Studying the quality of surface wastewater of a large industrial center on the example of the city of Samara
- Authors: Strelkov A.K.1, Shuvalov M.V.1, Pavluhin A.A.1, Teplyh S.Y.1
-
Affiliations:
- Samara State Technical University
- Issue: Vol 13, No 2 (2023)
- Pages: 48-56
- Section: WATER SUPPLY, SEWERAGE, CONSTRUCTION SYSTEMS FOR PROTECTION OF WATER RESOURCES
- URL: https://journals.rcsi.science/2542-0151/article/view/143197
- DOI: https://doi.org/10.17673/Vestnik.2023.02.07
- ID: 143197
Cite item
Full Text
Abstract
One of the factors of water pollution (in particular, the Volga and Samara rivers) is untreated surface wastewater. The article considers the reasons for the current negative situation, establishes the outlets of the historical part of the city that have a pernicious effect on the water body, some of which are located in the zones of sanitary protection of water treatment facilities. Information on the prevention of river pollution is presented, a classification of wastewater is developed according to the available long-term observation periods.
Full Text
Качество поверхностных сточных вод с территории города Самары не отвечает требованиям, предъявляемым при сбросе стоков в водоемы рыбохозяйственного назначения [1, 2]. Состав стоков определяется в основном шестью факторами, управление которыми позволяет минимизировать негативное воздействие сточных вод на окружающую среду [3].
Показатели БПКполн и взвешенные вещества изменяются случайным образом (55 и 48% соответственно), а изменения показателя нефтепродуктов – сезонное (70 %). Вклад тенденции для всех трех показателей невелик (11, 10 и 8 % соответственно) [3].
Согласно Постановлению Администрации городского округа Самара от 27 июля 2012 г. № 947, водные ресурсы Самарской области испытывают большую антропогенную нагрузку, это связано со сбросом неочищенных и недостаточно очищенных сточных вод – хозяйственно-бытовых (ХБСВ), производственных (ПСВ) и поверхностных (ПоСВ).
В Саратовское водохранилище и реку Самару поступают неочищенные поверхностные сточные воды города Самары, что приводит к их загрязнению. Саратовское водохранилище является основным источником водоснабжения для города (Постановление Администрации городского округа Самара от 25 июля 2012 года № 903). В Постановлении № 947 указано, что выпуски «Ульяновский», «Некрасовский», «Вилоновский» находятся во 2-й и 3-й зонах санитарной охраны поверхностного водозабора городских водопроводных сооружений Самары. Подробное описание, почему выпуски ливневой канализации оказались в зоне санитарной охраны, дано в статье [4].
Как отмечалось в Постановлении № 903, качество воды Саратовского водохранилища в 2010 г. (в границах г. Самары) оценивалось как «очень загрязненная», а качество воды реки Самары — как «грязная» [5, 6]. Уже в 2021 г. качество воды реки Самары и Саратовского водохранилища значительно изменилось (табл. 1).
Таблица 1. Уровень загрязненности воды Саратовского водохранилища и р. Самары по классам качества за период с 2011 по 2021 гг. [6, 7]
Водные объекты | Период наблюдения, год | |||||||||
2011 | 2012 | 2013 | 2014 | 2015 | 2017 | 2018 | 2019 | 2020 | 2021 | |
Саратовское вдхр. | ОЗ | З | З | ОЗ | ОЗ | З | Г | ОЗ | З | З |
Река Самара (в целом) | Г | Г | ОЗ | ОЗ | Г | Г | ОЗ | ОЗ | ОЗ | ОЗ |
Слабо загрязненная (СЗ), загрязненная (З), очень загрязненная (ОЗ), грязная (Г), очень грязная, экстремально грязная (ОГ, ЭГ) | ||||||||||
Если руководствоваться данными из Постановления № 903, то одним из факторов ухудшения качества воды в Саратовском водохранилище в границах города Самары, наряду с поступлением сверху по течению загрязненной по санитарно-химическим показателям воды (фенолами, железом, солями тяжелых металлов), является постоянный сброс ливневых вод через систему городской ливневой канализации в реки Волга и Самара с качеством стоков, не соответствующим санитарно-гигиеническим нормативам по микробиологическим показателям.
В целом ситуация по Саратовскому водохранилищу в границах города Самары характеризуется:
- ухудшением качества воды;
- угнетением процесса самоочищения водохранилища, внешним проявлением которого является «цветение» воды;
- ростом заиления и загрязнения донных отложений;
- насыщением водной массы органическими веществами с приоритетом трудно окисляемых компонентов;
- присутствием практически во всех пробах воды триады азота: аммонийного, нитритного и нитратного как показателей фекального загрязнения.
Территория исторического поселения города Самары была определена в 2019 г. — она ограничена улицами Засекина, набережной реки Самары, Арцыбушевской, Льва Толстого, Буянова, Чкалова, Самарской и набережной Волги. Тогда же было сформировано проектное предложение по градостроительным регламентам для этой зоны [7, 8].
Статус исторического поселения необходим для охраны памятников архитектуры. Если новые регламенты все же будут приняты, то они повлекут за собой запрет на строительство высотных зданий в центре города [8].
Отвод поверхностного стока с селитебной зоны, промышленных предприятий и учреждений, а также неочищенных сточных вод промышленных предприятий, дренажных и поливомоечных вод в реки Волгу и Самару осуществляется с исторического поселения в городе Самаре через выпуски «Ульяновский», «Вилоновский», «Некрасовский», «Ленинградский», «Комсомольский», «Пионерский», «Горячий ключ», «Крупский», «Хлебная площадь».
Основным объектом наблюдения являлась поверхностная сточная вода, образующаяся на водосборном бассейне канализования с расчетной площадью 1358,35 га в границах исторического поселения (Постановление № 947).
Описание местоположения границ приводится в Постановлении Правительства Самарской области от 27 декабря 2019 года № 1019. «О внесении изменения в постановление Правительства Самарской области от 12.04.2018 № 189 «Об утверждении Перечня исторических поселений регионального значения, имеющих особое значение для истории и культуры Самарской области» и об утверждении предмета охраны исторического поселения регионального значения города Самары Самарской области и границ территории исторического поселения регионального значения города Самары Самарской области».
В табл. 2 приведены среднегодовые концентрации поверхностных сточных вод (ПоСВ) выпуска «Ульяновский» за 2019–2022 гг. по физико-химическим показателям, а также предельно допустимые концентрации для рек Волги и Самары. В таблицу не вошли сведения по тяжелым металлам, таким как хром общий, медь, кадмий, никель, цинк, ртуть, свинец, алюминий, фенолы летучие, поскольку результаты физико-химических анализов по этим ингредиентам равны, близки к нулю или ниже порога обнаружения лабораторным оборудованием.
Таблица 2. Результат химического анализа выпуска «Ульяновский»
Показатель | Среднегодовые концентрации, мг/дм3 | Сред. конц. | ПДК1 | ПДК2 | |||
2019 | 2020 | 2021 | 2022 | ||||
БПК5 | 5,76 | 11,72 | 2,15 | 4,07 | 7,10 | 2,0 | 2,0 |
Взвешенные вещества | 14,78 | 15,68 | 13,58 | 13,89 | 15,71 | 4,5 | 7,5 |
Фосфаты (по Р) | 0,08 | 0,11 | 0,07 | 0,05 | 0,08 | 0,2 | 0,2 |
Нефтепродукты | 0,13 | 0,13 | 0,08 | 0,09 | 0,11 | 0,05 | 0,05 |
Выпуски «Вилоновский», «Некрасовский», «Ленинградский», «Пионерский» и «Комсомольский» проложены под набережной, т. е. очистные сооружения и аккумулирующие резервуары должны быть выполнены в подземном исполнении, поскольку для надземных очистных сооружений отсутствует площадка под строительство.
Кроме того, строительство наземных очистных сооружений на набережной негативно повлияло бы на эстетический облик города и негативно отразилось на архитектурном наследии. На рис. 1 изображена схема регулирования и очистки поверхностных сточных вод с последующей очисткой на городских очистных канализационных сооружениях.
В данном исследовании рассмотрены выпуски исторической части города Самары поскольку опыт произведенных работ, реализованный в рамках проекта реконструкции сетей дождевой канализации в границах исторического поселения Самары с очистными сооружениями поверхностных сточных вод, будет распространен в дальнейшем на остальные выпуски г. Самары.
Следует упомянуть о проекте очистных сооружений «Постников овраг» (в настоящее время не реализуется), идея которого заключалась в том, что будут спроектированы и построены ОСПСВ производительностью 67 700 м3/сут и аккумулирующий резервуар вместимостью 50 000 м3. В статье «В Самаре построят комплекс ливневого коллектора и станции очистки в районе Постникова оврага» (издание ВОЛГА НЬЮС от января 2022 г.) первый вице-губернатор — председатель правительства Самарской области сообщил, что в 2022 г. будет завершено проектирование и подготовка площадки для строительства, хотя инициатива о заказе проекта поступила ещё в 1995 г.
Классификация поверхностных сточных вод
Для классифицирования поверхностных сточных вод необходимо прежде всего произвести расчет и обработку изучаемых данных, в дальнейшем после классификации ПоСВ по типам вод это позволит оптимизировать работу очистных сооружений, поскольку в данном исследовании был изучен и проанализирован состав стоков.
Расчет производился в программе STATISTICA 10, предназначенной для анализа данных, визуализации, прогнозирования и проведения многих других видов статистического анализа. Программа статистического анализа STATISTICA используется в таких сферах, как производство, электроэнергетика, нефтехимическая промышленность, фармацевтика, полупроводники, пищевая, автомобильная, телекоммуникационная индустрия, страхование, оборудование и др. Были сведены в общий ряд наблюдений химические показатели за период с 2019 по 2022 гг. по каждому отдельному показателю.
В табл. 3 показаны результаты проведенного анализа. Представленные значения разделены на три категории – максимальная, средняя и минимальная, в каждой из категорий указан диапазон, среднее значение диапазона и количество значений из суммы по представленному показателю.
Таблица 3. Значения показателей по выпускам (максимального, среднего и минимального)
Показатель | N общее | Гр.макс. | n− | Nмакс | Гр.ср | n− | Nср | ГР.мин. | n− | Nмин |
БПК5 | 312 | 18,8-24,6 | 21,8 | 6 | 7,2-18,4 | 10,7 | 35 | 1,3-7,1 | 4,1 | 271 |
Взвешенные вещества | 339 | 107-108,6 | 107,8 | 3 | 28,1-79,2 | 42,5 | 23 | 1,0-27,9 | 11,4 | 313 |
Фосфаты (по Р) | 357 | 0,53-0,69 | 0,63 | 5 | 0,18-0,5 | 0,29 | 33 | 0,005-0,17 | 0,07 | 319 |
Нефтепродукты | 357 | 0,84 | 0,84 | 1 | 0,22-0,43 | 0,29 | 12 | 0,01-0,19 | 0,08 | 344 |
n− – среднее арифметическое; Гр.макс, Гр.ср., Гр.мин – группа максимального, среднего и минимального выпусков | ||||||||||
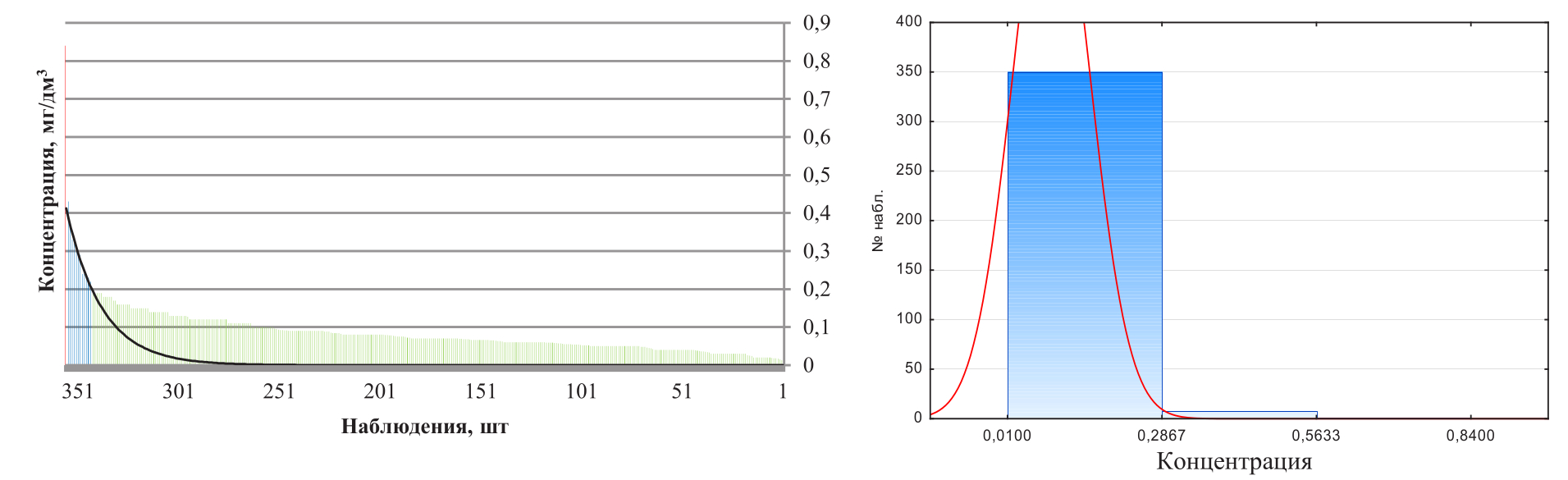
Исходя из табл. 3 были построены гистограммы (рис. 2 – 5), на которых показано нормальное распределение общего количества наблюдений (общего/суммарного количества химических анализов рассмотренного показателя) на три составные группы (максимальная, средняя, минимальная). По оси абсцисс отображены группы, а также их качественный диапазон, выраженный в мг/дм3, по оси ординат – количественный диапазон, выраженный в числах наблюдений.
Из табл. 3 и рис. 2 – 5 можно сделать вывод, какими данными можно и необходимо пренебречь, а на какие нужно ориентироваться при расчете и проектировании очистных сооружений ПоСВ, используя многолетний период наблюдений.
Объединив табл. 2 и 3 получаем табл. 4, из которой следует, что ни средние, ни даже максимальные значения показателей не окажут негативного воздействия ни на ЦСВ ПиГО (централизованные системы водоотведения поселений и городских округов), ни на ГОКС (городские очистные канализационные сооружения).
Таблица 4. Сравнение значений объединенных выпусков (максимальных, средних и минимальных)
Показатель | Ед. изм. | Макс. | Средние | Мин. | Общ. Ср. конц. | ПДК1 | ПДК2 |
БПК5 | мг/дм3 | 18,8-24,6 | 7,2-18,4 | 1,3-7,1 | 5,15 | 2,0 | 2,0 |
Взвешенные вещества | мг/дм3 | 107-108,6 | 28,1-79,2 | 1,0-27,9 | 14,35 | 4,5 | 7,5 |
Фосфаты (по Р) | мг/дм3 | 0,53-0,69 | 0,18-0,5 | 0,005-0,17 | 0,1 | 0,2 | 0,2 |
Нефтепродукты | мг/дм3 | 0,84 | 0,22-0,43 | 0,01-0,19 | 0,09 | 0,05 | 0,05 |
ПДК1 – предельно допустимая концентрация для реки Волги в границах г. Самары ПДК2 – предельно допустимая концентрация для реки Самары в границах г. Самары | |||||||
Сравнение объединенных средних концентраций с нормативными значениями для сброса представлено в табл. 5.
Таблица 5. Сравнение средних концентраций с нормативными значениями
Показатель | Средние концентрации, мг/дм3 | ПДК Волги | |||||||||
Ульяновский | Вилоновский | Комсомольский | Горячий ключ | Некрасовский | Ленинградский | Пионерский | Крупский | Хлебнаяп лощадь | Общая средняя | ||
БПК5 | 7,1 | 3,3 | 7,4 | 7,5 | 4,4 | 5,5 | 4,0 | 3,4 | 5,3 | 5,3 | 2,0 |
Взвешенные вещества | 15,7 | 14,9 | 31,6 | 14,7 | 11,6 | 14,5 | 13,2 | 9,9 | 11,0 | 15,2 | 4,5 |
Фосфаты (по Р) | 0,1 | 0,0 | 0,1 | 0,1 | 0,1 | 0,1 | 0,1 | 0,1 | 0,2 | 0,1 | 0,2 |
Нефтепродукты | 0,1 | 0,1 | 0,1 | 0,1 | 0,1 | 0,1 | 0,1 | 0,1 | 0,1 | 0,1 | 0,05 |
Возможность приема различных категорий поверхностных сточных вод в канализационные сети и открытые источники питьевого водоснабжения определяется исходя из состава загрязнений этих вод, их количества и в какое времени суток они выпали. Исходя из условий проекта общая последовательность регулирования, очистки и сброса поверхностных сточных вод, будет выглядеть следующим образом (рис. 6).
На рис. 7 показана блок-схема принятия решений исходя из того, какие категории ПоСВ допущены к сбросу.
На основании вышеприведенных таблиц и рисунков составлена табл. 6, в которой представлена информация о категории сточных вод и условиях их сброса в водоем, канализационную сеть, а также для какой категории необходимо строительство РР или ЛОС.
Таблица 6. Условия сброса ПоСВ [9]
Категория сточных вод | Строительство РР | Строительство ЛОС | Сброс в ХБСВ | Сброс в водоем | |
Допущена к сбросу (в ЦСВ или водоем) | Чистый снег, сплавляемый по коллекторам (в соответствии с требованиями специальных инструкций) | +* | – | +* | + |
От поливки и мытья улиц | +* | – | +* | – | |
Допущена к очистке на ГОКС (ЦСВ) | Талые воды из стационарных и передвижных снеготаялок | + | – | + | – |
Дождевые и талые, после предварительной очистки на местных очистных сооружениях | + | – | + | – | |
От дренажных и осушительных сетей | + | – | + | – | |
Не допущена к очистке на ГОКС (ЦСВ) | Дождевые и талые, с территорий, сильно загрязненных продуктами производства | + | + | +* | – |
+ – строительство РР требуется в том случае, если необходим сброс в ЦСВ +* – только при наличии ЛОС, которые произведут очистку до норм сброса в ЦСВ | |||||
Руководствуясь табл. 6 и отталкиваясь от разработанных укрупненных категорий, имея данные качества стока (расчетные или фактические за многолетний период наблюдений) и соотнеся его с категорией ПоСВ (классификацией), можно упростить принятие решений о комплексе инженерных сооружений для их проектирования и расчета.
Так, например, сток категории «чистый снег, сплавляемый по коллекторам» (в соответствии с требованиями специальных инструкций) можно без очистки сбрасывать в водоем, поскольку негативное воздействие от такого стока минимально или даже незначительно и потому не требует строительства ОСПСВ, однако если необходимо исключить попадание и такого стока в водоем, то можно ограничиться постройкой регулирующего(их) резервуара(ов), из которого будет осуществляться перекачка рассматриваемого стока в хозяйственно-бытовую или иную, помимо дождевой, канализационную сеть с последующей очисткой. Рассматриваемый сток можно отнести к первому типу стока по СП 32.13330.2018 (данный вид стока должен очищаться не менее 70 % от среднегодового объема), что позволяет сбрасывать 30 % среднегодового объема без очистки.
Сток категории ПоСВ «Дождевые и талые, после предварительной очистки на местных очистных сооружениях» сбрасывается после ЛОС в ХБСВ от абонентов, например промышленных предприятий, и смешиваясь с той частью стока, которая уже транспортируется без дополнительной очистки, сбрасывается в водоем, и этот вид стока уже негативно влияет на водный объект, поскольку ПДКрыбхоз. намного жестче нормативов приема от абонентов в ЦЛСВ (центральная ливневая система водоотведения) и уже требует как минимум строительства РР для последующего перекачивания и очистки данного вида стока на ГОКС (городские очистные канализационные сооружения).
«Дождевые и талые с территорий, сильно загрязненных продуктами производства» – данная категория вод и схожая с ними по качеству существенно влияет на водный объект и должна очищаться в полном среднегодовом объеме, второй тип по – СП 32.13330.2018; если их сравнивать этот вид стока нужно не только принять в РР для усреднения качества, но и обязательно очистить на ЛОС до норм сброса в ЦСВ ПиГо, поскольку они менее требовательны, чем ПДКрыбхоз., что в результате приводит к уменьшению стоимости проектирования и строительства инженерных сооружений по очистке и регулированию ПоСВ.
Выводы.
- В исследовании выявлен уровень загрязненности водохранилищ и изменение его по классам загрязненности с 2011 по 2021 гг. На основе постановлений правительства г. Самары и ФГБУ «Приволжское УГМС» выявлено, что ПоСВ негативно влияют на водные объекты и прибрежную акваторию. Это подтверждается результатами приведённых среднегодовых, а также максимальных, средних и минимальных концентраций ПоСВ выпусков по физико-химическим показателям.
- При изучении качества воды поверхностных сточных вод крупного промышленного центра на примере г. Самары был определен перечень показателей, которые оказывают негативное воздействие на водные объекты и по которым определены максимальные средние и минимальные диапазоны значений по следующим показателям: БПК5, взвешенным веществам, фосфатам, нефтепродуктам. Разработана и принята классификация ПоСВ на основе рассмотренных в исследовании данных.
About the authors
Alexander K. Strelkov
Samara State Technical University
Email: a19400209@yandex.ru
Doctor of Engineering Science, Head of the Water Supply and Wastewater Chair
Russian Federation, Samara; SamaraMikhail V. Shuvalov
Samara State Technical University
Email: mshuv57@gmail.com
Doctor of Engineering Science, Head of the Water Supply and Wastewater Chair
Russian Federation, Samara; SamaraAlexey A. Pavluhin
Samara State Technical University
Email: a_pavluhin17@mail.ru
Postgraduate Student of the Water Supply and Wastewater Chair
Russian Federation, Samara; SamaraSvetlana Yu. Teplyh
Samara State Technical University
Author for correspondence.
Email: kafvv@mail.ru
PhD in Engineering Science, Associate Professor the Water Supply and Wastewater Chair
Russian Federation, Samara; SamaraReferences
- Palagin E.D, Gridneva M.A., Bykova P.G. Nabok T.Y. Patterns of changes in the composition of surface wastewater. Vodosnabzheniye i sanitarnaya tekhnika [Water supply and sanitary equipment], 2013, no. 8. pp. 56–60. (in Russian)
- Strelkov A.K., Shuvalov M.V., Pavlukhin A.A., Chernosvitov M.D. Reconstruction of rain sewage networks in the historical border of the city of Samara. Gradostroitel’stvo i arhitektura [Urban Planning and Architecture], 2023, vol. 13, no. 1, pp. 45–52. (in Russian) doi: 10.17673/Vestnik.2023.01.6
- Palagin E.D., Gridneva M.A., Bykova P.G., Nabok T.Yu. Regularities of changes in the composition of surface wastewater. Vodosnabzheniye i sanitarnaya tekhnika [Water supply and sanitary equipment], 2013, no. 8, pp. 56–60. (in Russian)
- Shuvalov M.V., Strelkov A.K. Design Solutions for the Construction of the Main Collector of Storm Sewer and Centralized Treatment Facilities for the Surface Runoff of the Volga Slope in Samara. Gradostroitel’stvo i arhitektura [Urban Planning and Architecture], 2017, vol. 7, no. 4, pp. 60–66. (in Russian) doi: 10.17673/Vestnik.2017.04.10
- Abdrakhimov VZ, Lazareva N.V. The use of sludge metallurgical waste in the production of porous aggregate reduces the pollution of the Samara River and optimizes cadastral and land management. Jekspert: teorija i praktika [Expert: Theory and Practice], 2020, no. 5(8), pp. 15–23. (in Russian) doi: 10.24411/2686-7818-2020-10042
- Federal State Budgetary Institution “Volga Department for Hydrometeorology and Environmental Monitoring” (FSBI “Volga UGMS”). Environmental Bulletin for the Samara Region. Available at: http://pogoda-sv.ru/pollcenter/annual_review/ (accessed 30 March 2023).
- Ministry of Forestry, Environmental Protection and Nature Management of the Samara Region. Reports on the environmental situation in the Samara region. Available at: https://priroda.samregion.ru/category/ohrana_okr_sredbi/doklad_ob_eko_situatsii/ (accessed 30 March 2023).
- The project of the protected zone of the historical settlement in Samara passed the examination. “ Volga News. Available at: https://volga.news/article/649451.html (accessed 30 March 2023).
- Yakovlev S.V., Karelin Y.A., Zhukov A.I., Kolobanov S.K. Kanalizacija [Sewerage]. Moscow, Stroyizdat, 1975. 632 p.
Supplementary files









