Обработка, моделирование, прогнозирование отдельных показателей поверхностных сточных вод для выпусков исторической части города Самары
- Авторы: Стрелков А.К.1, Шувалов М.В.1, Абашкин А.А.1, Теплых С.Ю.1, Павлухин А.А.1
- 
							Учреждения: 
							- Самарский государственный технический университет
 
- Выпуск: Том 13, № 4 (2023)
- Страницы: 28-37
- Раздел: ВОДОСНАБЖЕНИЕ, КАНАЛИЗАЦИЯ, СТРОИТЕЛЬНЫЕ СИСТЕМЫ ОХРАНЫ ВОДНЫХ РЕСУРСОВ
- URL: https://journals.rcsi.science/2542-0151/article/view/253362
- DOI: https://doi.org/10.17673/Vestnik.2023.04.04
- ID: 253362
Цитировать
Полный текст
Аннотация
Изучено качество поверхностных сточных вод крупного промышленного центра на примере исторического центра Самары. Определены показатели, которые в будущем могут оказать негативное воздействие на бытовую систему канализации, в частности на городские очистные канализационные сооружения. При помощи математической обработки восполнены пропуски в имеющихся данных, выявлена взаимосвязь показателей между собой, их влияние друг на друга, осуществлено прогнозирование некоторых из них. Установлено, что представленные данные не окажут негативного воздействия на централизованные системы водоотведения поселений и городских округов.
Полный текст
Введение
Продолжая цикл статей о реконструкции дождевой канализации в городе Самаре, а именно исторической его части, в работах [1–3] было выявлено следующее.
В статье [2] установлено, что одним из факторов загрязнения водоемов (рек Волга и Самара) является неочищенная поверхностная сточная вода (ПоСВ), а именно выпуски ливневой канализации исторической части города, которые оказывают накопительно-негативное влияние на источники питьевого водоснабжения, поскольку они (выпуски ливневой системы водоотведения) не оборудованы очистными сооружениями.
В статье [1] установлено, что сброс поверхностных сточных вод в бытовую систему водоотведения будет способствовать в некоторой степени разбавлению хозяйственно-бытового стока и увеличению гидравлической загруженности городских канализационных очистных сооружений.
В статье [3] проведено исследование по изучению кинетики осаждения компонентов загрязняющих веществ, содержащихся в поверхностных сточных водах, отводимых с исторической части Самара.
Как описывалось в работах [1, 2], «в границах исторической части Самары находятся 10 выпусков дождевой канализации». Из них 6 осуществляют сброс в Саратовское водохранилище (р. Волга), остальные 4 – в залив Самарский Саратовского водохранилища (р. Самара).
Выпуски, находящиеся в «историческом центре города» (карта границы исторической части отмечена на рис. 1 [4]), не оборудованы очистными сооружениями.
Рис. 1. Граница исторической части города Самары [4]
Территория исторического поселения города Самары была определена в 2019 г. — она ограничена улицами Засекина, набережной Самары, Арцыбушевской, Льва Толстого, Буянова, Чкалова, Самарской и набережной Волги [5].
В статьях [1-3] раскрывалась суть проекта реконструкции, которая заключалась в том, что поверхностный сток, сбрасываемый без очистки, будет регулироваться и очищаться, если очистка будет вообще необходима, до нормативов сброса в канализационную сеть, где, смешиваясь с хозяйственно-бытовым стоком, в дальнейшем будет направляться на городские очистные канализационные сооружения (ГОКС).
Городские очистные канализационные сооружения построены на среднесуточное поступление стоков в размере 1 млн. м3/сут и в настоящее время очищают порядка 704,8 [6] – 551,3 тыс. м3/сут [7]. Опираясь на эти данные, приходим к выводу, что у очистных сооружений есть «запас» для очистки дополнительных стоков (запас около 300–400 тыс. м3/сут, а объем резервуаров, которые будут накапливать и перекачивать ПоСВ, запроектированных в исторической части, составляет около 50 тыс. м3).
Отвод поверхностного стока в реки Волгу и Самару осуществляется с исторического поселения в городе Самаре через выпуски «Ульяновский», «Вилоновский», «Некрасовский», «Ленинградский», «Комсомольский», «Пионерский», «Горячий ключ», «Старая гавань», «Крупский», «Хлебная площадь».
Основным объектом наблюдения являлись данные физико-химических анализов поверхностной сточной воды, образующейся в границах исторического поселения г. Самара, а именно выпусков «Ульяновский», «Вилоновский», «Комсомольский», «Горячий ключ», «Старая гавань». Выпуски «Некрасовский», «Ленинградский», «Пионерский», «Крупский» и «Хлебная площадь» не являлись объектами наблюдения, поскольку не включены в проект реконструкции, кроме того, по этим выпускам отсутствуют данные по физико-химическим анализам.
Для поверхностных сточных вод необходимо, прежде всего, произвести расчет и обработку изучаемых результатов. После обработки ПоСВ и полученных из этого данных появится возможность разработать концепцию, которая в дальнейшем оптимизирует работу очистных сооружений, поскольку в данном исследовании был изучен и проанализирован состав стоков.
Выбраковка показателей
За лабораторный контроль качества сбрасываемых стоков через выпуски, а также эксплуатацию и ремонт сети несет ответственность муниципальное предприятие (МП) «Инженерные системы» [8]. В табл. 1 представлены методики выполнения измерений показателей контролируемых (замеряемых) МП «Инженерные системы».
Таблица 1. Методики для определения концентраций загрязнений
| Показатель | Ед. изм. | Нормативный документ на методы выполнения измерений | 
| БПК5 | мг О2/ дм3 | ПНД Ф 14.1:2:3:4.123-97 | 
| Взвешенные вещества | мг/дм3 | ПНД Ф 14.1:2:4.254-2009 | 
| Сухой остаток | мг/дм3 | ПНД Ф 14.1:2.114-97 | 
| Хлориды | мг/дм3 | ПНД Ф 14.1:2.111-97 | 
| Сульфаты | мг/дм3 | ПНД Ф 14.1:2.159-2000 | 
| Железо общее | мг/дм3 | ПНД Ф 14.1:2.50-96 | 
| Нефтепродукты | мг/дм3 | ПНД Ф 14.1:2:4.168-2000 | 
| ПАВ анионоактивный | мг/дм3 | ПНД Ф 14.1.15-95 | 
| Аммоний-ион | мг/дм3 | ПНД Ф 14.1:2:3.1-95 | 
| Нитрит-ион | мг/дм3 | ПНД Ф 14.1:2:4.3-95 | 
| Нитрат-ион | мг/дм3 | ПНД Ф 14.1:2:4.4-95 | 
| Общий фосфор | мг/дм3 | ПНД Ф 14.1:2.106-97 | 
| Хром общий | мг/дм3 | ПНД Ф 14.1:2:4.52-96 | 
| Медь | мг/дм3 | ПНД Ф 14.1:2:4.48-96 | 
| Кадмий | мг/дм3 | ПНД Ф 14.1:2:3.180-2002 | 
| Никель | мг/дм3 | ПНД Ф 14.1:2.46-96 | 
| Цинк | мг/дм3 | ПНД Ф 14.1:2:4.60-96 | 
| Ртуть | мг/дм3 | ПНД Ф 14.1:2:4.136-98 | 
| Свинец | мг/дм3 | ПНД Ф 14.1:2.174-2000 | 
| Алюминий | мг/дм3 | ПНД Ф 14.1:2:4.166-2000 | 
| Водородный показатель | - | ПНД Ф 14.1:2:3:4.121-97 | 
| Фенолы летучие | мг/дм | ПНД Ф 14.1:2.105-97 | 
Пробы ПоСВ для проведения химических анализов отбираются один раз в месяц по графику или же после выпадения дождя, а также в период активного снеготаяния непосредственно перед сбросом в водоём. По среднесуточной пробе определяется физико-химический состав стока, в данном исследовании результаты анализов обработаны за период 2013–2022 гг. выпусков «Ульяновский», «Вилоновский», «Комсомольский», «Горячий ключ», и с 2015 по 2022 гг. – выпуска «Старая гавань».
В табл. 2 представлены данные ингредиентов, использованные в дальнейшей обработке. Кроме того, на этом этапе будут отбракованы сведения по тяжелым металлам, таким как хром общий, медь, кадмий, никель, цинк, ртуть, свинец. Водородный показатель и фенолы летучие не будут использованы в дальнейшем, поскольку результаты физико-химических анализов по этим ингредиентам равны, близки к нулю или ниже порога обнаружения лабораторным оборудованием.
Таблица 2. Отбракованные показатели
| Ингредиенты | ||
| изначальные | резидуальные | исключенные | 
| БПК5 | БПК5 | |
| Взвешенные вещества | Взвешенные вещества | |
| Сухой остаток | Сухой остаток | |
| Хлориды | Хлориды | |
| Сульфаты | Сульфаты | |
| Железо общее | Железо общее | |
| Нефтепродукты | Нефтепродукты | |
| ПАВ анионоактивный | ПАВ анионоактивный | |
| Аммоний-ион | Аммоний-ион | |
| Нитрит-ион | Нитрит-ион | |
| Нитрат-ион | Нитрат-ион | |
| Общий фосфор | Общий фосфор | |
| Хром общий | Хром общий | |
| Медь | Медь | |
| Кадмий | Кадмий | |
| Никель | Никель | |
| Цинк | Цинк | |
| Ртуть | Ртуть | |
| Свинец | Свинец | |
| Алюминий | Алюминий | |
| Водородный показатель | Водородный показатель | |
| Фенолы летучие | Фенолы летучие | |
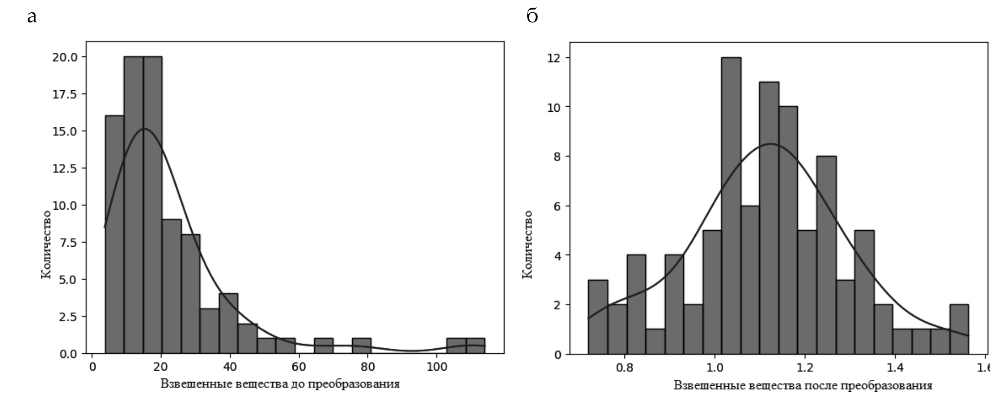
Рис 2. Распределение концентрации взвешенных веществ на выпуске «Комсомольский»: а – изначально; б – после преобразования
Восполнение пропущенных значений показателей
В исходных данных есть пропущенные значения концентраций исследуемых веществ. При этом существуют пропуски двух видов: первый – когда отсутствуют все значения за месяц; второй – когда отсутствуют только некоторые значения за месяц. В данной статье решалась задача восполнения пропусков второго вида.
Пропущенные значения были вычислены по модели линейной регрессии. В качестве регрессоров выступают концентрации тех элементов, замеры которых присутствуют за рассмотренный месяц.
Для построения более адекватных моделей регрессии для всех веществ предварительно были удалены нетипичные данные («выбросы»). Так как распределения концентрации веществ имеют ярко выраженную асимметрию, предварительно с помощью логарифмического и линейного преобразований они были приведены к симметричной форме.
Для каждого пропуска было построено три модели линейной регрессии: 1) для исходных признаков; 2) для признаков, преобразованных с помощью логарифмической функции; 3) для признаков, приведенных к нулевой асимметрии. В каждую модель были добавлены данные по температуре и количеству осадков, а также признак, содержащий значения целевой переменной за предыдущий месяц. После построения для каждой модели по t-критерию были отсеяны признаки, у которых p-значение для коэффициентов меньше 0,1. Затем были вновь построены модели линейной регрессии по оставшимся признакам. Для выбора наилучшей модели выборка, по которой была построена модель, была поделена на обучающую и тестовую. Учитывая малый объем, данная процедура была проделана 100 раз. Каждый раз рассчитывалось среднее значение модуля относительной погрешности прогноза по тестовой выборке. За итоговое среднее значение модуля относительной погрешности взято среднее арифметическое данных ста значений.
В табл. 3 приведен пример заполнения пропусков для выпуска «Старая гавань».
Таблица 3. Заполнение пропусков в данных по выпуску «Старая гавань»
| Год | Месяц | Показатель, мг/дм3 | Среднее значение модуля относительной погрешности прогноза, ٪ | ||||||||||||||||||
| БПК | Взвешенные вещества | Сухой остаток | Сульфаты | Аммоний- ион | Фосфат по фосфору | Железо общее | Алюминий | Нефте- продукты | АПАВ | БПК | Взвешенные вещества | Сухой остаток | Сульфаты | Аммоний- ион | Фосфат по фосфору | Железо общее | Алюминий | Нефте-продукты | АПАВ | ||
| 2020 | 6 | 3,6 | 16 | 380 | 80 | 0,35 | 0,020 | 0,2 | 0,012 | 0,033 | 0,041 | 0 | 0 | 0 | 0 | 0 | 0 | 0 | 33,55 | 0 | 0 | 
| 2020 | 11 | 5,74 | 9,7 | 350 | 72 | 0,96 | 0,018 | 0,38 | 0,012 | 0,024 | 0,120 | 17,71 | 0 | 0 | 0 | 0 | 0 | 0 | 0 | 0 | 0 | 
| 2020 | 12 | 3,6 | 8 | 394 | 92 | 0,92 | 0,026 | 0,33 | 0,015 | 0,044 | 0,038 | 0 | 0 | 0 | 0 | 0 | 0 | 0 | 33,55 | 0 | 0 | 
| 2021 | 1 | 2,7 | 6,96 | 318 | 76 | 0,82 | 0,021 | 0,22 | 0,012 | 0,046 | 0,052 | 0 | 58,47 | 0 | 0 | 0 | 0 | 0 | 0 | 0 | 0 | 
| 2021 | 3 | 12,6 | 31,1 | 370 | 88 | 8,4 | 0,104 | 0,5 | 0,016 | 0,066 | 0,070 | 17,45 | 0 | 0 | 0 | 0 | 44,23 | 0 | 0 | 0 | 0 | 
| 2021 | 4 | 5,15 | 3,5 | 393 | 82 | 1,7 | 0,036 | 0,23 | 0,013 | 0,048 | 0,071 | 17,45 | 0 | 0 | 0 | 0 | 0 | 0 | 0 | 0 | 0 | 
| 2021 | 6 | 5,26 | 3,4 | 369 | 73 | 1,9 | 0,046 | 0,26 | 0,028 | 0,044 | 0,058 | 17,71 | 0 | 0 | 0 | 0 | 0 | 0 | 0 | 0 | 0 | 
| 2021 | 7 | 2,85 | 3,5 | 386 | 84 | 0,37 | 0,018 | 0,31 | 0,014 | 0,049 | 0,042 | 17,45 | 0 | 0 | 0 | 0 | 0 | 0 | 0 | 0 | 0 | 
| 2021 | 8 | 2,7 | 5,4 | 438 | 92 | 0,48 | 0,018 | 0,28 | 0,015 | 0,024 | 0,032 | 17,45 | 0 | 0 | 0 | 0 | 0 | 0 | 34,69 | 0 | 0 | 
| 2021 | 10 | 2,98 | 3,6 | 572 | 80 | 0,48 | 0,023 | 0,3 | 0,015 | 0,038 | 0,042 | 17,45 | 0 | 0 | 0 | 0 | 0 | 0 | 34,69 | 0 | 0 | 
| 2021 | 11 | 3,17 | 5,8 | 400 | 87 | 0,45 | 0,017 | 0,24 | 0,013 | 0,051 | 0,038 | 20,17 | 0 | 0 | 0 | 78,71 | 0 | 0 | 0 | 0 | 0 | 
| 2021 | 12 | 3,51 | 3,6 | 355 | 76 | 0,51 | 0,060 | 0,24 | 0,015 | 0,059 | 0,060 | 17,45 | 0 | 0 | 0 | 0 | 0 | 0 | 34,69 | 0 | 0 | 
| 2022 | 1 | 2,31 | 9,8 | 420 | 102 | 0,38 | 
 | 
 | 0,016 | 0,040 | 0,022 | 17,45 | 0 | 0 | 0 | 0 | 
 | 
 | 0 | 0 | 0 | 
| 2022 | 2 | 8 | 6,99 | 395,75 | 83,68 | 6,8 | 0,360 | 0,27 | 0,020 | 0,076 | 0,093 | 0 | 58,88 | 5,78 | 7,66 | 0 | 0 | 26,2 | 0 | 0 | 23,05 | 
| 2022 | 3 | 7,96 | 9,2 | 430 | 92 | 2 | 0,046 | 0,3 | 0,015 | 0,040 | 0,160 | 17,45 | 0 | 0 | 0 | 0 | 0 | 0 | 0 | 0 | 0 | 
| 2022 | 5 | 3,8 | 7,07 | 368,14 | 85 | 1,4 | 0,046 | 0,29 | 0,015 | 0,077 | 0,056 | 0 | 52,52 | 5,24 | 0 | 0 | 0 | 0 | 0 | 0 | 23,05 | 
| 2022 | 6 | 2,94 | 4,55 | 384,6 | 90 | 0,44 | 0,019 | 0,32 | 0,018 | 0,049 | 0,039 | 18,86 | 49,64 | 5,31 | 0 | 0 | 0 | 0 | 32,15 | 30,62 | 28,31 | 
| 2022 | 7 | 2,93 | 5,98 | 435,04 | 99 | 0,36 | 0,018 | 0,31 | 0,017 | 0,062 | 0,043 | 19,1 | 49,33 | 5,16 | 0 | 0 | 0 | 0 | 0 | 0 | 26,58 | 
| 2022 | 8 | 3,4 | 3,3 | 380 | 96 | 0,31 | 0,010 | 0,29 | 0,015 | 0,069 | 0,045 | 0 | 0 | 0 | 0 | 0 | 36,37 | 0 | 0 | 0 | 23,89 | 
| 2022 | 9 | 5,93 | 6,17 | 427,9 | 94 | 2,4 | 0,030 | 0,34 | 0,023 | 0,071 | 0,071 | 17,45 | 49,33 | 5,16 | 0 | 0 | 0 | 0 | 0 | 0 | 0 | 
| 2022 | 10 | 2,98 | 3,6 | 572 | 80 | 0,48 | 0,023 | 0,3 | 0,015 | 0,038 | 0,042 | 17,45 | 0 | 0 | 0 | 0 | 0 | 0 | 34,69 | 0 | 0 | 
| 2022 | 11 | 3,31 | 5,8 | 400 | 87 | 0,48 | 0,017 | 0,24 | 0,013 | 0,051 | 0,038 | 20,17 | 0 | 0 | 0 | 78,71 | 0 | 0 | 0 | 0 | 0 | 
| 2022 | 12 | 3,51 | 3,6 | 355 | 76 | 0,51 | 0,060 | 0,24 | 0,015 | 0,059 | 0,060 | 17,45 | 0 | 0 | 0 | 0 | 0 | 0 | 34,69 | 0 | 0 | 
| Среднее значение модуля относительной погрешности при замене на среднее | 30,7 | 96,3 | 10,2 | 7,8 | 188,2 | 97,6 | 28,5 | 38 | 47,5 | 42,4 | |||||||||||
В последней строке табл. 3 приведены средние значения модуля относительной погрешности заполнения пропусков, в случае их заполнения средним значением признака.
Жирным шрифтом в табл. 3 выделены результаты и точность заполнения.
По остальным выпускам приведем только диапазоны среднего значения модуля относительной погрешности заполнения пропусков: БПК – 22–35 %; взвешенные вещества – 35–60 %; сухой остаток – 3.7–7 %; хлориды – 7–11%; сульфаты – 6–12%; аммоний-ион – 89–105 %; нитрит-ион – 53–64 %; нитрат-ион – 21–71 %; фосфат по фосфору – 19–58 %; железо общее – 21–32 %; алюминий – 32–60 %; нефтепродукты – 31–41 %; АПАВ – 25–50 %.
Прогноз показателей на год
Поскольку данные по концентрациям веществ за разные месяцы образуют временные ряды, то следует рассматривать задачу прогнозирования таких рядов. В работе была исследована возможность прогнозирования на двенадцать месяцев, т. е. на один год. Относительно прогнозирования требуется сделать оговорку, что поскольку информация за последние годы имеет много пропусков, то в этом случае прогнозирование рядов зачастую решает задачу заполнения пропусков первого вида за 2021 и 2022 гг.
Для прогнозирования концентрации веществ использовалась модель ARIMA [9, с. 289], параметры модели подбирались для минимизации погрешности на тестовой выборке. В качестве обучающей выборки использовался начальный участок временного ряда. Для одного и того же вещества были выбраны три начальных участка разных длин, по каждому из таких участков строилась модель ARIMA, затем модель проверялась на тестовой выборке, в качестве которой использовались данные за следующие 12 месяцев после конца обучающей выборки. По каждой тестовой выборке вычислялось среднее значение относительной погрешности прогноза. В качестве итогового результата взято наибольшее из трех средних значений относительной погрешности.
Точность прогноза, существенно превышающую точность при замене на среднее значение, выявили:
- Прогноз для БПК на выпуске «Комсомольский» – использовалась модель ARIMA (4,2,4), среднее значение модуля относительной погрешности прогноза 58 % (табл. 4).
- Прогноз для железа общего на выпуске «Комсомольский» – использовалась модель ARIMA (3,2,1), среднее значение модуля относительной погрешности прогноза 29 % (табл. 5).
- Прогноз для железа общего на выпуске «Горячий Ключ» – использовалась модель ARIMA (2,2,3), среднее значение модуля относительной погрешности прогноза 24 % (табл. 6).
- Прогноз для алюминия на выпуске «Горячий Ключ» – использовалась модель ARIMA (6,2,0), среднее значение модуля относительной погрешности прогноза 29 % (табл. 7).
- Прогноз для железа общего на выпуске «Ульяновский» – использовалась модель ARIMA (5,2,2), среднее значение модуля относительной погрешности прогноза 18 % (табл. 8).
Таблица 4. Результаты прогнозирования концентрации БПК на выпуске «Комсомольский»
| Год | 2020 | 2020 | 2020 | 2020 | 2021 | 2021 | 2021 | 2021 | 2021 | 2021 | 2021 | 2021 | 
| Месяц | 9 | 10 | 11 | 12 | 1 | 2 | 3 | 4 | 5 | 6 | 7 | 8 | 
| Прогноз | 4,37 | 5,75 | 7,16 | 6,81 | 5,42 | 5,16 | 6,37 | 7,18 | 6,41 | 5,27 | 5,46 | 6,64 | 
Таблица 5. Результаты прогнозирования концентрации железа общего на выпуске «Комсомольский»
| Год | 2021 | 2021 | 2021 | 2021 | 2022 | 2022 | 2022 | 2022 | 2022 | 2022 | 2022 | 2022 | 
| Месяц | 9 | 10 | 11 | 12 | 1 | 2 | 3 | 4 | 5 | 6 | 7 | 8 | 
| Прогноз | 0,39 | 0,35 | 0,37 | 0,37 | 0,36 | 0,36 | 0,36 | 0,36 | 0,36 | 0,36 | 0,36 | 0,35 | 
Таблица 6. Результаты прогнозирования концентрации железа общего на выпуске «Горячий ключ»
| Год | 2022 | 2022 | 2022 | 2023 | 2023 | 2023 | 2023 | 2023 | 2023 | 2023 | 2023 | 2023 | 
| Месяц | 10 | 11 | 12 | 1 | 2 | 3 | 4 | 5 | 6 | 7 | 8 | 9 | 
| Прогноз | 0,301 | 0,305 | 0,292 | 0,302 | 0,289 | 0,299 | 0,286 | 0,296 | 0,283 | 0,293 | 0,281 | 0,290 | 
Таблица 7. Результаты прогнозирования концентрации алюминия на выпуске «Горячий ключ»
| Год | 2022 | 2022 | 2022 | 2023 | 2023 | 2023 | 2023 | 2023 | 2023 | 2023 | 2023 | 2023 | 
| Месяц | 10 | 11 | 12 | 1 | 2 | 3 | 4 | 5 | 6 | 7 | 8 | 9 | 
| Прогноз | 0,026 | 0,027 | 0,026 | 0,027 | 0,027 | 0,026 | 0,027 | 0,026 | 0,026 | 0,026 | 0,026 | 0,026 | 
Таблица 8. Результаты прогнозирования концентрации железа общего на выпуске «Ульяновский»
| Год | 2022 | 2022 | 2023 | 2023 | 2023 | 2023 | 2023 | 2023 | 2023 | 2023 | 2023 | 2023 | 
| Месяц | 11 | 12 | 1 | 2 | 3 | 4 | 5 | 6 | 7 | 8 | 9 | 10 | 
| Прогноз | 0,254 | 0,286 | 0,277 | 0,306 | 0,263 | 0,285 | 0,260 | 0,289 | 0,263 | 0,282 | 0,257 | 0,277 | 
Моделирование взаимной зависимости показателей
Моделирование зависимостей между концентрациями веществ позволило установить, концентрации каких веществ наибольшим образом влияют на концентрацию других веществ.
Эмпирические линии регрессии показали, что в случае, когда связь между концентрациями веществ имеется, то такая связь имеет линейный характер, поэтому оправдано использование модели линейной регрессии оправданно.
Для унификации данные по концентрации всех веществ были приведены к нулевому математическому ожиданию и единичной дисперсии.
Для каждого вещества была построена модель линейной регрессии по концентрациям других веществ. После построения модели по t-критерию были отсеяны признаки, у которых p-значение для коэффициентов меньше 0,1. Затем была вновь построена модель линейной регрессии по оставшимся признакам. Коэффициенты всех получившихся моделей представлены в табл. 9.
Таблица 9. Коэффициенты моделей линейной регрессии
| Показатель | БПК | Взвешенные вещества | Сухой остаток | Хлориды | Сульфаты | Аммоний- ион | Нитрит- ион | Нитрат- ион | Фосфат по фосфору | Железо общее | Алюминий | Нефте- продукты | АПАВ | 
| БПК | 0,279 | -0,094 | 0,324 | 0,106 | 0,281 | ||||||||
| Взвеш. в-ва | 0,142 | -0,251 | 0,129 | -0,143 | 0,333 | 0,388 | |||||||
| Сухой остаток | 0,419 | 0,508 | 0,156 | 0,109 | 0,129 | -0,143 | |||||||
| Хлориды | 0,114 | 0,609 | -0,209 | -0,309 | -0,168 | 0,323 | |||||||
| Сульфаты | -0,224 | 0,617 | 0,174 | -0,139 | 0,140 | ||||||||
| Аммоний-ион | 0,348 | -0,106 | 0,148 | -0,171 | 0,121 | -0,082 | 0,421 | ||||||
| Нитрит-ион | 0,197 | 0,269 | -0,164 | 0,356 | |||||||||
| Нитрат-ион | -0,249 | 0,214 | -0,438 | -0,405 | -0,129 | 0,382 | |||||||
| Фосфат по фосфору | 0,576 | -0,140 | -0,166 | 0,176 | 0,119 | 0,103 | |||||||
| Железо общее | 0,313 | 0,389 | 0,152 | -0,213 | -0,147 | -0,103 | -0,101 | 0,185 | 0,163 | ||||
| Алюминий | 0,119 | 0,371 | 0,066 | ||||||||||
| Нефте-продукты | 0,290 | 0,266 | 0,325 | ||||||||||
| АПАВ | 0,374 | 0,199 | -0,154 | 0,174 | 0,364 | 0,100 | 0,150 | 0,087 | 
Рис. 3. Модель линейной регрессии зависимости концентрации БПК от концентраций аммоний-иона и фосфата
Для выбора наиболее значимых признаков был предложен численный критерий, представленный в следующей формуле:
, (1)
где βij – коэффициент, стоящий перед i-м веществом в j-й модели; R2j – коэффициент детерминации j-й модели; Sj – сумма коэффициентов j-й модели.
По численному критерию – см. формулу (1) наиболее значимыми признаками оказались: 1) АПАВ со значением критерия 0,89; 2) БПК со значением критерия 0,72; 3) аммоний-ион со значением критерия 0,69; 4) сухой остаток со значением критерия 0,68.
Ранее было установлено [1–3], что БПК, взвешенные вещества, нефтепродукты, фосфат по фосфору могут иметь значительное влияние на работу ГОКС и эффективность очистки, поэтому для концентраций данных веществ были построены модели линейной регрессии по концентрациям других веществ.
Результат моделирования:
- БПК: коэффициент детерминации модели 0,752; коэффициенты регрессии: константа 2,12; аммоний-ион 0,58; нитрат-ион -0,81; фосфат по фосфору 14,23; железо общее 2,28; АПАВ 22,38;
- взвешенные вещества: коэффициент детерминации модели 0,439; коэффициенты регрессии: константа 13,15; хлориды 0,18; сульфаты -0,25; нитрит-ион 13,2; фосфат по фосфору -17,47; железо общее 19,96; АПАВ 85,93;
- нефтепродукты: коэффициент детерминации модели 0,315; коэффициенты регрессии: константа -0,06; сульфаты 0,0011; фосфат по фосфору 0,12; алюминий 1,13;
- фосфат по фосфору: коэффициент детерминации модели 0.582; коэффициенты регрессии: константа 0.14; БПК 0.013; взвешенные вещества 0,0011; сульфаты 0,0014; аммоний-ион 0,0083; железо общее 0,058; нефтепродукты 0,22.
Приведем иллюстрацию модели для БПК. Для возможности отображения в трехмерном пространстве в модели были оставлены два главных признака: аммоний-ион и фосфат по фосфору.
Выводы.
- Найденные эмпирические зависимости выявили взимосвязь показателей АПАВ, аммоний-ион, сухой остаток, БПК между собой и их влияние друг на друга.
- Получены линейные модели зависимости показателей БПК, взвешенных веществ, нефтепродуктов, фосфора фосфатов, которые могут быть использованы для прогнозирования работы городских очистных канализационных сооружений.
Об авторах
Александр Кузьмич Стрелков
Самарский государственный технический университет
							Автор, ответственный за переписку.
							Email: a19400209@yandex.ru
				                					                																			                								
доктор технических наук, профессор, заведующий кафедрой водоснабжения и водоотведения
Россия, 443100, г. Самара, ул. Молодогвардейская, 244Михаил Владимирович Шувалов
Самарский государственный технический университет
														Email: mshuv57@gmail.com
				                					                																			                								
кандидат технических наук, доцент кафедры водоснабжения и водоотведения, директор Академии строительства и архитектуры
Россия, 443100, г. Самара, ул. Молодогвардейская, 244Антон Александрович Абашкин
Самарский государственный технический университет
														Email: samcocaa@rambler.ru
				                					                																			                								
кандидат физико-математических наук, доцент кафедры высшей математики
Россия, 443100, г. Самара, ул. Молодогвардейская, 244Светлана Юрьевна Теплых
Самарский государственный технический университет
														Email: lana2802@mail.ru
				                					                																			                								
кандидат технических наук, доцент кафедры водоснабжения и водоотведения
Россия, 443100, г. Самара, ул. Молодогвардейская, 244Алексей Андреевич Павлухин
Самарский государственный технический университет
														Email: a_pavluhin17@mail.ru
				                					                																			                								
инженер кафедры водоснабжения и водоотведения
Россия, 443100, г. Самара, ул. Молодогвардейская, 244Список литературы
- Стрелков А.К., Шувалов М.В., Павлухин А.А., Черносвитов М.Д. Реконструкция сетей дождевой канализации в исторической границе города Самары // Градостроительство и архитектура. 2023. Т. 13, № 1. C. 45–52. doi: 10.17673/Vestnik.2023.01.06.
- Стрелков А.К., Шувалов М.В., Павлухин А.А., Теплых С.Ю. Изучение качества воды поверхностных сточных вод крупного промышленного центра на примере г. Самары // Градостроительство и архитектура. 2023. Т. 13, № 2. C. 48–56. doi: 10.17673/Vestnik.2023.02.07.
- Стрелков А.К., Шувалов М.В., Палагин Е.Д., Павлухин А.А., Теплых С.Ю., Лапшакова И.В. Проведение лабораторного исследования по осаждению компонентов загрязняющих веществ поверхностных сточных вод с исторической части города Самара // Проблемы сбора, подготовки и транспорта нефти и нефтепродуктов. 2023. Вып. 4 (144). С. 9–22. doi: 10.17122/ntj-oil-2023-4-9-22.
- Артёмов. Самара как историческое поселение. Границы, предмет охраны, максимальная высотность и улица, с которой все начнется 19 июля 2019, 12:27 [Электронный ресурс] URL: https://drugoigorod.ru/historical_settlement-2/ (дата обращения: 29.09.2022).
- Проект охранной зоны исторического поселения в Самаре прошел экспертизу // Волга Ньюз [Электронный ресурс]. URL: https://volga.news/article/649451.html (дата обращения: 30.03.2023).
- Стрелков А.К. Степанов С.В., Кирсанов А.А. Интенсификация процессов биологической очистки на очистных канализационных сооружениях г. Самары // Водоснабжение и санитарная техника. 2006. № 9, ч. 2. С. 30– 37.
- Технический отчёт по теме «Разработка концепции по доведению очищенных сточных вод городских очистных канализационных сооружений г. о. Самара до норм норматива допустимого сброса». Самара, 2011. 144 с.
- Муниципальное предприятие городского округа Самара «Инженерные системы». Режим доступа: https://mp-is.ru/node/11 (дата обращения: 09.09.2023).
- Афанасьев В.Н., Юзбашев М.М. Анализ временных рядов и прогнозирование. М: Финансы и статистика, 2010. 318 с.
Дополнительные файлы
 
				
			 
						 
					 
						 
						 
						 
									




