t* рост выпуска продукции предприятием прекращается, и на интервале времени (t*-σ; t*-σ) происходит переоснащение производства, если ω>1, то на интервале времени (t*-σ; t*-σ) имеет место переоснащение производства, сопровождаемое его некоторым сворачиванием.
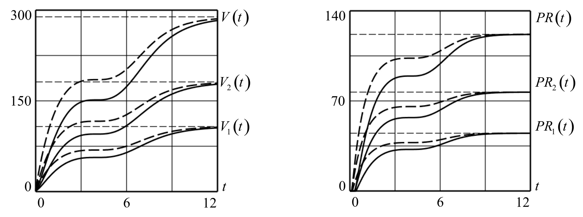
На рис. 1 показаны графики функций объемов выручки каждого компонента производства и , общего объема выручки всего многопрофильного предприятия в целом , объемов прибыли каждого компонента производства и и общего объема прибыли всего многопрофильного предприятия в целом , построенные по результатам численного решения задачи Коши (23), для случая его стабильной работы, .
Рисунок 1: Графики функций объемов выручки и прибыли каждого компонента производства и общего объема выручки и прибыли всего многопрофильного предприятия в целом, построенные по результатам численного решения задачи Коши (23), для случая его стабильной работы, ω=0.
На рис. 2 показаны графики функций объемов выручки каждого компонента производства и , общего объема выручки всего многопрофильного предприятия в целом , объемов прибыли каждого компонента производства и и общего объема прибыли всего многопрофильного предприятия в целом , построенные по результатам численного решения задачи Коши (23), для случая переоснащения производств, ω=1, t*=4, σ=2.
Рисунок 2: Графики функций объемов выручки и прибыли каждого компонента производства и общего объема выручки и прибыли всего многопрофильного предприятия в целом, построенные по результатам численного решения задачи Коши (23), для случая переоснащения производств, ω=1, t*=4, σ=2.
На рис. 3 показаны графики функций объемов выручки каждого компонента производства и , общего объема выручки всего многопрофильного предприятия в целом , объемов прибыли каждого компонента производства и и общего объема прибыли всего многопрофильного предприятия в целом , построенные по результатам численного решения задачи Коши (23), для случая переоснащения производств, сопровождаемое его некоторым сворачиванием, ω=1.1, t*=4, σ=2.
Рисунок 3: Графики функций объемов выручки и прибыли каждого компонента производства и общего объема выручки и прибыли всего многопрофильного предприятия в целом, построенные по результатам численного решения задачи Коши (23), для случая переоснащения производств сопровождаемое его некоторым сворачиванием, ω=1.1, t*=4, σ=2.
Сплошные линии соответствуют модели многопрофильного предприятия, учитывающей эффект запаздывания вложения внутренних инвестиций, штриховые линии соответствуют модели многопрофильного предприятия, не учитывающей эффект запаздывания вложения внутренних инвестиций [1]. Расчеты показывают, что модели не учитывающие эффект запаздывания привлечения внутренних инвестиций дают несколько завышенную оценку динамики развития предприятия.
При вычислении объемов выручки каждого компонента производства, общего объема выручки всего многопрофильного предприятия в целом, объемов прибыли каждого компонента производства и общего объема прибыли всего многопрофильного предприятия в целом и построении графиков на рис. 1 – рис. 6 были использованы расчетные значения величин:
Все кривые на на рис. 1 – рис. 3 построены для коэффициентов норм инвестиций вычисленных по формулам (24), для которых предельная прибыль предприятий будет максимальной. Если коэффициенты норм инвестиций в производство предприятия увеличить, то выпуск продукции увеличится, но при этом прибыль предприятия после достижения своего максимального предельного значения начнет снижаться, делая предприятие убыточным.
На рис. 4 показаны графики функций объемов выручки каждого компонента производства и , общего объема выручки всего многопрофильного предприятия в целом , объемов прибыли каждого компонента производства и и общего объема прибыли всего многопрофильного предприятия в целом , построенные по результатам численного решения задачи Коши (23), для случая его стабильной работы (ω=0) и увеличенных коэффициентах норм инвестиций в полтора раза.
Рисунок 4: Графики функций объемов выручки и прибыли каждого компонента производства и общего объема выручки и прибыли всего многопрофильного предприятия в целом, построенные по результатам численного решения задачи Коши (23), для случая его стабильной работы (ω=0) и увеличенных коэффициентах норм инвестиций в полтора раза.
Заключение
- Предложено обобщение экономико-математической модели динамики развития многопрофильного предприятия, ресурсы каждого производства которого восстанавливаются счет ввода внутренних запаздывающих инвестиций.
- Модель такого многопрофильного предприятия представлена в виде систем связанных дифференциальных уравнений относительно производственных факторов.
- Установлено, что предельные значения факторов производства представляют собой стационарные решения систем дифференциальных уравнений.
- Показано, что наиболее эффективная работа рассматриваемого многопрофильного предприятия будет достигаться только тогда, когда предельные значения факторов производства будут совпадать со значениями используемых ресурсов, которые соответствуют максимальным значениям прибыли каждого производственного компонента.
- Приведены численные решения соответствующей системы дифференциальных уравнений, на основе которых построены интегральные кривые для производственных факторов, выпусков продукции и прибыли для каждого компонента предприятия и для всего предприятия в целом.
Конкурирующие интересы: Конкурирующих интересов нет.
About the authors
Alexander L. Saraev
Samara National Research University
Author for correspondence.
Email: alex.saraev@gmail.com
ORCID iD: 0000-0002-9223-6330
Candidate of Economical Sciences; associate professor; associate professor of the Mathematics and Business Informatics Department
Russian Federation, 34, Moskovskoye shosse, Samara, 443086Leonid A. Saraev
Samara National Research University
Email: saraev_leo@mail.ru
ORCID iD: 0000-0003-3625-5921
Doctor of Physical and Mathematical Sciences; Professor; Professor of the Mathematics and Business Informatics Department
Russian Federation, 34, Moskovskoye shosse, Samara, 443086References
- Nizhegorodtsev R.M., Roslyakova N.A., Goridko N.P. Logistic models of the technology life cycle as a tool for assessing the efficiency of R&D expenditures for knowledge intensive companies // Management of large systems: collection of works. – 2024. – No 108. – pp.137–155. (In Russ). EDN: MYTGGI
- Badash Kh.Z. The economic-mathematical model of the economic growth of enterprises // Bulletin of Udmurt University. Series Economics and Law. – 2009. – No. 1. – pp.5–9. (In Russ). EDN: JWBHYV
- Korolev A.V., Matveenko V.D. Structure of equilibrium time-varying trajectories in the Lucas endogenous growth model // Automation and Remote Control. – 2006. – Vol. 67. – pp.624–633. (In Russ). EDN: NCSKJH
- Kuznetsov Yu.A., Michasova O.V. The generalized model of economic growth with human capital accumulation // Vestnik of Saint Petersburg University. Applied Mathematics. Computer Science. Control processes. – 2012. – No. 4. – pp.46–57. (In Russ). EDN: PFQNBT
- Saraev A.L. Equations of dynamics of unstable multifactor economic systems taking into account retardation effects of internal investment // Kazan economic vestnik. – 2015. – No. 3(17). – pp.68–73. (In Russ). EDN: UYWNHN
- Ilyina E. A., Saraev A. L., Saraev L. A. To the theory of modernization of manufacturing enterprises, taking into account the lag of internal investment // Journal of Economy and entrepreneurship. – 2017. – No. 9–4(86). – pp.1130–1134. (In Russ). EDN: ZXQFAF
- Saraev A.L., Saraev L.A. Economic and mathematical model of the development of industrial enterprises, taking into account the effect of lagging internal investment // Journal of Economy and entrepreneurship. – 2019. – No. 5(106). – pp.1316–1320. (In Russ). EDN: AIGTUR
- Saraev A.L., Saraev L.A., Stochastic calculation of curves dynamics of enterprise // Vestnik of the Samara State Technical University. Series Physics and Mathematics. – 2020. – Vol. 24. –No 2. pp. 343–364. (In Russ). EDN: MLTMBA
- Saraev A.L., Saraev L.A. Mathematical models of the development of industrial enterprises, with the effect of lagging internal and external investments // Journal of Physics: Conference Series. – Vol. 1784. – 2021. 012010. doi: 10.1088/1742-6596/1784/1/012010
- Saraev A.L., Saraev L.A. Modeling of processes of nonlinear dynamics of development of multi-component production enterprises // Vestnik of Samara University. Economics and Management. – 2024. – Vol. 15. – No. 1. – pp. 165–178. EDN:ECMVIW
Supplementary files






